Vaya al Contenido

Copolímeros acrílicos - Polímeros termoplásticos, elastómeros y aditivos

mexpolimeros
Saltar menú
info@mexpolimeros.com - tel. 477 7350309
info@mexpolimeros.com  +52(562)3758904
+52(477)7350309 +52(562)3758904
Saltar menú

Copolímeros acrílicos

Cauchos > Grupo M > Copolímeros acrílicos
Copolímeros de etileno-acrilato

Los copolímeros acrílicos (AC) son copolímeros termoplásticos transparentes de etileno y acrilato con una excepcional flexibilidad a baja temperatura y resistencia al impacto. La familia incluye ;  copolímeros de etileno-ácido acrílico (EAA), etileno-etil acrilato (EEA) y etileno-butil acrilato (EBA), etileno-acrilato de metilo (EMA), etileno-n-butil acrilato (EBA). Los dos copolímeros más importantes son etileno-etil acrilato (EEA) y etileno-butil acrilato (EBA). Se producen mediante una polimerización por radicales libres a alta presión. Dado que la reactividad del acrilato es mucho más alta que la del etileno, se incorporan más monómeros de acrilato al comienzo de la polimerización que hacia el final. La arquitectura molecular heterogénea resultante proporciona una buena adhesión a sustratos polares y no polares. También proporciona una buena compatibilidad con una amplia variedad de polímeros. Los AC se mezclan frecuentemente con otros termoplásticos como PP, PE, PA, PET y PVC para mejorar su procesabilidad y / o mejorar su rendimiento. Por ejemplo, los dominios de acrilato de etileno dispersos aumentan la resistencia al impacto del polímero base al absorber la energía del impacto. También se sabe que los AC mejoran la dispersión de pigmentos y cargas minerales. Las aplicaciones típicas de AC incluyen adhesivos de fusión en caliente, plásticos coextruidos y productos de espuma, así como capas y películas sellables por extrusión en envases flexibles.

Copolímeros de etileno-ácido acrílico (EAA)

Los copolímeros EAA, identificados por primera vez en la década de 1950, experimentaron un renovado interés cuando, en 1974, se caracterizaron por una excelente adhesión a sustratos metálicos y no metálicos. La presencia de las funcionalidades carboxilo e hidroxilo promueve la unión de hidrógeno, y estas fuertes interacciones intermoleculares se aprovechan para unir el papel de aluminio al polietileno en tubos de pasta de dientes con laminado por extrusión multicapa y como recubrimientos resistentes para bolsas de papel de aluminio. Los copolímeros de etileno y ácido acrílico son copolímeros que se polimerizan a partir de etileno y ácido acrílico. Además de ser fáciles de procesar, los copolímeros de etileno y ácido acrílico tienen la ventaja de excelentes propiedades de adhesión y sellado, así como un alto grado de dureza y flexibilidad.

Copolímeros de etileno-acrilato de etilo (EEA)

Los copolímeros de EEA típicamente contienen de 15 a 30 por ciento en peso de acrilato de etilo (EA) y son polímeros flexibles de peso molecular relativamente alto adecuados para extrusión, moldeo por inyección y moldeo por soplado. Los productos fabricados con EEA tienen una alta resistencia al agrietamiento por estrés ambiental, excelente resistencia a la fatiga por flexión y propiedades de baja temperatura de hasta -65°C. Las aplicaciones incluyen piezas moldeadas de goma, película flexible para guantes desechables y láminas de hospital, mangueras extruidas, juntas y parachoques. Las aplicaciones típicas incluyen modificaciones de polímeros donde el EEA se mezcla con polímeros de olefina (ya que es compatible con VLDPE, LLDPE, LDPE, HDPE y PP238) para producir una mezcla con un módulo específico, aún con las ventajas inherentes a la polaridad del EEE. La presencia de EA promueve tenacidad, flexibilidad y mayores propiedades adhesivas. La mezcla EEA puede mejorar de manera rentable la resistencia al impacto de poliamidas y poliésteres. La similitud del monómero de acrilato de etilo con el acetato de vinilo predica que estos copolímeros tienen propiedades muy similares, aunque se considera que el EEA tiene mayor resistencia a la abrasión y al calor, mientras que el EVA tiende a ser más resistente y de mayor claridad. Copolímeros EEA están aprobados por la FDA hasta un 8 por ciento de contenido de EA en aplicaciones en contacto con alimentos.

Copolímeros de etileno-acrilato de metilo (EMA)

l metacrilato de etilo (EMA) es un compuesto químico del grupo de los ésteres de ácido carboxílico y el éster etílico del ácido metacrílico. EMA es un líquido incoloro, altamente inflamable y volátil con un olor característico. Los copolímeros EMA son a menudo soplado en película con propiedades mecánicas muy gomosas y excelente resistencia al impacto de caída de dardos. Las propiedades similares al caucho de látex de la película EMA se prestan a su uso en guantes desechables y dispositivos médicos sin los riesgos asociados para las personas con alergias al látex. Debido a sus propiedades adhesivas, los copolímeros EMA, como sus equivalentes EAA y EEA, se utilizan en aplicaciones de recubrimiento por extrusión, coextrusiones y laminación como capas de sellado térmico. EMA es uno de los más térmicamente estables de este grupo y, como tal, se usa comúnmente para formar sellos de calor y RF, así como en aplicaciones multicapa de capas de unión. Este copolímero también se usa ampliamente como un compuesto de mezcla con homopolímeros de olefina. (VLDPE, LLDPE, LDPE y PP), así como con poliamidas, poliésteres y policarbonato para mejorar la resistencia al impacto y la tenacidad y aumentar la respuesta de sellado térmico o para promover la adhesión. EMA también se utiliza en artículos moldeados por soplado blandos como exprimir juguetes, tubos, guantes médicos desechables y sábanas de espuma. Los copolímeros EMA y los copolímeros EEA que contienen hasta 8 por ciento de acrilato de etilo están aprobados por la FDA para alimentos embalaje.

Copolímeros de etileno-n-butil acrilato (EBA)

Los copolímeros de EBA también se mezclan ampliamente con homopolímeros de olefinas para mejorar la resistencia al impacto, la tenacidad y la capacidad de sellado por calor, y para promover la adhesión. El proceso de polimerización y la repetición resultante unidad de EBA. El etileno butil acrilato (EBA) es un copolímero que consiste en etileno y butil acrilato preparado por polimerización por radicales a alta presión. Debido al contenido de acrilato de butilo, puede usarse para aplicaciones donde se requiere suavidad, flexibilidad y polaridad. Las aplicaciones típicas incluyen revestimiento por extrusión, coextrusión, compuestos, espumas y adhesivos termofusibles, recubrimientos, pinturas, textiles, acabados de cuero, productos automotrices,  elastómeros resistentes al aceite y a altas temperaturas.

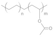
Copolímeros de etileno acetato de vinilo (EVA)

Ethylene-vinyl acetate o etileno acetato de vinilo es un polímero elastomérico que produce materiales similares al caucho que destacan por su suavidad y flexibilidad. El material tiene una tenacidad a baja temperatura, propiedades impermeables, resistencia a la radiación UV y resistencia a la rotura por tensión adecuada para aplicaciones eléctricas. Copolímeros obtenidos de la polimerización de etileno y acetato de vinilo. Las diferentes proporciones de los dos comonómeros afectan a todos los rendimientos finales del material plástico que, en cualquier caso, son bastante similares a los del LDPE. Junto con el MFR, el contenido de acetato de vinilo VA es una de las características más importantes en los copolímeros de EVA, ya que está relacionada con la fracción de material cristalino presente en el producto. En particular, a medida que aumenta el contenido de comonómero, la cristalinidad disminuye, lo que afecta a numerosas propiedades de los copolímeros de EVA. Un aumento en el contenido de vinyl acetate VA aumenta la densidad, transparencia y flexibilidad del material, al tiempo que reduce su punto de fusión y dureza.

 

 

Todas las marcas registradas ( ® - © - ™ ) son propiedad de sus respectivos propietarios y se utilizan únicamente con fines de información, de conformidad con las disposiciones vigentes sobre derechos de autor. Las letras son propiedad de sus respectivos autores y les damos las gracias por la oportunidad que nos brindan para conocer sus textos libres para fines ilustrativos y educativos. Si usted es el autor del texto que interesa y solicitar que se elimine el texto o la inclusión de otra información enviar un e-mail info@mexpolimeros.com después de controles apropiados vamos a satisfacer su solicitud tan pronto como sea posible. Los datos e ilustraciones en esta publicación no son vinculantes y pueden ser cambiados como resultado de cambios y / o mejoras que se consideren necesarias por el fabricante. Los resultados anteriormente mencionados cuidadosamente con el objetivo se llevaron a cabo para dar instrucciones al usuario final con respecto al uso de los productos en diversas etapas de su uso. Como hay diferentes condiciones de uso, el almacenamiento y la firma de la preservación mexpolimeros no se hace responsable de los daños causados al cliente y /o tercero

Elastomeri,Termoplastici,TPO,TPV,SEBS,SBS,TPU,TPEE,TPE-A,PVC,TEEE,TPC-ET,TPE-O,TPE-S,TPS,TPE-V,TPE U,TPA,SO,ASTM,EN,IEC,UL,SAE,FDA,EEC,VDO, KTW,WRAS,NSF,61,2002/72,UV,abrasione, anti,statico,batterico,funghicida,USP,classe,VI,hard,soft,,t4,segment,abrasion,abrasione,martindale, abrasimetro,copoliestere,copes,alloy,blend,compatibilizzanti,gomme,rubber,gomma,sintetica,COPOLIAMMIDE, compound,compoundare, materie,materia,shore,durezza,densità,compression set,resistenza,invecchiamento,ageing,analisi, mfr,mfi,allungamento,modulo,flessione, trazione, umidità,essicatura,deumidificazione,ABR Elastómero de éster acrilicobutadieno CIIR Elastómero de isobutileno-isopreno clorado ABS,Acrilonitrilo,butadieno,estireno,CM,Cauchos,de,polietileno,clorado ACM,Elastómero,de,éster,acrílico,2,cloroetilvini,éter,CMG,Carboxi,Metilcelulosa ACS,Acrilonitrilo,polietilenoclorado,estireno,CN,Nitrocelulosa AES,Acrílonítnlo,etilpropileno,estireno,CO,Elastómero,de,epiclorhidrina Al,Polímeros,de,amida,imida,CP,Propionato,de,celulosa AMMA,Acrilonitrilo,metacrilato,de,metilo,CPE,Polietileno,clorado ANM,Copolímero,de,éster,acrílico,acrilonitrilo,CPVC,Policloruro,de,vinilo,clorado ARP,Plástico,reforzado,con,fibra,de,amianto,CR,Elastómero,de,cloropreno ASA,Acrilonitrilo,estireno,éster,acrílico,CS,Caseína AU,Elastómero,de,poliuretano,de,poliéster,CSM,Polietileno,dorosulfonado BIIR,Elastómero,de,isobutileno,isopropeno,bromado,CSR,Polietileno,dorosulfonado BK,Baquelita,CTFE,Políclorotrifluoro,etileno BR,Elastómero,de,butadieno,ECO,Copolímero,de,epjclorhidrina BRP,Plástico,reforzado,con,fibra,de,boro,EEA,Etileno,acrilato,de,etilo CA,Acetato,de,celulosa,EP,Etileno,propileno CAB,Acetobutirato,de,celulosa,EP,Epoxi CAP,Acetopropionato,de,celulosa,EPD,Terpolímero,de,etileno,propileno,dieno CAR,Fibra,de,carbono,EPDM,Terpolímero,de,etileno,propileno,dieno CEL,Celuloide,EPE,Ester,epoxídico CF,Cresol,formaldehído,EPFV,Epoxi,reforzado,con,fibra,de,vidrio CFM,Poli,(cloruro,de,trifluoretileno),EPM,Copolímero,de,etileno,propileno CFRP,Plástico,reforzado,con,fibra,de,carbono,EPR,Copolímero,de,etileno,propileno CHR,Elastómero,de,epiclorhidrina,EPS,Poliestireno,expandible Acrónimos,del,Plástico EPT,Terpolimero,de,etileno,propileno,dieno,MC,Metilcelulosa ET,Etileno,polisulfuro,MDPE,Polietileno,de,media,densidad ETFE,Etileno,tetrafluoroetileno,MF,Melamina,formaldehído EU,Caucho,de,poliuretano,de,poliéteres,MFRP,Plástico,reforzado,con,fibra,metálica EVA,Etileno,acetato,de,vinilo,MPF,Metamina,fenol,formaldehído EVAL,Etileno,alcohol,vinílico,MWRP,Plástico,reforzado,con,fibra,whiskers EVRFV,Ester,vinílico,reforzado,con,fibra,de,vidrio,NBR,Elastómero,de,acrilonitrilo,butadieno FEP,Tetrafluoroetileno,hexafluoropropileno,NCR,Elastómero,de,acrilonitrilo,cloropreno FPM,Copolímero,de,fluoruro,de,vinilideno,y,hexafluoruro,de,propileno,NIR,Elastómero,de,acrilonitrilo,isopreno FSi,Elastómero,metil,silicona,con,grupos,fluorados,NR,Caucho,Natural,(elastómero,de,isopreno) GPPS,Poliestireno,cristal,OPP,Polipropileno,orientado GR,I,Elastómero,de,isobutileno,isopreno,OPVC,Policloruro,de,vinilo,orientado GR,N,Elastómero,de,acrilonitrilo,butadieno,OSA,Estireno,acrilonitrilo,modificado,con,olefina GRP,Plástico,reforzado,con,fibra,de,vidrio,PA,Poliamida GR,S,Elastómero,de,estireno,butadieno,PA11,Polímero,del,ácido,amino,11,undecanóico HDPE,Polietileno,de,alta,densidad,PA12,Polímero,de,dodecanolactama,1,12 HIPS,Poliestireno,alto,impacto,PA6,Polímero,de,ε,caprolactama IIR,Elastómero,de,isobutileno,isopreno,PA6/12,Copolímero,de,PA,6,y,PA,1,2 IM,Poliisobutileno,PA610,Polímero,de,hexametilendiamina,y,del,ácido,sebácico IR,Elastómero,de,isopreno,(sintético),PA612,Polímero,de,hexametilendiamina,y,del,ácido,dodecanóico LCP,Polímeros,de,cristal,liquido,PA6,3,T,Polímero,de,trimetil,hexametilendiamina,y,ácido,tereftálico LOPE,Polietileno,de,baja,densidad,PA66,Polímero,de,hexametilendiamina,y,del,ácido,adípico LLDPE,Polietileno,lineal,de,baja,densidad,PA66/610,Copolímero,de,hexametilendiamina,con,ácidos,adípico,y,sebácico MBS,Metacrilato,de,metilo,butadieno,estireno,PAA,Poli,(ácido,acrílico) Acrónimos,del,Plástico PAI,Poliamida,imida,PETG,Politereftalato,de,etileno,modificado,con PAN,Poliacrilonitrilo,PF,Fenol,formaldehído PAPI,Polifenil,isocianato,de,polimetileno,PFEP,Polifluoroetilenpropileno PARFV,Poliamida,reforzada,con,fibra,de,vidrio,PI,Poliimida PB,1,Polibuteno,1,PIB,Poli,isobutileno PB,Polibutadieno,PIR,Poli,isocianurato PBAN,Elastómero,de,acrilonitrilo,butadieno,PMI,Polimetacrilamida PBI,Polibecimidazol,PMMA,Poli,(metacrilato,de,metilo) PBR,Elastómero,de,butadieno,piridina,PMP,Poli,(metil,4,penteno,1) PBT,Politereftalato,de,butileno,PO,Elastómero,de,poli,(óxido,de,propileno) PC,Policarbonato,POM,Polioximetileno,poliformaldehído,poliacetal PCTFE,Policlorotrifluoroetileno,PP,Polipropileno PDAP,Poli,(ftalato,de,dialilo),PPC,Polipropileno,clorado PE,Polietileno,PPO,Poli,óxido,de,fenileno PEAD,Polietileno,de,alta,densidad,PPOX,Poli,(óxido,de,polipropileno) PEBD,Polietileno,de,baja,densidad,PPRFV,Polipropileno,reforzado,con,fibra,de,vidrio PEC,Polietileno,clorado,PPS,Polísulfuro,de,fenileno PEEK,Polieteretercetona,PPSO,Polifenisulfona PEI,Polieterimida,PPSU,Poli,(fenilén,sulfona) PEO,Poli,(óxido,de,etileno},PRFV,Plástico,reforzado,con,fibra,de,vidrio PEOX,Poli,(óxido,de,etileno),PS,Poliestireno PEP,Polímero,de,etileno,propileno,PSGP,Poliestireno,cristal PES,Poli,(éter,sulfona),PSHI,Poliestireno,alto,impacto PET,Politereftalato,de,etileno,PSBR,Elastómero,de,piridina,estireno,butadieno Acrónimos,del,Plástico PSE,Poliestireno,expandible,Sl,Siliconas PSi,Elastómero,de,metil,silicona,Si,Elastómero,de,metil,silicona PSU,Polisulfona,SIR,Elastómero,de,estireno,isopreno PIFE,Politetrafluoroetileno,SMA,Estireno,anhídrido,maleico PU,Poliuretano,SMS,Estireno,metil,estireno PUR,Poliuretano,SP,Poliéster,saturado PVAC,Poliacetato,de,vinilo,TFE,Politrifluoromocloroefileno PVAL,Poli,(alcohol,vinílico),TPE,Elastómero,termoplástico PVB,Poli,(butirato,de,vinilo),TPU,Poliuretano,termoplástico PVC,Poli,(cloruro,de,vinilo),TPX,Poli,4,metilpenteno PVCC,Poli,(cloruro,de,vinilo),dorado,UF,Urea,formaldehído PVDC,Poli,(cloruro,de,vinilideno),UHMWPE,Polietileno,de,ultra,alto,peso,molecular PVDF,Poli,(fluoruro,de,vinilideno),UP,Poliéster,insaturado,(plástico,de,uretano) PVF,Fluoruro,de,vinilideno,VCE,Cloruro,de,vinilo,etileno PVFM,Poli,(vinil,formaldehído),VCEMA,Cloruro,de,vinilo,etileno,acrilato,de,metilo PVK,Polivinilcarbazo,vinílico,VCEVA,Cloruro,de,vinilo,etileno,acetato,de,vinilo PVP,Polivinil,de,pirrolidona,VCMA,Cloruro,de,vinilo,acrilato,de,metilo RF,Resorcina,formaldehído,VCMMA,Cloruro,de,vinilo,metacrilato,de,metilo SAN,Estireno,acrilonitrilo,VCOA,Cloruro,de,vinilo,acrilato,de,octilo SB,Estireno,butadieno,VCVAC,Cloruro,de,vinilo,acetato,de,vinilo SBR,Elastómero,de,estireno,butadieno,VCVDC,Cloruro,de,vinilo,cloruro,de,vinilideno SBS,Estireno,butadieno,estireno,VPE,Polietileno,reticulado SCR,Elastómero,de,estireno,cloropreno,VPSi Elastómero,de,metil,silicona,con,grupos,fenílicos,y,vinílicos SFRP,Plástico,reforzado,con,fibra,sintética,VSi,Elastómero,de,metil,silicona,con,grupos,vinílicos ,PP,PA6,PA66,PBT,PPS,PC,PC/ABS,fibra,vetro,talco,carbonato,bario,sfere,cavi,guaine,tubi,hose,belts,automotive,edilizia,elettrodomestico,tools,6722,112,r7,r8,r18,E,TEEE,TPC,ET,TPC,ET,TPC,ET,poliammidi,PPA,ABR Elastómero,de,éster,acrilicobutadieno ABS Acrilonitrilo,butadieno,estireno ACM Elastómero,de,éster,acrílico,2,cloroetilvini,éter ACS Acrilonitrilo,polietilenoclorado,estireno AES Acrílonítnlo,etilpropileno,estireno Al Polímeros,de,amida,imida AMMA Acrilonitrilo,metacrilato,de,metilo ANM Copolímero,de,éster,acrílico,acrilonitrilo ARP Plástico,reforzado,con,fibra,de,amianto ASA Acrilonitrilo,estireno,éster,acrílico AU Elastómero,de,poliuretano,de,poliéster BIIR Elastómero,de,isobutileno,isopropeno,bromado BK Baquelita BR Elastómero,de,butadieno BRP Plástico,reforzado,con,fibra,de,boro CA Acetato,de,celulosa CAB Acetobutirato,de,celulosa CAP Acetopropionato,de,celulosa CAR Fibra,de,carbono CEL Celuloide CF Cresol,formaldehído CFM Poli,(cloruro,de,trifluoretileno) CFRP Plástico,reforzado,con,fibra,de,carbono CHR Elastómero,de,epiclorhidrina CIIR Elastómero,de,isobutileno,isopreno,clorado CM Cauchos,de,polietileno,clorado CMG Carboxi,Metilcelulosa CN Nitrocelulosa CO Elastómero,de,epiclorhidrina CP Propionato,de,celulosa CPE Polietileno,clorado CPVC Policloruro,de,vinilo,clorado CR Elastómero,de,cloropreno CS Caseína CSM Polietileno,dorosulfonado CSR Polietileno,dorosulfonado CTFE Políclorotrifluoro,etileno ECO Copolímero,de,epjclorhidrina EEA Etileno,acrilato,de,etilo EP Etileno,propileno EP Epoxi EPD Terpolímero,de,etileno,propileno,dieno EPDM Terpolímero,de,etileno,propileno,dieno EPE Ester,epoxídico EPFV Epoxi,reforzado,con,fibra,de,vidrio EPM Copolímero,de,etileno,propileno EPR Copolímero,de,etileno,propileno EPS Poliestireno,expandible EPT Terpolimero,de,etileno,propileno,dieno ET Etileno,polisulfuro ETFE Etileno,tetrafluoroetileno EU Caucho,de,poliuretano,de,poliéteres EVA Etileno,acetato,de,vinilo EVAL Etileno,alcohol,vinílico EVRFV Ester,vinílico,reforzado,con,fibra,de,vidrio FEP Tetrafluoroetileno,hexafluoropropileno FPM Copolímero,de,fluoruro,de,vinilideno,y,hexafluoruro,de,propileno FSi Elastómero,metil,silicona,con,grupos,fluorados GPPS Poliestireno,cristal GR,I Elastómero,de,isobutileno,isopreno GR,N Elastómero,de,acrilonitrilo,butadieno GRP Plástico,reforzado,con,fibra,de,vidrio GR,S Elastómero,de,estireno,butadieno HDPE Polietileno,de,alta,densidad HIPS Poliestireno,alto,impacto IIR Elastómero,de,isobutileno,isopreno IM Poliisobutileno IR Elastómero,de,isopreno,(sintético) LCP Polímeros,de,cristal,liquido LOPE Polietileno,de,baja,densidad LLDPE Polietileno,lineal,de,baja,densidad MBS Metacrilato,de,metilo,butadieno,estireno MC Metilcelulosa MDPE Polietileno,de,media,densidad MF Melamina,formaldehído MFRP Plástico,reforzado,con,fibra,metálica MPF Metamina,fenol,formaldehído MWRP Plástico,reforzado,con,fibra,whiskers NBR Elastómero,de,acrilonitrilo,butadieno NCR Elastómero,de,acrilonitrilo,cloropreno NIR Elastómero,de,acrilonitrilo,isopreno NR Caucho,Natural,(elastómero,de,isopreno) OPP Polipropileno,orientado OPVC Policloruro,de,vinilo,orientado OSA Estireno,acrilonitrilo,modificado,con,olefina PA Poliamida PA11 Polímero,del,ácido,amino,11,undecanóico PA12 Polímero,de,dodecanolactama,1,12 PA6 Polímero,de,ε,caprolactama PA6/12 Copolímero,de,PA,6,y,PA,1,2 PA610 Polímero,de,hexametilendiamina,y,del,ácido,sebácico PA612 Polímero,de,hexametilendiamina,y,del,ácido,dodecanóico PA,6,3,T Polímero,de,trimetil,hexametilendiamina,y,ácido,tereftálico PA,66 Polímero,de,hexametilendiamina,y,del,ácido,adípico PA,66/610 Copolímero,de,hexametilendiamina,con,ácidos,adípico,y,sebácico PAA Poli,(ácido,acrílico) PAI Poliamida,imida PAN Poliacrilonitrilo PAPI Polifenil,isocianato,de,polimetileno PARFV Poliamida,reforzada,con,fibra,de,vidrio PB,1 Polibuteno,1 PB Polibutadieno PBAN Elastómero,de,acrilonitrilo,butadieno PBI Polibecimidazol PBR Elastómero,de,butadieno,piridina PBT Politereftalato,de,butileno PC Policarbonato PCTFE Policlorotrifluoroetileno PDAP Poli,(ftalato,de,dialilo) PE Polietileno PEAD Polietileno,de,alta,densidad PEBD Polietileno,de,baja,densidad PEC Polietileno,clorado PEEK Polieteretercetona PEI Polieterimida PEO Poli,(óxido,de,etileno} PEOX Poli,(óxido,de,etileno) PEP Polímero,de,etileno,propileno PES Poli,(éter,sulfona) PET Politereftalato,de,etileno PETG Politereftalato,de,etileno,modificado,con,glicol PF Fenol,formaldehído PFEP Polifluoroetilenpropileno Pl Poliimida PIB Poli,isobutileno PIR Poli,isocianurato PMI Polimetacrilamida PMMA Poli,(metacrilato,de,metilo) PMP Poli,(metil,4,penteno,1) PO Elastómero,de,poli,(óxido,de,propileno) POM Polioximetileno,poliformaldehído,poliacetal PP Polipropileno PPC Polipropileno,clorado PPO Poli,óxido,de,fenileno PPOX Poli,(óxido,de,polipropileno) PPRFV Polipropileno,reforzado,con,fibra,de,vidrio PPS Polísulfuro,de,fenileno PPSO Polifenisulfona PPSU Poli,(fenilén,sulfona) PRFV Plástico,reforzado,con,fibra,de,vidrio PS Poliestireno PSGP Poliestireno,cristal PSHI Poliestireno,alto,impacto PSBR Elastómero,de,piridina,estireno,butadieno PSE Poliestireno,expandible PSi Elastómero,de,metil,silicona PSU Polisulfona PIFE Politetrafluoroetileno PU Poliuretano PUR Poliuretano PVAC Poliacetato,de,vinilo PVAL Poli,(alcohol,vinílico) PVB Poli,(butirato,de,vinilo) PVC Poli,(cloruro,de,vinilo) PVCC Poli,(cloruro,de,vinilo),dorado PVDC Poli,(cloruro,de,vinilideno) PVDF Poli,(fluoruro,de,vinilideno) PVF Fluoruro,de,vinilideno PVFM Poli,(vinil,formaldehído) PVK Polivinilcarbazo,vinílico PVP Polivinil,de,pirrolidona RF Resorcina,formaldehído SAN Estireno,acrilonitrilo SB Estireno,butadieno SBR Elastómero,de,estireno,butadieno SBS Estireno,butadieno,estireno SCR Elastómero,de,estireno,cloropreno SFRP Plástico,reforzado,con,fibra,sintética SI Siliconas Si Elastómero,de,metil,silicona SIR Elastómero,de,estireno,isopreno SMA Estireno,anhídrido,maleico SMS Estireno,metil,estireno SP Poliéster,saturado TFE Politrifluoromocloroefileno TPE Elastómero,termoplástico TPU Poliuretano,termoplástico TPX Poli,4,metilpenteno UF Urea,formaldehído UHMWPE Polietileno,de,ultra,alto,peso,molecular UP Poliéster,insaturado,(plástico,de,uretano) VCE Cloruro,de,vinilo,etileno VCEMA Cloruro,de,vinilo,etileno,acrilato,de,metilo VCEVA Cloruro,de,vinilo,etileno,acetato,de,vinilo VCMA Cloruro,de,vinilo,acrilato,de,metilo VCMMA Cloruro,de,vinilo,metacrilato,de,metilo VCOA Cloruro,de,vinilo,acrilato,de,octilo VCVAC Cloruro,de,vinilo,acetato,de,vinilo VCVDC Cloruro,de,vinilo,cloruro,de,vinilideno VPE Polietileno,reticulado VPSi Elastómero,de,metil,silicona,con,grupos,fenílicos,y,vinílicos VSi Elastómero,de,metil,silicona,con,grupos,vinílicos,pom,pe,pp,poe,mah,maleica,compatibilizzante,fibra,di,vetro,talco,carbonato,wollastonite,caolino,carbonato,policarbonato,acrilonitrile,butadiene,stirene,lega,amorfo,ritiro,anisotropico,antiossidante,contropressione,diaframma,cilindro,punto,nero,lega,mescola,bolla,raffreddatore,a,fontana,bruciatura,resistenza,a,cartuccia,forza,di,chiusura,gruppo,di,chiusura,coiniezione,canali,freddi,pozzetto,di,raccolta,della,goccia,fredda,rapporto,di,compressione,zona,di,compressione,canale,di,raffreddamento,fase,di,raffreddamento,copolimero,anima,maschio,fenditura,screpolatura,creep,reticolazione,cristallino,cuscino;,cuscinetto,tempo,di,ciclo,punti,di,ristagno,risucchio,degradazione,densità,essiccatore,ad,aria,deumidificata,iniezione,a,diaframma,iniezione,diretta,variazione,di,colore,dry,blend,ciclo,a,vuoto,essiccamento;,essiccazione,iniezione,laterale,corsa,di,estrazione,estrattore;,espulsore,forza,estrattore,spina,di,estrazione,perno,espulsore,tecnopolimero,bocca,di,alimentazione,zona,di,alimentazione,tempo,di,riempimento,fase,di,riempimento,piano,fisso;,piastra,fissa,ritardanti,di,fiamma;,ritardanti,la,fiamma,bava,fronte,di,flusso,lunghezza,di,scorrimento,linea,di,flusso,percorso,di,flusso,guaina,solidificata,stampaggio,a,iniezione,assistito,da,gas;,stampaggio,a,iniezione,gas,assistito;,stampaggio,a,iniezione,assistita,da,gas,punto,di,iniezione;,iniezione,solidificazione,del,punto,di,iniezione,fibre,di,vetro,brillantezza,granulatore,stabilità,termica,resistenza,a,fascia,zone,di,riscaldamento,fase,di,mantenimento;,fase,di,mantenimento,in,pressione,tempo,di,mantenimento,in,pressione,omopolimero,tramoggia,canali,caldi,chiusura,idraulica,chiusura,idromeccanica,igroscopico,carro,di,iniezione,stampaggio,ad,iniezione,pressa,ad,iniezione,pressione,di,iniezione,portata,di,iniezione,velocità,di,iniezione,gruppo,iniezione;,gruppo,di,iniezione,velocità,di,iniezione,volume,di,iniezione,potenza,installata,viscosità,intrinseca,ritiro,isotropico,linea,di,giunzione,linea,di,confluenza,rapporto,L/D,blocco,di,distribuzione,(canali,caldi),chiusura,a,ginocchiera,fuso;,materiale,fuso,fronte,del,fuso,temperatura,del,fuso;,temperatura,del,materiale,fuso,punto,di,fusione,zona,di,dosaggio,cariche,minerali,monomero,stampo,spessore,stampo,tensioni,interne,ciclo,di,stampaggio,ritiro,allo,stampaggio,piano,mobile;,piastra,mobile,stampo,multicavità,stampaggio,multicolore,stampaggio,multicomponente,ugello,gocciolamento,dell'ugello,forza,di,accostamento,dell'ugello,accostamento,ugello,punta,dell'ugello,opaco,forza,di,apertura,corsa,di,apertura,buccia,d'arancio,orientamento,sovrastampaggio,fase,di,compattamento,pressione,di,compattamento,piano,di,chiusura,deformazione,plastica,plastificante,capacità,di,plastificazione,vite,di,plastificazione,piano;,piastra,pistone,polietilentereftalato,polimetilmetacrilato;,poli(metil),metacrilato,poliammide,policarbonato,polietilene,polimero,polipropilene,polistirene,polistirolo,post,ritiro,trasformazione,spurgo,vite,punzonante,rimacinato,distaccante,tempo,di,permanenza,tensione,residua,nervatura,canale,di,iniezione,stampaggio,senza,materozza,stampaggio,sandwich,coppia,vite,giri/minuto,della,vite,velocità,di,rotazione,della,vite,semicristallino,gradiente,di,velocità,sforzo,di,taglio,stampata,incompleta;,pezzo,incompleto,stampata,capacità,di,iniezione;,peso,stampata,risucchio,passaggio,tra,le,colonne;,luce,tra,le,colonne;,spazio,tra,le,colonne,materozza,carota,boccola,del,canale,di,iniezione,incollaggio,della,materozza,stabilizzante,rigidità,stress,cracking,iniezione,a,linguetta,goffratura,termocoppia,termoplastico,termoindurente,stampaggio,a,parete,sottile,stampo,a,terza,piastra,pressa,a,iniezione,senza,colonne,chiusura,a,ginocchiera,tonnellaggio,ugello,a,torpedo,iniezione,a,tunnel;,iniezione,sottomarina,sottosquadro,stabilizzante,UV,ugello,a,valvola,commutazione,V/P,cilindro,con,degasaggio,degasaggio,sfoghi,d'aria,sfiati,materiale,vergine,viscosità,vuoto,spessore,di,parete,deformazione,svergolamento,linea,di,giunzione,acrylonitrile,butadiene,stirene,alloy,amorphous,anisotropic,shrinkage,antioxidant,back,pressure,baffle,barrel;,cylinder,black,speck,blend,bubble,bubbler,burn,mark,cartridge,heater,clamp,force,clamp,unit,co,injection,cold,runners,cold,slug,well,compression,ratio,compression,zone;,transition,zone,(plasticizing,screw),cooling,channel;,cooling,line,cooling,phase,copolymer,core,crack,cracking,craze;,crazing,creep,crosslinking,crystalline,cushion;,pad,cycle,time,dead,spots,decompression;,suck,back,(screw),degradation,density,desiccant,dryer,diaphragm,gate,direct,gate,discoloration,dry,blend,dry,cycle,drying,edge,gate,ejection,stroke,ejector,ejector,force,ejector,pin,knockout,pin,engineering,resin,feed,throat,feed,zone,(plasticizing,screw),fill,time,filling,phase,fixed,platen;,stationary,platen,flame,retardants,flash,flow,front,flow,length,flow,line,flow,path,frozen,skin,gas,assisted,injection,moulding,(GB);,gas,assisted,injection,molding,(USA),gate,gate,freezing,glass,fibres,gloss,granulator,heat,stability,heater,band,heating,zones,hold,phase;,holding,phase,hold,time;,holding,time,homopolymer,hopper,hot,runners,hydraulic,clamp,hydro,mechanical,clamp,hygroscopic,injection,carriage,injection,moulding,(GB);,injection,molding,(USA),injection,moulding,machine,(GB);,injection,molding,machine,(USA),injection,pressure,injection,rate,injection,speed,injection,unit,injection,velocity,injection,volume,installed,power,intrinsic,viscosity,isotropic,shrinkage,knit,line,L/D,ratio,manifold,mechanical,clamp,melt,melt,front,melt,temperature,melting,point,metering,zone,(plasticizing,screw),mineral,fillers,monomer,mould,(GB);,mold,(USA),mould,height,moulded,in,stresses,moulding,cycle,moulding,shrinkage,(GB);,mould,shrinkage,(GB);,molding,shrinkage,(USA);,mold,shrinkage,(USA),moving,platen;,movable,platen,multi,cavity,mould,multi,colour,moulding,(GB);,multi,color,moulding,(USA),multi,component,moulding,(GB);,multi,component,molding,(USA),nozzle,nozzle,drooling,nozzle,force,nozzle,forward,nozzle,tip,opaque,opening,force,opening,stroke,orange,peel,orientation,overmoulding,(GB);,overmolding,(USA),packing,phase,packing,pressure,parting,line,plastic,deformation,plasticizer,plasticizing,capacity,plasticizing,screw;,plasticating,screw,platen,plunger,poly(ethylene),terephthalate;,polyethylene,terephthalate,poly(methyl,methacrylate);,polymethyl,methacrylate,polyamide,polycarbonate,polyethylene,polymer,polypropylene,polystyrene,post,moulding,shrinkage,(BG);,post,molding,shrinkage,(USA),processing,purging,reciprocating,screw,regrind,release,agent,residence,time,residual,stress,rib,runner,runnerless,moulding,(GB);,runnerless,molding,(USA),sandwich,moulding,(GB);,sandwich,molding,(USA),screw,motor,torque,screw,rpm,screw,speed,semi,crystalline,shear,rate,shear,stress,short,shot,shot,shot,weight,sink,mark,space,between,tiebars;,clearance,between,tie,rods;,distance,between,tie,rods,sprue,sprue,sprue,bushing,sprue,sticking,stabilizer,stiffness,stress,cracking,tab,gate,texture,thermocouple,thermoplastic,thermoset,thin,wall,moulding,(GB);,thin,wall,molding,(USA),three,plate,mould,tiebarless,injection,moulding,machine,toggle,clamp,tonnage,torpedo,nozzle,tunnel,gate;,submarine,gate;,sub,gate,undercut,UV,stabilizer,valve,nozzle,velocity,to,pressure,transfer;,fill/pack,transfer,vented,barrel,venting,vents,virgin,material,viscosity,void,wall,thickness,warpage,weld,line,acrilonitrile,butadiene,stirene,contropressione,cilindro,punto,nero,bolla,bruciatura,forza,di,chiusura,gruppo,di,chiusura,coiniezione,canali,freddi,pozzetto,di,raccolta,della,goccia,fredda,rapporto,di,compressione,canale,di,raffreddamento,fase,di,raffreddamento,fenditura,screpolatura,cuscino;,cuscinetto,tempo,di,ciclo,punti,di,ristagno,iniezione,a,diaframma,essiccamento;,essiccazione,iniezione,laterale,estrattore;,espulsore,tecnopolimero,fase,di,riempimento,piano,fisso;,piastra,fissa,ritardanti,di,fiamma;,ritardanti,la,fiamma,bava,fronte,di,flusso,linea,di,flusso,percorso,di,flusso,stampaggio,a,iniezione,assistito,da,gas;,stampaggio,a,iniezione,gas,assistito;,stampaggio,a,iniezione,assistita,da,gas,punto,di,iniezione;,iniezione,solidificazione,del,punto,di,iniezione,fibre,di,vetro,granulatore,fase,di,mantenimento;,fase,di,mantenimento,in,pressione,tempo,di,mantenimento,in,pressione,tramoggia,canali,caldi,chiusura,idraulica,stampaggio,ad,iniezione,pressa,ad,iniezione,pressione,di,iniezione,portata,di,iniezione,velocità,di,iniezione,gruppo,iniezione;,gruppo,di,iniezione,rapporto,L/D,fuso;,materiale,fuso,temperatura,del,fuso;,temperatura,del,materiale,fuso,cariche,minerali,stampo,tensioni,interne,ritiro,allo,stampaggio,piano,mobile;,piastra,mobile,stampo,multicavità,stampaggio,multicolore,stampaggio,multicomponente,ugello,gocciolamento,dell'ugello,punta,dell'ugello,buccia,d'arancio,sovrastampaggio,fase,di,compattamento,pressione,di,compattamento,piano,di,chiusura,plastificante,vite,di,plastificazione,piano;,piastra,polietilentereftalato,polimetilmetacrilato;,poli(metil),metacrilato,poliammide,policarbonato,polietilene,polipropilene,polistirene,polistirolo,post,ritiro,trasformazione,spurgo,vite,punzonante,rimacinato,tempo,di,permanenza,canale,di,iniezione,stampaggio,senza,materozza,stampaggio,sandwich,gradiente,di,velocità,sforzo,di,taglio,stampata,incompleta;,pezzo,incompleto,stampata,capacità,di,iniezione;,peso,stampata,risucchio,passaggio,tra,le,colonne;,luce,tra,le,colonne;,spazio,tra,le,colonne,materozza,carota,boccola,del,canale,di,iniezione,iniezione,a,linguetta,termoplastico,stampaggio,a,parete,sottile,chiusura,a,ginocchiera,tonnellaggio,iniezione,a,tunnel;,iniezione,sottomarina,ugello,a,valvola,degasaggio,vuoto,spessore,di,parete,back,pressure,barrel;,cylinder,black,speck,bubble,burn,mark,clamp,force,clamp,unit,co,injection,cold,runners,cold,slug,well,compression,ratio,cooling,channel;,cooling,line,cooling,phase,crack,cracking,craze;,crazing,cushion;,pad,cycle,time,dead,spots,diaphragm,gate,drying,edge,gate,ejector,engineering,resin,filling,phase,fixed,platen;,stationary,platen,flame,retardants,flash,flow,front,flow,line,flow,path,gas,assisted,injection,moulding,(GB);,gas,assisted,injection,molding,(USA),gate,gate,freezing,glass,fibres,granulator,hold,phase;,holding,phase,hold,time;,holding,time,hopper,hot,runners,hydraulic,clamp,injection,moulding,(GB);,injection,molding,(USA),injection,moulding,machine,(GB);,injection,molding,machine,(USA),injection,pressure,injection,rate,injection,speed,injection,unit,L/D,ratio,melt,melt,temperature,mineral,fillers,mould,(GB);,mold,(USA),moulded,in,stresses,moulding,shrinkage,(GB);,mould,shrinkage,(GB);,molding,shrinkage,(USA);,mold,shrinkage,(USA),moving,platen;,movable,platen,multi,cavity,mould,multi,colour,moulding,(GB);,multi,color,moulding,(USA),multi,component,moulding,(GB);,multi,component,molding,(USA),nozzle,nozzle,drooling,nozzle,tip,orange,peel,overmoulding,(GB);,overmolding,(USA),packing,phase,packing,pressure,parting,line,plasticizer,plasticizing,screw;,plasticating,screw,platen,poly(ethylene),terephthalate;,polyethylene,terephthalate,poly(methyl,methacrylate);,polymethyl,methacrylate,polyamide,polycarbonate,polyethylene,polypropylene,polystyrene,post,moulding,shrinkage,(BG);,post,molding,shrinkage,(USA),processing,purging,reciprocating,screw,regrind,residence,time,runner,runnerless,moulding,(GB);,runnerless,molding,(USA),sandwich,moulding,(GB);,sandwich,molding,(USA),shear,rate,shear,stress,short,shot,shot,shot,weight,sink,mark,space,between,tiebars;,clearance,between,tie,rods;,distance,between,tie,rods,sprue,sprue,sprue,bushing,tab,gate,thermoplastic,thin,wall,moulding,(GB);,thin,wall,molding,(USA),toggle,clamp,tonnage,tunnel,gate;,submarine,gate;,sub,gate,valve,nozzle,venting,void,wall,thickness,Caolino,Capillari,Capocchie,Carbon,back,Carbonatazione,Carbonatazione,del,calcestruzzo,Carbonato,di,calcio,Cariche,O,estensori,Carteggiatura,Caseina,Catalisi,Catalizzatore,Catrame,Caucciù,Cavillature,Cellulosa,Cemento,fuso,o,alluminoso,Cemento,Portland,Cemento,pozzolanico,Cere,Chroma,Clorocaucciù,Cloruro,di,polivinile,Cocciopesto,Coefficiente,di,permeabilità,al,vapore,Coesione,Colatura,Colorante,Colorante,tinto,metro,Colore,Colpi,di,spazzola,(cicli,gardner),Composti,organici,volatili,Condensazione,Conducibilità,termica,Conglomerato,Consolidante,Controspinta,Copertura,Corpo,Corrosione,Costretti,a,secco,Cure,indurimento,Deformazione,Densità,Deumidificante,Dilatazione,Diluenti,Dispersore,Durezza,Elasticità,Elastomerica,Emulsione,Epossidica,Espansivo,Essiccante,Essiccazione,Oil,Evaporazione,Extender,Abrasione,(resistenza,alla),Abrasivo,Acetone,Acquaragia,vegetale,Acrilico,Additivi,Adesione,Aerografo,Aerosol,Affresco,Agenti,atmosferici,Aggregato,Air,Cure,Air,mix,Airless,Alchidica,Ammide,Ancoraggio,Antiacido/a,Antimuffa,Antiruggine,Antischiuma,Antivegetativa,Appiccicosità,Applicabilità,Argilla,espansa,Asfalto,Assorbimento,Assorbitori,U,V,Autolivellante,Azione,dei,Sali,Fessurazioni,Fessure,da,spessore,Fessure,statiche,Fibrorinforzato,Filler,Ventilato,Film,Corporatura,Filmazione,Floating,Flow,Coating,Formazione,della,pellicola,Funghicida,Gesso,Ghiaie,Gloss,Gloss,Meter,Grafite,Granulometria,Idrocarburi,Idrofugazione,Idropittura,Idropulitura,Idrorepellenza,Idrosabbiatura,Ignifugo,Igroscopicità,Immersione,Impermeabilizzante,Impolmonimento,Indurente,Inerte,Inerti,Ingiallimento,Inibitore,Inibitore,di,corrosione,Iniettabile,Intonaci,Intonaci,deumidificanti,macroporosi,Intonaci,premiscelati,Intonaci,premiscelati,monocappa,Intonaco,Intonaco,termico,Intumescenza,Isolante,Macinazione,Malte,Malte,a,ritiro,controllato,Malte,aeree,Malte,antiritiro,Malte,bastarde,Malte,colabili,Malte,da,fissaggio,Malte,da,inghisaggio,Malte,espansive,Malte,grasse,Malte,idrauliche,Malte,idrofugate,Malte,magre,o,povere,Malte,modellabili,Malte,molto,grasse,o,malte,forti,Malte,premiscelate,Malte,premiscelate,di,colletta,mento,Malte,premiscelate,fibrate,Malte,rapide,medie,lente,Massetto,o,caldana,Miche,Micromalte,Micromalte,iniettabili,Micromalte,osmotiche,Monomero,Olio,cotto,Olio,di,lino,Opacità,Osmotico,Ossidazione,Ossido,di,ferro,Passivazione,Pelle,Penetrante,Finitura,Pennellabilità,Pennello,Perlite,espansa,Peso,specifico,pH,(potenziale,idrogeno),Piana,Pietrischi,Pigmentato,Pigmenti,Pigmenti,inorganici,Pigmenti,organici,Pigmento,Piombo,Pistola,Pistola,Air,Mix,(misto,aria),Pistola,Airless,Pistola,elettrostatica,Pittura,Plasticità,Plastificanti,Polimerico,Polimerizzazione,Polimero,Porosità,Pot,life,Potere,coprente,Pozzolana,Primer,Prodotto,verniciante,Promotori,di,adesione,Puntinatura,Punto,di,rugiada,raggrinzimento,Rasante,Rasante,anticarbonatazione,Rasatura,Reazione,pozzolanica,Reologia,Reoplastica,Repellenza,Resa,Residuo,secco,Resina,Resine,Resine,naturali,Resistenza,al,fuoco,Resistenza,termica,=,R,Reticolazione,Retinamento,Rialcalinizzante,Rigature,Rinzaffo,o,rabboccatura,Ripristino,puntale,Risalita,capillare,Ritenzione,del,colore,Ritiro,Ritiro,compensato,Rivestimento,Rubb,out,Ruggine,Rugiada,Rullo,Sabbia,Sabbiatura,Sabbie,Sale,di,Vichy,Sali,cloruri,(sali,dell’acido,cloridrico),Sali,di,ammonio,Sali,nitrati,(sali,dell’acido,nitrico),Sali,solfati,(sali,dell’acido,solforico),Sanguinamento,Sbiancamento,Scagliola,Screpolamento,Sedimentazione,Separazione,Setaccio,Sfarinamento,Sfiammatura,Sfogliamento,Sigillante,Silicati,Silice,Silicone,Siliconi,Smalto,Solfato,di,calcio/gesso,Solidi,volume,Sollevamento,Sollevamento,del,pelo,Soluzione,impregnanti,anti,saline,Solvente,Spazzolatura,Spessimetro,Spessore,Spolveratura,Spruzzo,Squamatura,Staggiatura,Stratificazione,Stucco,Substrato,Sughero,Supporto,Tampone,Tempera,Tempo,di,vita,dell’impasto,(pot,life),Termocappotto,Termoigrometro,Tixotropia,Tonachino,Traspirante,Trementina,Turapori,Umidità,ascendente,(di,risalita,capillare),Umidità,da,condensa,Umidità,meteorica,Umidità,residua,U,R,Uretano,abrasione,sf,accelerante,sm,accumulatore,idropneumatico,(aeroidraulico),sm,acetale,di,vinile,sm,acetato,di,cellulosa,sm,acetato,di,vinile,sm,aceto,butirrato,di,cellulosa,sm,acquaragia,sf,addensante,sm,addensare,v,tr,additivo,per,colle,sm,aderenza,di,contatto,sf,adesività,sf,adesivo,sm,agente,allungante,diluente,sm,agente,antistatico,sm,agente,di,condensazione,sm,agente,di,reticolazione,sm,alcool,etilico;,etanolo,sm,alcool,metilico;,metanolo,sm,alcool,vinilico,sm,alesaggio,sm,alfa,cellulosa,sf,alginato,sm,alimentazione,sf,alimentazione,a,più,vie,sf,alimentazione,boccola,d',,sf,alimentazione,orifizio,d',sm,alimentazione,ponderale,sf,alimentazione,volumetrica,sf,allungamento,a,rottura,sm,allungamento,tra,segni,di,riferimento,sm,allungamento,unitario,sm,alto,polimero,sm,alveolo,sm;,cellula,sf,amianto,sm;,carica,rinforzante,sf,amminoplasto,sm,ammortizzamento,sm,ammortizzatore,sm;smorzatore,di,vibrazioni,sm,amorfo,agg,analisi,allo,staccio,sf,anello,di,contenimento,(di,stampo),sm,anello,riscaldante,sm;,collare,sm,angolo,di,conicità,sm;,angolo,di,sformo,sm,angolo,di,fase,sm,angolo,di,perdita,sm,angolo,di,sformo,sm;,angolo,di,conicità,sm,anistropia,di,stratificanti,sf,antiadesivo,per,stampo,sm,antiossidante,sm,apertura,sf,;,luce,(distanza,fra,i,piani,di,una,pressa),sf,appretto,sm,appretto,(per,tessili,carta),sm,ardesia,sf,ardesia,polvere,di,sf,assorbimento,dell'acqua,sm,assorbimento,d'acqua,velocità,d',,sf,assorbimento,di,umidità,sm,assorbimento,di,vapore,acqueo,sm,atattico,agg,attenuazione,di,colore,sf;,sbiadimento,sm;,scolorimento,sm,avvallamento,superficiale,sm,bacchetta,di,materiale,d'apporto,sf,barra,dell'espulsore,sf,bastone,sm,bastone,ottenuto,per,lavoazione,su,macchine,utensili,sm,bastone,stampato,sm,bava,sf,benzilcellulosa,sf,bicolore,agg,bocchettone,con,piastra,forata,sm,bocchettone,(o,filiera,sf),della,trafila,sm,bocchettone,per,trafilatura,di,foglie,sm,boccola,sf,boccola,d'alimentazione,sf,boccola,di,centratura,sf,boccola,di,matarozza,sf,bolla,sf,bolla,aperta,sf,bombato,agg,bozza,sf,brillantezza,sf,brinatura,sf,bruciato,agg,brunitura,sf,butirrale,di,vinile,sm,calandra,sf,calandratura,sf,camera,di,caricamento,sf,camera,di,trasferimento,sf;,cilindro,di,trasferimento,sm,camicia,elettrica,sf,campione,sm,canale,d'iniezione,sm,canale,per,circolazione,d'acqua,sm,canale,per,circolazione,di,vapore,sm,cannello,per,saldatura,sm,caolino,sm,capacità,d'iniezione,sf,carbossimetilcellulosa,sf,carica,(di,materiale,da,stampatura),sf,carica,d'iniezione,sf,carica,sf;,riempitivo,(materiale,da,stampatura),sm,carica,rinforzante,sf,carico,di,rottura,per,trazione,sm,carta,spalmata,sf,carta,verniciata,sf,caseina,sf,cassa,dello,stampo,sf,catalizzatore,sm,catalizzatore,chimico,sm,catalizzatore,fisico,sm,catena,(lineare),molecolare,sf,cavità,sf,cavità,(es,di,colata),sf,cellula,sf;,alveolo,sm,cellula,chiusa,sf,cellulosa,sf,cellulosa,rigenerata,sf,cemento,(adesivo),sm,cemento,fenolico,sm,cemento,per,lampade,elettriche,sm,cemento,per,sotto,vuoto,(adesivo),sm,cemento,sintetico,sm,cherosene,sm,chiusura,a,gravità,sf,chiusura,dello,stampo,(superficie,di),sf,chiusura,rallentata,di,uno,stampo,sf,ciclo,automatico,sm,ciclo,di,stampatura,sm,cilindro,sm,cilindro,di,calandra,sm,cilindro,d'iniezione,sm,cilindro,di,riscaldamento,sm,cilindro,di,trasferimento,sm;,camera,di,trasferimento,sf,cloro,acetato,di,vinile,sm,cloroprene,sm,cloruro,di,vinile,sm,cloruro,di,vinilidene,sm,coagulazione,sf,colata,sf,colla,(adesiva),sf,colla,di,mescolanza,sf,colla,indurente,a,caldo,sf,colla,indurente,a,freddo,sf,colla,in,polvere,sf,colla,in,soluzione,sf,colla,per,contatto,sf,colla,per,giuntare,sf,colla,per,legno,compensato,sf,collare,sm;,anello,riscaldante,sm,colla,sintetica,sf,colla,termoindurente,sf,colla,termoplastica,sf,colofonia,sf,colonna,sf,colorante,sm,colorante,insolubile,sm,colorante,solubile,sm,colore,insolubile,sm;,pigmento,sm,coltella,(della,spalmatrice),sf,compatibilità,(p,es,di,un,plastificante,e,di,una,resina),sf,compensato,(legno),sm,compensato,con,legante,resinoso,sm,compressione,del,pistone,sf,condensazione,sf,conducibilità,termica,sf,conformatore,sm,conformatore,sm;,forma,di,raffreddamento,sf,conicità,sf,contraibilità,sf,copolicondensazione,sf,copolimerizzazione,sf,copolimerizzazione,blocco,sf,copolimerizzazione,con,reticolazione,sf,copolimero,sm,copolimero,blocco,sm,corpo,della,pressa,sm,corrosione,sf,corsa,sf,cospargere,di,polvere,(per,intalcare),v,tr,costante,dielettrica,(permittività),ACETALDEHIDO Líquido,incoloro,de,aroma,a,frutas,derivado,de,la,oxidación,del,etileno,Es,flamable,narcótico,y,presenta,riesgo,de,explosión,Su,utilización,está,centrada,en,la,fabricación,de,varios,compuestos,químicos,y,saborizantes,artificiales, ACETATO,DE,VINILO Es,un,líquido,incoloro,que,se,emplea,para,obtener,resinas,vinílicas,es,flamable,y,se,vende,con,inhibidores,para,evitar,la,polimerización,prematura, ACETILACION Adición,de,un,radical,acetilo,(CH3,CO,),en,la,molécula,de,una,substancia,orgánica, ACRILAMINA Cristales,incoloros,sin,aroma,que,funden,a,84°C,y,hierven,a,125°C,Son,insolubles,en,benceno,estables,a,temperatura,ambiente,pero,pueden,polimerizar,violentamente,al,fundir,La,fabricación,de,tintes,papel,y,adhesivos,son,algunas,de,sus,aplicaciones,aunque,también,funge,como,agente,de,entrecruzamiento, ACRILATO,DE,ALILO Líquido,que,hierve,entre,122,y,134°C,Sirve,como,un,monómero,para,resinas ACRILATOS Monómeros,usados,para,resinas,termofijas,pinturas,y,acabados,de,papel, ACRILONITRILO Líquido,incoloro,de,olor,débil,flamable,explosivo,en,el,aire,se,absorbe,por,la,piel,y,es,tóxico,por,inhalación,Parcialmente,miscible,en,agua,se,disuelve,en,cualquier,solvente,orgánico,es,usado,en,la,manufactura,de,fibras,sintéticas,copolímeros,y,diversas,síntesis,orgánicas,Un,monómero,con,la,estructura,(CH2=CH,CN),Este,copolímero,con,butadieno,es,un,hule,nitrilo,y,existen,algunos,copolímeros,con,estireno,que,son,tan,duros,como,el,poliestireno,Este,homopolímero,es,algunas,veces,usado,como,fibra,sintética, ACRONIMO Conjunto,de,siglas,que,abrevian,el,nombre,de,un,plástico, ACUMULADOR Extrusor,auxiliar,utilizado,para,proporcionar,una,distribución,extremadamente,rápida,del,párison,en,el,moldeo,por,soplado,El,cilindro,acumulador,es,cargado,con,material,plastificado,del,extrusor,que,se,distribuye,entre,el,párison,o,“disparo”,y,el,almacenado,o,“acumulado”,en,el,cilindro,requerido,para,el,próximo,párison, ADIPICO,ACIDO Se,conoce,también,como,"ácido,hexanodióico",es,un,sólido,cristalino,blanco,derivado,de,la,oxidación,de,la,ciclohexanona,con,ácido,nítrico,Empleado,en,la,síntesis,de,poliamidas,y,espuma,de,poliuretano, ADITIVO Substancia,que,modifica,las,propiedades,del,plástico,en,diferentes,formas, ADSORCION Adherencia,de,átomos,o,iones,de,una,substancia,a,la,superficie,de,otra,llamada,adsorbente,bajo,condiciones,favorables,los,materiales,finamente,divididos,tienen,mayor,superficie,activa,Este,proceso,se,emplea,en,la,eliminación,de,olores,y,colores,en,aceites,grasas,o,sustancias,semejantes, ADUCTO Asociación,de,dos,moléculas,que,no,presentan,enlaces,reales,También,llamado,"complejo,de,inclusión", AGENTE,ENTRECRUZANTE Se,denomina,así,a,los,compuestos,que,son,agregados,a,las,resinas,reactivas,para,solidificarlas, AGENTE,NUCLEANTE Nombre,que,recibe,cualquier,substancia,que,favorece,la,formación,de,núcleos,moleculares,en,un,material,,Por,lo,general,limitan,la,transparencia,de,los,plásticos,a,excepción,del,Polipropileno, ALABEO Falla,en,una,pieza,que,se,deforma,después,de,moldearse,la,forma,original,se,tuerce,de,manera,curva,esto,es,debido,a,los,esfuerzos,residuales,en,el,material,transformado, ALCANOLAMINA Compuesto,que,tiene,un,átomo,de,nitrógeno,unido,a,un,alcohol,lineal,como,la,trietanolamina, ALCOHOL,ISOPROPILICO Conocido,como,isopropanol,es,un,líquido,flamable,que,incendia,a,453°C,Es,un,solvente,para,la,preparación,de,aceites,esenciales,alcaloides,resinas,y,gomas,También,se,emplea,en,los,procesos,de,extracción,y,como,desnaturalizante, ALCOHOL,POLIVINILICO Polímero,sintético,hidrosoluble,que,se,presenta,como,polvo,blanco,con,peso,molecular,entre,35000,y,250000,gramos,por,mol,Las,propiedades,del,material,dependerán,del,grado,de,polimerización,presente, ALCOHOLES,SUPERIORES Término,empleado,para,los,alcoholes,de,alto,peso,molecular, ALCOHOLISIS Rompimiento,de,una,molécula,debido,a,la,acción,de,un,alcohol,análogo,a,la,hidrólisis,donde,el,rompimiento,se,efectúa,mediante,agua, ALDEHIDOS Compuesto,orgánico,que,tiene,como,estructura,básica,RCHO,donde,R,puede,ser,cualquier,radical,Los,aldehídos,forman,una,familia,de,compuestos,que,se,obtienen,de,la,deshidrogenación,de,alcoholes, ALFA,METIL,ESTIRENO Entre,sus,propiedades,se,encuentra,la,de,polimerizar,con,el,calor,o,un,catalizador,por,esta,razón,se,vende,con,un,inhibidor,Es,un,líquido,combustible,que,incendia,a,573°C, ALFA,OLEFINA Olefina,particularmente,reactiva,que,contiene,doble,enlace,en,el,primer,carbono, ALICICLICO Sustancias,orgánicas,que,se,caracterizan,por,tener,un,anillo,cerrado,en,su,estructura,el,anillo,no,debe,confundirse,con,el,bencénico,La,mayoría,de,estos,compùestos,provienen,del,petróleo,aún,cuando,pueden,sintetizarse,en,los,laboratorios, ALQUIDALICA Recubrimiento,sintético,de,naturaleza,termofija,semejante,a,un,poliéster,útil,en,la,formulación,de,pinturas,exteriores,o,marítimas,También,conocidos,como,alquídicos,se,moldean,para,encapsular,componentes,electrónicos, ALUMINA Nombre,de,un,compuesto,que,consta,de,sales,hidratadas,de,aluminio,se,obtiene,a,partir,de,minerales,de,éste,metal,No,es,combustible,y,comercialmente,se,encuentra,como,polvo, AMIDA Nombre,genérico,de,los,compuestos,nitrogenados,que,se,derivan,del,amoniaco,pueden,ser,orgánicos,o,inorgánicos,como,la,amida,de,sodio,y,la,formamida,respectivamente, AMINA Material,orgánico,con,nitrógeno,en,su,composición,Puede,considerarse,derivado,del,amoniaco,todas,las,aminas,son,alcalinas, AMORFO Característica,de,algunos,materiales,plásticos,cuyas,cadenas,están,desordenadas,en,el,espacio,,permitiendo,el,paso,de,la,luz,Este,concepto,es,contrario,a,la,cristalinidad, ANATASA Forma,natural,de,los,cristales,del,dióxido,de,titanio, ANHIDRIDO,MALEICO Sólido,incoloro,en,forma,de,agujas,que,disuelven,en,acetona,agua,y,alcohol,Se,obtiene,al,oxidar,benceno,,sirve,para,sintetizar,resinas,plásticas,y,pinturas, ANHIDRIDOS Substancias,que,provienen,de,un,ácido,carboxílico,al,que,se,ha,retirado,agua,el,ácido,ftálico,produce,anhídrido,ftálico, ANIDRIDO,FTALICO Cristales,blancos,que,funden,a,131°C,se,disuelven,en,alcohol,o,disulfuro,de,carbono,Se,emplea,en,síntesis,orgánicas,tintas,e,insecticidas, ANTIESPUMANTES En,el,caso,del,silicón,son,agentes,que,tienen,la,función,de,eliminar,las,espumas,que,se,forman,en,diferentes,procesos,y,reacciones, ANTIESTATICO (1),Método,o,substancia,que,evita,la,estática,(2),Agentes,adicionados,a,una,formulación,para,evitar,que,se,acumulen,cargas,estáticas,sobre,la,pieza,terminada, ANTRAQUINONICOS Serie,de,colorantes,que,se,derivan,de,la,antraquinona,son,muy,usados,en,la,industria,textil,y,poseen,baja,toxicidad, ATACTICO Arreglo,molecular,en,el,que,la,cadena,principal,tiene,grupos,metilo,que,cuelgan,aleatoriamente,de,ella, AUTOEMULGENTES Líquidos,con,elevada,solubilidad,que,forman,una,emulsión,por,sí,mismos,No,requieren,de,un,emulsificante, AUTOEXTINGUIBLE Característica,que,poseen,algunos,materiales,plásticos,su,estructura,evita,la,propagación,de,la,flama,cuando,éstos,se,queman,Una,vez,que,la,fuente,de,calor,es,retirada,el,polímero,extingue,la,flama, AUTOIGNICION Característica,de,algunas,substancias,que,producen,flama,o,explosión,bajo,ciertas,condiciones,de,temperatura,y,presión, AZO Prefijo,con,el,que,se,designa,a,los,compuestos,que,tienen,un,doble,enlace,nitrógeno,nitrógeno,(N=N),Este,enlace,origina,una,gran,variedad,de,substancias, AZODICARBONAMIDA Polvo,amarillo,que,sirve,como,agente,de,soplado,Se,descompone,a,altas,temperaturas,en,dióxido,de,carbono,amoniaco,y,nitrógeno, AZOICO Que,tiene,grupos,azo, B BANBURY Aparato,para,la,combinación,de,materiales,que,consta,de,un,par,de,rotores,que,mezclan,los,componentes,en,forma,homogénea, BEBEDERO Orificio,del,molde,que,entra,en,contacto,con,la,boquilla,de,la,inyectora,El,bebedero,recibe,el,material,plastificado,y,lo,transporta,a,las,ramificaciones,del,molde,o,bien,a,la,cavidad,del,mismo, BEHENAMIDA Amida,derivada,del,ácido,behénico,que,a,su,vez,se,encuentra,en,el,aceite,de,cacahuate,o,del,nabo,silvestre,en,bajas,cantidades, BENCENO Compuesto,químico,de,gran,importancia,comercial,que,posee,6,átomos,de,carbono,en,su,molécula,enlazados,a,6,hidrógenos,mediante,un,anillo,hexagonal,Es,cancerígeno,flamable,y,se,emplea,en,la,fabricación,del,etil,benceno,que,a,su,vez,es,el,monómero,del,estireno, BENZALDEHIDO Es,un,aceite,volátil,con,un,color,variable,entre,amarillo,y,transparente,su,estructura,es,C6H5CHO,presenta,un,olor,característico,semejante,al,de,las,almendras,amargas,Se,emplea,principalmente,en,síntesis,orgánicas,de,colorantes,resinas,perfumes,productos,de,secado,fotografía,y,jabones, BENZOFENONA Presenta,diversos,usos,además,de,ser,absorbedor,de,luz,ultravioleta,también,inhibe,la,polimerización,del,estireno,permitiendo,almacenarlo,y,sirve,como,fijador,de,aromas,en,fragancias,comerciales,o,jabones,El,compuesto,puro,forma,cristales,blancos,de,aroma,dulce,semejante,al,de,las,rosas,hierve,a,305°C,es,combustible,e,insoluble,al,agua, BENZOFENONAS Diversos,compuestos,derivados,de,la,difenilcetona,se,usan,como,agentes,de,curado,para,resinas,epóxicas,y,absorbedores,UV, BENZOICO,ACIDO Sólido,blanco,combustible,en,forma,de,escamas,o,agujas,cristalinas,Sublima,a,100°C,insoluble,en,agua,,soluble,en,alcohol,éter,cloroformo,y,benceno,Se,usa,para,producir,benzoatos,plastificantes,aromas,,dentífricos,y,germicidas, BENZOTRIAZOLES Sales,metálicas,derivadas,de,un,compuesto,llamado,bencenoazimida,se,usan,principalmente,como,absorbedores,ultravioleta,Solubles,en,alcohol,y,benceno, BIAXIAL Referente,a,dos,ejes,Cuando,una,película,se,estira,biaxialmente,a,lo,largo,y,ancho, BIODEGRADABLE Que,se,descompone,bajo,la,acción,de,agentes,biológicos,como,insectos,o,microorganismos, BIOPOLIMERO Polímero,soluble,en,agua,generado,por,la,acción,de,una,bacteria,sobre,un,hidrocarburo,la,viscosidad,del,compuesto,es,semejante,a,la,del,agua,pero,puede,incrementarse,añadiendo,un,ión,de,cromo, BIORIENTACION Arreglo,que,toman,las,moléculas,de,un,plástico,cuando,son,forzadas,a,estirarse,biaxialmente, Nombre,común,del,isopropilén,difenol,forma,escamas,blancas,no,solubles,en,agua,pero,disuelven,en,alcohol,y,álcalis,diluidos,como,la,sosa,o,potasa,Sus,principales,usos,son,la,síntesis,de,resinas,como,la,epóxica,y,policarbonato, BLISTER,PACK Voz,inglesa,que,designa,empaques,termoformados, BLOW,FILL,SEAL Particularidad,de,la,extrusión,soplo,en,la,que,un,envase,plástico,es,moldeado,se,llena,con,el,líquido,a,contener,y,finalmente,se,sella,sin,necesidad,de,una,tapa,adicional,Soplar,llenar,y,sellar, BONDEADO Procedimiento,para,unir,material,textil,con,lámina,de,poliuretano, BOQUILLA Pieza,de,la,unidad,de,inyección,que,aglomera,al,material,donde,termina,el,cilindro,para,ser,enviado,al,molde, BUMPER Pieza,automotriz,que,funge,como,defensa, BUSHING En,la,extrusión,es,el,anillo,externo,del,dado,que,moldea,la,superficie,externa,de,un,tubo,En,inyección,es,un,cilindro,en,las,contrapartes,de,los,pernos,y,tornillos, BUTANO Gas,incoloro,estable,en,el,aire,no,reacciona,con,la,humedad,ni,corroe,los,metales,Producto,de,la,destilación,del,petróleo,explota,al,contacto,con,el,aire,en,porcentajes,de,1,9,a,8,5,%,de,gas,Tiene,efectos,narcóticos,cuando,se,presenta,en,altas,concentraciones, BUTILBENCILFTALATO Fluido,aceitoso,claro,combustible,usado,como,intermedio,químico,en,algunas,reacciones,y,plastificante,de,resinas,vinílicas,y,celulósicas, C CABEZAL Sección,final,de,un,extrusor,donde,el,polímero,fundido,toma,la,forma,del,producto,por,formar, CABRESTANTE Torno,vertical,que,tira,de,un,cable, CAJA,DE,PETRI Plato,de,vidrio,con,tapa,empleado,para,el,cultivo,de,bacterias,con,fines,médicos,o,de,investigación,biológica, CALANDREADO Producto,obtenido,por,el,proceso,de,calandreo, CALANDREO Proceso,para,generar,láminas,o,películas,plásticas,por,medio,de,una,serie,de,rodillos,calientes,colocados,adecuadamente, CAMBIAMALLAS Dispositivo,mecánico,o,hidráulico,que,permite,cambiar,una,malla,cuando,ésta,se,satura,de,contaminantes, CAPACIDAD,CALORIFICA Es,la,cantidad,de,calor,que,se,requiere,para,incrementar,la,temperatura,en,1°C, CARBONILO Grupo,formado,por,un,átomo,de,carbono,unido,a,uno,de,oxígeno,por,un,doble,enlace,(C=O),es,característico,en,varios,compuestos,químcos,como,las,cetonas, CARBOXILATO En,general,cualquier,sal,derivada,de,una,amplia,serie,de,ácidos,orgánicos,que,se,distinguen,entre,sí,por,el,número,de,átomos,de,carbono,existentes,en,la,cadena,que,puede,ir,desde,1,hasta,26, CARBOXILICO,ACIDO Nombre,genérico,que,reciben,diversos,compuestos,que,terminan,con,un,radical,carboxilo,(COOH),son,la,base,de,los,carboxilatos, CARGA Elemento,inerte,barato,adicionado,al,plástico,para,hacerlo,menos,costoso,mejorando,las,propiedades,mecánicas,en,particular,dureza,y,resistencia,al,impacto,Generalmente,las,partículas,de,cargas,son,pequeñas,a,diferencia,de,los,refuerzos, CATALIZADOR Cualquier,sustancia,que,en,pequeñas,cantidades,aumenta,la,velocidad,de,una,reacción,sin,intervenir,directamente,en,la,misma,por,lo,que,no,se,consume,Un,catalizador,puede,ser,sólido,líquido,o,gaseoso,su,tiempo,de,vida,media,varía,entre,1,000,o,10,000,horas,después,de,las,cuales,debe,ser,reemplazado,o,regenerado, CENTIPOISE Submúltiplo,del,poise,unidad,de,viscosidad,que,equivale,a,una,dina,por,segundo,por,centímetro,cuadrado, CETONAS Familia,de,compuestos,orgánicos,que,tienen,un,grupo,carbonilo,(C=O),entre,dos,átomos,de,carbono,las,cetonas,son,usadas,como,solventes,en,lacas,pintura,y,manufactura,textil, CIANHIDRICO,ACIDO Posee,la,estructura,HCN,originalmente,es,un,gas,que,se,disuelve,en,agua,para,ser,comercializado,La,solución,resultante,puede,llegar,hasta,el,97%,de,pureza,Es,un,ácido,corrosivo,y,tóxico,por,esta,razón,debe,manejarse,con,precaución,se,emplea,en,la,fabricación,de,acrilatos, CIANOACRILATO Base,de,adhesivos,acrílicos,se,vende,con,inhibidores,porque,polimeriza,al,contacto,con,el,aire,el,más, CIANURICO,ACIDO También,llamado,"ácido,triciánico",se,presenta,en,forma,de,cristales,blancos,carentes,de,aroma,muy,tóxico,por,ingestión,e,inhalación,Se,utiliza,en,síntesis,orgánicas, CICLOHEXANO Líquido,incoloro,de,olor,característico,formado,por,seis,átomos,de,carbono,unidos,a,12,de,hidrógeno,Es,ligeramente,tóxico,por,inhalación,y,contacto,con,la,piel,se,disuelve,en,acetona,alcohol,o,benceno, CICLOHEXANOL Líquido,incoloro,oleoso,miscible,con,muchos,solventes,orgánicos,y,aceites,es,combustible,e,incendia,a,300°C,Es,la,fuente,del,ácido,adípico,para,las,poliamidas CICLOHEXANONA Líquido,de,color,blanco,a,amarillento,combustible,soluble,al,agua,Incendia,a,420°C,es,tóxico,por,inhalación,y,se,emplea,en,la,producción,de,varios,materiales,sintéticos,entre,ellos,el,PVC,y,sus,copolímeros, CICLOOCTADIENO Existen,dos,compuestos,con,este,nombre,el,primero,de,ellos,es,1,3,ciclooctadieno,es,un,intermedio,en,la,producción,de,otros,compuestos,El,segundo,es,1,5,ciclooctadieno,líquido,obtenido,al,producir,resinas,que,destila,a,151°C, CICLOOLEFINA Hidrocarburo,alicíclico,con,dos,o,más,enlaces,dobles,como,el,ciclopentadieno,o,el,ciclooctadieno, CIZALLAMIENTO Cortadura,esfuerzo,cortante, CLOROBENCENO También,llamado,cloruro,de,fenilo,es,un,líquido,que,se,evapora,en,el,aire,tiene,su,origen,en,la,reacción,entre,el,benceno,y,una,corriente,seca,de,gas,cloro,Básicamente,se,emplea,como,disolvente, CLOROFILA Substancia,presente,en,la,mayoría,de,los,vegetales,es,responsable,de,la,coloración,verde,de,los,mismos,No,es,tóxica,forma,una,cera,de,tonos,verdes,según,el,tipo,de,clorofila,que,se,trate,se,conocen,tres,variedades, CLOROPRENO Se,presenta,como,un,líquido,incoloro,que,hierve,a,59°C,es,soluble,en,alcohol,y,ligeramente,soluble,al,agua,,Su,aplicación,principal,radica,en,la,elaboración,de,neopreno, CLORURO,DE,METILENO Líquido,volátil,de,olor,penetrante,semejante,al,éter,no,es,flamable,pero,es,narcótico,y,carcinógeno,,también,conocido,como,dicloro,metano,Es,útil,como,desengrasante,agente,de,soplado,y,removedor,de,pinturas, CLORURO,DE,VINILO Gas,de,olor,etéreo,monómero,del,PVC,Puede,explotar,al,contacto,con,el,aire,por,eso,se,maneja,en,forma,líquida,en,las,plantas,de,polimerización,mediante,sistemas,a,presión, COEXTRUSION Técnica,en,extrusión,que,permite,unir,dos,o,más,capas,de,plástico,recién,salidas,del,extrusor,cuando,aún,no,son,totalmente,sólidas,en,ocasiones,se,utiliza,una,capa,intermedia,de,material,como,adhesivo, COLADA En,un,molde,de,inyección,ó,transferencia,el,canal,usualmente,circular,que,conecta,la,esprea,con,la,compuerta,de,la,cavidad,del,molde, COLAPSAMIENTO Contracción,de,un,mecanismo,por,reducción,de,fuerza, COMMODITE Voz,inglesa,Nombre,que,reciben,los,materiales,de,alto,consumo, COMONOMERO Monómero,alterno,que,se,adiciona,al,reactor,de,polimerización,con,objeto,de,modificar,las,características,del,producto,obtenido COMPATIBILIZAR Facilitar,la,unión,de,dos,o,más,polímeros,que,inicialmente,son,dificiles,de,incorporar,debido,a,su,naturaleza,,Generalmente,la,compatibilización,requiere,de,una,sustancia,que,trabaje,como,intermedio,entre,los,materiales,a,unir, COMPOSITE Recibe,este,nombre,todo,el,plástico,que,está,reforzado,con,fibra,de,vidrio,o,de,carbono, COMPOSTA Mezcla,de,basura,orgánica,que,se,deja,fermentar, CONTRAFLUJO En,inyección,se,denomina,así,al,flujo,de,material,plástico,que,intenta,regresar,al,cañón,de,la,máquina, COPOLIMERO Si,en,la,reacción,de,obtención,de,un,polímero,intervienen,dos,monómeros,se,obtiene,un,copolímero,Los,hules,termoplásticos,son,ejemplos,de,copolímeros,como,el,EPDM,copolímero,de,etileno,propileno, COPOLIMERO,RANDOM Copolímero,etileno,propileno,El,término,random,se,debe,a,que,el,etileno,se,inserta,al,azar,en,la,cadena,del,polipropileno CRAQUEO Efecto,que,se,presenta,cuando,una,molécula,de,polímero,se,rompe, CRESOL Líquido,amarillento,o,rosáceo,con,olor,fenólico,que,hierve,entre,191,y,203°C,Es,irritante,ataca,la,piel,que,puede,absorberlo,cuando,está,en,el,aire,se,emplea,como,desinfectante,intermedio,en,diversas,reacciones,,manufactura,de,resinas,sintéticas,y,herbicidas, CRIOGENIA Rama,de,la,ciencia,que,estudia,la,materia,por,debajo,de,los,200°C,como,el,oxígeno,líquido, , CRISOLITA , Silicato,de,hierro,y,magnesio,que,se,encuentra,en,forma,mineral,en,algunas,rocas,meteoritos,y,escoria,de,altos,hornos,Su,importancia,radica,en,la,manufactura,de,cementos,y,refractarios, , CRISTALINIDAD Arreglo,estructural,donde,las,cadenas,de,un,polímero,se,acercan,unas,a,otras,formando,"zonas,cristalinas",que,impiden,el,paso,de,la,luz, CROMATOGRAFIA Procedimiento,de,laboratorio,empleado,en,la,sepaaración,e,identificación,de,sustancias,presentes,en,una,muestra,que,se,somete,al,análisis,Existen,varios,métodos,cromatográficos,sobre,papel,en,fase,gaseosa,o,líquida, CROMOFOROS Grupo,funcional,que,imparte,color,en,algún,compuesto,aromático,en,ocasiones,los,colorantes,se,clasifican,de,acuerdo,al,cromóforo, CUMENO Soluble,en,alcohol,éter,y,benceno,Insoluble,en,agua,es,combustible,por,lo,que,presenta,riesgo,de,incendio,Se,emplea,en,la,producción,de,acetona,fenol,a,metil,estireno,y,como,solvente, CURADO Cambio,de,fase,en,un,material,que,pasa,de,líquido,a,sólido,por,efecto,de,una,reacción,de,polimerización,o,entrecruzamiento, CHILLER ,Equipo,de,enfriamiento,que,mantiene,los,fluidos,de,refrigeración,a,determinada,temperatura,Su,funcionamiento,se,basa,en,un,depósito,y,una,bomba, DECAPADO Procedimiento,para,eliminar,la,capa,superficial,de,alguna,superficie,gracias,a,la,acción,de,ácidos,minerales,como,el,sulfúrico,o,fosfórico,La,concentración,y,la,temperatura,del,ácido,determinan,la,profundidad,del,decapado, DEGRADACION Deterioro,en,las,propiedades,del,polímero,pérdida,de,transparencia,amarillamiento,alteración,del,peso,molecular,por,la,acción,de,solventes,decremento,de,las,propiedades,mecánicas,por,fatiga,oxidación,por,calor,excesivo,y,degradación,biológica, DEHUMIDIFICACION Retirar,el,vapor,de,agua,(humedad),presente,en,el,aire, , DEPOLIMERIZACION Degradación,de,un,material,plástico,o,polimérico,en,el,que,las,cadenas,moleculares,rompen,sus,enlaces, DESHIDROGENACION Proceso,donde,químicamente,se,retira,hidrógeno,de,un,compuesto, DESMOLDANTE Película,de,alguna,substancia,que,facilita,la,extracción,de,la,pieza,Usualmente,se,esprea,desmoldante,de,silicón,sobre,la,cavidad,del,molde, DESMOLDEO Etapa,de,un,proceso,como,inyección,o,termoformado,donde,la,pieza,se,retira,del,molde,después,de,tomar,la,forma,deseada, DESORCION Operación,contraria,a,la,adsorción,que,elimina,los,átomos,de,una,substancia,enlazados,a,otra,Puede,efectuarse,elevando,la,temperatura,bajando,la,presión,o,por,la,presencia,de,una,sustancia,adsorbida,con,mayor,intensidad, DEVOLATILIZACION Eliminación,de,materiales,volátiles,en,algún,proceso,generalmente,extrusión,donde,se,permite,que,los,oligómeros,y,otros,gases,sean,eliminados,mediante,adaptaciones,en,los,equipos, DIAMINA Compuesto,químico,que,tiene,dos,radicales,amino,en,su,estructura,molecular, DIATOMACEA Material,con,88%,de,sílice,obtenido,de,fósiles,de,algas,Soluble,en,ácido,clorhídrico,y,álcalis,fuertes,como,la,sosa,Tiene,propiedades,clarificantes,decolorantes,y,filtrantes,además,de,ser,un,agente,espesante,para,plásticos,y,caucho, DIAZOMETANO También,llamado,“Azilmetileno”,es,un,gas,amarillo,que,puede,explotar,al,agitarse,o,al,contactar,metales,alcalinos,presenta,una,toxicidad,elevada,Su,estructura,es,CH2=N=N DIAZOTACION Reacción,química,entre,una,amina,aromática,con,ácido,nitroso,para,obtener,un,compuesto,diazóico, DIBUTILFTALATO Líquido,oleoso,incoloro,sin,olor,insoluble,en,agua,Se,obtiene,al,hacer,reaccionar,alcohol,butílico,con,anhídrido,ftálico,Flamable,incendia,a,398°C,empleado,en,la,fabricación,de,adhesivos,tintas,también,como,plastificante,y,agente,lubricante DICARBOXILICO Denominación,para,algún,compuesto,orgánico,que,tiene,dos,radicales,COOH,en,su,estructura,éste,término,se,emplea,comúnmente,para,los,ácidos,orgánicos,como,el,ortoftálico, DICER Voz,inglesa,que,designa,una,herramienta,de,corte,empleada,en,la,producción,de,pellets, DICICLOPENTADIENO Sustancia,empleada,en,pinturas,resinas,barnices,y,compuestos,del,ferroceno,soluble,en,alcohol,Es,inflamable,con,riesgo,de,incendio, DICLOROETILENO Líquido,incoloro,que,se,descompone,lentamente,al,entrar,en,contacto,con,el,aire,la,luz,y,la,humedad,Es,flamable,tóxico,e,irritante,generalmente,se,emplea,como,solvente,en,la,extracción,de,tintes,polimerizaciones,u,otras,reacciones,químicas, DICLORURO,DE,ETILO Es,un,líquido,incoloro,también,conocido,como,dicloroetano,de,aroma,semejante,al,cloroformo,No,es,corrosivo,y,puede,mezclarse,con,diversos,solventes,orgánicos,ligeramente,soluble,en,agua,es,usado,en,la,producción,de,cloruro,de,vinilo,pinturas,barnices,y,desengrasante,de,metales,entre,otros,usos, DIE,LAND Labios,de,la,boquilla,en,una,máquina,de,inyección, DIENO Compuesto,que,tiene,dos,dobles,enlaces,el,más,conocido,es,el,butadieno, DIHIDROXIBENCENO Compuesto,que,presenta,un,anillo,bencénico,con,dos,radicales,hidroxilo,se,forman,tres,isómeros,que,tienen,diferentes,usos,Entre,ellos,destaca,el,resorcinol,y,la,hidroquinona, DIISOCIANATO Nombre,genérico,de,los,compuestos,que,tienen,dos,grupos,isocianato,(,NCO),en,su,estructura,se,generan,a,partir,de,diaminas,Principalmente,se,usan,para,producir,espumas,de,poliuretano,y,elastómeros, DILATANTE Material,que,disminuye,su,fluidez,al,agitarse,incrementando,su,viscosidad,Este,comportamiento,es,contrario,al,concepto,de,pseudoplástico, DILUCION Disminuir,la,concentración,de,un,compuesto,en,otro,agregando,más,solvente, DIMERO Molécula,donde,la,unidad,estructural,llamada,monómero,se,repite,dos,veces,Puede,considerarse,un,oligómero, DIMETIL,FORMAMIDA Solvente,miscible,con,agua,y,otros,diluyentes,orgánicos,se,conoce,con,las,siglas,DMF,es,un,fuerte,irritante,a,la,piel, DISULFURO,DE,MOLIBDENO Polvo,negro,cristalino,su,estructura,lleva,un,átomo,de,molibdeno,por,dos,de,azufre,(MoS2),soluble,en,ácidos,fuertes,como,el,agua,regia,y,el,ácido,sulfúrico,se,usa,en,lubricantes,y,dispersiones,grasas, DUREZA La,resistencia,de,un,material,plástico,a,la,compresión,y,al,mellado,Los,métodos,de,prueba,más,importantes,para,ésta,propiedad,son:,Brinell,Rockwell,y,Shore, DUREZA,BRINELL Prueba,de,dureza,en,la,que,una,esfera,se,presiona,contra,una,superficie,bajo,condiciones,conocidas,para,medir,el,diámetro,de,la,impresión, DUREZA,ROCKWELL Un,método,común,de,prueba,de,materiales,plásticos,para,resistencia,al,mellado,en,el,cual,un,diamante,o,bola,de,acero,bajo,presión,es,usada,para,penetrar,el,espécimen,de,prueba,La,carga,usada,es,expresada,en,kilogramos,y,el,peso,de,10,Kg, EFLUORESCENCIA , , (Chalking),Residuo,de,polvo,que,aparece,en,la,superficie,de,un,material,generalmente,a,consecuencia,de,la,degradación , ELASTOMERICO , Parecido,a,un,elastómero,que,recobra,su,forma,después,de,estirarse, , ELASTOMERO , Son,materiales,capaces,de,recuperar,su,forma,después,de,someterse,a,un,esfuerzo,o,tensión,generalmente,son,hules, , ELECTROLISIS , Fragmentar,una,substancia,en,iones,a,través,de,una,corriente,eléctrica,Los,iones,producidos,se,depositan,en,los,electrodos,utilizados, , ELONGACION , Incremento,en,la,longitud,de,una,muestra,debido,a,una,tensión,que,se,aplica,sobre,ella,Generalmente,se,expresa,como,un,porcentaje,de,la,longitud,original, , EMPAQUETAMIENTO , Llenar,la,cavidad,del,molde,con,plástico,fundido, , EMULSIFICANTE , Agente,que,genera,una,emulsión,mezcla,entre,substancias,que,no,se,incorporan,sin,éste,elemento,La,característica,de,una,emulsión,es,la,formación,de,microesferas,Sinónimo,emulgente, , ENDOTERMICO , El,término,se,aplica,a,las,reacciones,o,procesos,que,absorben,calor,del,ambiente,que,los,rodea,(2),Que,absorbe,calor,del,medio,que,lo,rodea,cuando,en,el,reactor,se,está,efectuando,una,reacción,endotérmica,,éste,se,enfría, , ENTALPIA , Cantidad,de,calor,que,se,calcula,al,sumar,la,energía,interna,y,el,producto,de,la,presión,por,el,volúmen,de,un,sistema,donde,se,ha,efectuado,un,calentamiento,es,decir:,H=U,+,PV,donde,H,es,la,entalpía, , ENTRECRUZAMIENTO , Es,una,característica,de,las,estructuras,químicas,de,los,plásticos,reconocida,por,la,formación,de,enlaces,entre,las,cadenas,moleculares,La,estructura,entrecruzada,impide,al,plástico,fundir,particularidad,de,los,termofijos, , ENTROPIA , Cantidad,de,energía,no,disponible,en,un,sistema,es,una,medida,del,desorden,existente,entre,las,moléculas,de,una,substancia, , EPDM , Abreviatura,inglesa,de,los,elastómeros,obtenidos,del,etil,propildieno,(Ethylene,Propylene,Diene,Monomer) , EPOXICO , Basado,en,óxido,de,etileno,las,resinas,epóxicas,son,derivados,de,la,condensación,del,bistenol,A,y,la,epiclorhidrina, , EPR , Siglas,del,hule,etileno,propileno,(Ethylene,Propylene,Rubber) , ERUCAMIDA , Sólido,combustible,que,funde,entre,75,y,80°C,se,disuelve,en,alcohol,isopropílico,y,se,emplea,para,disolver,resinas,y,ceras,Es,un,agente,antibloqueo,para,las,películas,de,Polietileno, , ESCR , Siglas,en,inglés,para,Enviromental,Stress,Cracking,Resitance,es,la,resistencia,a,las,fisuras,causadas,por,un,medio,químico,sobre,un,cuerpo,bajo,tensión, , ESFERULITAS , Están,presentes,en,la,mayoría,de,los,plásticos,cristalinos,y,son,aglomeraciones,esféricas,de,cristales,su,diámetro,varía,desde,algunas,decenas,de,micrómetro,hasta,varios,milímetros, , ESPECTRO , Gráfica,obtenida,mediante,instrumentos,de,análisis,se,genera,por,la,vibración,de,los,radicales,de,una,substancia,la,imagen,producida,permite,identificar,o,diferenciar,componentes, , ESPINERETA , Tipo,de,dado,de,extrusión,consiste,en,un,plato,metálico,con,múltiples,orificios,por,donde,pasa,el,material,plástico,Con,éste,dado,se,producen,filamentos, , ESTEARATO , Sal,derivada,del,ácido,esteárico,generalmente,metálica,usada,como,lubricante, , ESTEARICO,ACIDO , También,llamado,ácido,n,octadecanóico,no,tiene,olor,ceroso,al,tacto,soluble,en,alcohol,éter,cloroformo,,insoluble,en,agua,Combustible,no,tóxico, , ESTER , Nombre,que,reciben,los,compuestos,con,un,grupo,funcional,(,COO,),Se,obtienen,a,partir,de,un,ácido,carboxílico,y,un,alcohol,siendo,el,metanol,el,mas,usado,por,producir,ésteres,de,metilo,que,son,destilados,fácilmente, , ESTEREOESPECIFICO ,Característica,de,un,polímero,que,se,da,cuando,diversos,grupos,de,átomos,tienen,un,orden,fijo,y,definido,en,el,espacio,con,respecto,a,otros,Un,catalizador,estereoespecífico,es,aquél,que,favorece,la,formación,de,estos,materiales, , ESTEREOLITOGRAFIA , Proceso,para,crear,piezas,plásticas,tridimensionales,a,partir,de,los,datos,provenientes,del,diseño,asistido,por,computadora,y,un,láser,que,reacciona,químicamente,sobre,un,polímero,sensible,a,él,Esta,tecnología,permite,obtener,prototipos,con,mayor,rapidez,que,los,procedimientos,artesanales, , ESTEREOQUIMICA , Rama,de,la,química,que,estudia,el,arreglo,de,las,moléculas,en,el,espacio,tridimensional, , ESTERES,MONTANICOS , Compuestos,oxigenados,derivados,de,la,cera,montana,de,origen,mineral,con,diversos,usos:,pastas,adhesivas,cera,para,muebles,y,calzado, , ESTERICO , Efecto,que,confiere,un,arreglo,a,las,moléculas,en,el,espacio,o,impide,la,reacción,con,otra,molécula, , ETILENO , Gas,explosivo,que,al,polimerizar,produce,polietileno,bajo,condiciones,de,presión,y,temperatura, , EXOTERMICO , Que,desprende,calor,Es,un,comportamiento,característico,de,ciertas,reacciones,químicas,que,al,mezclarse,para,formar,un,compuesto,nuevo,calientan,el,recipiente,donde,se,efectúa,la,reacción, , EXTINGUIDOR , Equipo,utilizado,para,detener,un,incendio, , EXTINTOR , Sustancia,contenida,en,un,extinguidor,para,sofocar,el,fuego, , EXTRUSION , Método,de,transformación,donde,un,plástico,es,forzado,a,pasar,a,través,de,una,abertura,con,forma,definida,previa,fusión,del,mismo, , EXTRUSOR,RAM , Tipo,de,extrusión,en,el,que,se,empleaba,un,pistón,reciprocante,para,materiales,con,muy,bajo,índice,de,fluidez,actualmente,en,desuso, , EYECTOR , Cualquier,pieza,o,elemento,que,facilite,la,expulsión,de,algo,En,inyección,existen,pernos,que,empujan,al,producto,fuera,del,molde,son,llamados,botadores, , F , FADOMETRO , Equipo,donde,se,efectúan,pruebas,de,envejecimiento,acelerado,empleando,luz,ultravioleta,y,agua,Se,conoce,también,como,"weatherometer", FENOL Cristales,blancos,que,cambian,a,color,rojo,o,rosa,bajo,la,influencia,de,la,luz,o,impurezas,Se,torna,líquido,cuando,absorbe,agua,del,aire,ambiente,es,tóxico,por,ingestión,e,irritante,a,la,piel,funciona,como,biocida,,desinfectante,y,en,la,fabricación,de,materias,primas,para,diversas,resinas,plásticas, , , FERROCENO , Complejo,de,hierro,y,dos,moléculas,de,ciclopentadieno,sólido,anaranjado,tóxico,al,calentarse,insoluble,al,agua,Se,utiliza,como,recubrimiento,en,satélites,y,cohetes,aditivo,en,aceites,de,combustión,para,minimizar,el,humo,generado, , FIBRA,DE,ARAMIDA , Tejido,de,Poliamida,que,se,distingue,por,soportar,altas,temperaturas,algunas,de,estas,fibras,soportan,impactos,balísticos, , FLASH , Voz,inglesa,usada,para,referirse,a,las,rebabas, , FLUJO,NEWTONIANO , Corresponde,a,un,líquido,que,no,cambia,su,viscosidad,cuando,es,agitado,por,ejemplo,el,agua,responde,uniformemente,a,la,fuerza,aplicada,sin,cambiar,su,viscosidad, , FLUJO,NO,NEWTONIANO , Fluido,que,altera,su,viscosidad,al,agitarse,ya,sea,para,aumentar,o,disminuir,según,la,naturaleza,del,líquido,,Los,plásticos,son,fluidos,no,newtonianos,porque,su,viscosidad,baja,al,agitarse,en,estado,fundido, , FLUOROCARBONO , Nombre,genérico,que,designa,a,los,hidrocarburos,que,tienen,átomos,de,flúor,en,vez,de,hidrógeno,Aunque,no,son,flamables,reaccionan,violentamente,con,bario,sodio,y,potasio,su,uso,radica,en,los,solventes,,refrigerantes,y,extinguidores,También,se,emplean,como,agentes,de,soplado, , FLUOROELASTOMERO , Polímeros,de,naturaleza,elastomérica,que,contienen,flúor,pueden,ser,homopolímeros,o,copolímeros,Son,amorfos,estables,al,calor,resisten,el,ataque,de,solventes,y,substancias,químicas, , FORMALDEHIDO , Gas,conocido,como,metanal,es,el,primero,del,grupo,de,los,aldehídos,se,presenta,comercialmente,en,solución,de,agua,y,alcohol,Encuentra,aplicaciones,en,las,resinas,uréicas,melamínicas,fenólicas,y,acetálicas, , FORMAMIDA , Líquido,oleoso,higroscópico,por,lo,que,se,disuelve,en,agua,o,alcohol,Además,de,emplearse,como,absorbedor,de,luz,ultravioleta,sirve,como,solvente,e,intermediario,en,síntesis,orgánicas, , FORMICO,ACIDO , También,llamado,ácido,metanóico,es,el,primero,de,la,serie,de,ácidos,orgánicos,es,un,líquido,incoloro,de,olor,penetrante,que,ataca,la,piel,Se,emplea,en,el,teñido,textil,fabricación,de,insecticidas,además,de,plastificante,de,materiales,vinílicos, , FOSFATO,DE,TRICRESILO , Líquido,estable,incoloro,hierve,a,420°C,y,cristaliza,a,35°C,también,es,combustible,e,incendia,a,410°C,Sirve,como,plastificante,y,retardante,a,la,flama,es,tóxico,por,ingestión,o,absorción,cutánea, FOSGENO Puede,presentarse,como,líquido,o,gas,de,incoloro,a,ligeramente,amarillo,es,muy,tóxico,por,inhalación,e,irritante,a,los,ojos,Sus,aplicaciones,principales,son,las,reacciones,químicas,y,la,síntesis,de,resinas,poliuretano,policarbonato,e,isocianato, , , FOTOPOLIMERO , Material,polimérico,sensible,a,la,luz,de,manera,que,reacciona,al,ser,expuesto,a,ella,Se,emplean,en,placas,litográficas,y,de,imprenta, , FOTOQUIMICA , Rama,de,la,química,que,estudia,las,reacciones,que,tienen,lugar,bajo,el,efecto,de,la,luz,además,de,la,influencia,de,ésta,en,el,comportamiento,de,diversas,sustancias, , FOTOSENSIBLE , Que,reacciona,o,cambia,por,efecto,de,la,luz,formando,nuevas,substancias,o,modificando,su,estado,de,sólido,a,líquido, , FRACTURA,DEL,MELT , Inestabilidad,en,el,flujo,que,se,manifiesta,con,la,formación,de,estrías,superficiales,en,el,extruído, , FREON , Nombre,comercial,de,varios,productos,refrigerantes,fluorocarbonados,su,uso,ha,disminuido,por,dañar,la,capa,de,ozono,Se,emplean,como,aerosoles,equipo,contra,incendios,y,agentes,de,soplado, , FTALICO,ACIDO , Es,un,ácido,orgánico,que,tiene,dos,radicales,carboxilo,unidos,a,un,anillo,bencénico,forma,cristales,blancos,que,disuelven,en,alcohol,empleados,en,reacciones,de,laboratorio,y,farmacéutica, , FTALOCIANINA , Pigmento,verde,o,azul,la,molécula,es,muy,simétrica,y,lleva,un,átomo,de,cobre,en,el,centro, , FTALOFCIANINAS , Nombre,genérico,de,los,compuestos,que,pigmentan,materiales,de,color,verde,o,azul, , FUMARATO , Sal,derivada,del,ácido,fumárico,véase, , FURANO ,También,conocido,como,tetrol,o,furfurano,es,un,líquido,soluble,en,éter,o,alcohol,su,color,puede,cambiar,de,transparente,a,pardo,al,paso,del,tiempo,Es,tóxico,inflamable,y,forma,peróxidos,con,el,aire,del,ambiente,se,emplea,en,síntesis,orgánicas, G GASKETS Perfil,plástico,que,puede,o,no,reforzarse,sirve,como,sello,para,fuga,de,fluidos,líquidos,o,gases, GAYLORD Voz,inglesa,empleada,para,designar,un,recipiente,donde,se,contiene,plástico,usualmente,con,un,volúmen,aproximado,de,un,metro,cúbico,El,contenedor,consta,de,una,bolsa,donde,el,material,reside,y,una,caja,que,a,su,vez,soporta,la,bolsa, , , GEL,COAT , Voz,inglesa,que,implica,una,preparación,de,resina,poliéster,insaturada,que,se,aplica,sobre,el,molde,,endurece,y,se,adiciona,el,material,reforzado,para,conformar,una,pieza,La,capa,de,gel,coat,formará,parte,del,producto,final,por,esta,razón,suele,ir,pigmentado, , GELAR , Estado,intermedio,de,la,fase,líquida,a,sólida,que,se,presenta,en,diversos,materiales,plásticos,cuando,están,polimerizando,o,entrecruzando,sus,cadenas,moleculares, , GEOMEMBRANA , Recubrimiento,empleado,en,los,rellenos,sanitarios,para,evitar,la,permeación,de,los,contaminantes,al,suelo,,formando,una,barrera,protectora, , GLICERINA , Alcohol,formado,por,tres,grupos,OH,sinónimo,de,propanotriol,es,un,subproducto,de,la,preparación,de,jabones,y,tiene,múltiples,aplicaciones, , GLICEROL , Subproducto,de,la,formación,del,jabón,también,llamado,“propanotriol”,líquido,claro,soluble,en,agua,y,alcohol,Sirve,para,fabricar,resinas,alquidálicas,gomas,humectantes,y,explosivos, , GLICOL , Compuesto,orgánico,semejante,a,un,alcohol,se,diferencía,de,éste,por,tener,dos,grupos,hidroxilo,en,vez,de,uno, , GLICOLISIS , Romper,una,molécula,mediante,la,acción,de,un,glicol, , GLICOLISIS , Degradación,mediante,azucares,que,no,requiere,de,aire,para,efectuarse, , GRANULOMETRIA ,Medición,del,tamaño,de,un,gránulo,o,partícula, H , HALOGENACION , Reacción,química,mediante,la,cual,se,adiciona,un,átomo,de,halógeno,a,un,compuesto,generalmente,orgánico,siendo,dichos,átomos,de,cloro,bromo,yodo,y,flúor,Cualquiera,de,los,elementos,químicos,del,grupo,VII,A,de,la,tabla,periódica:,Cloro,bromo,yodo,flúor,y,astato,La,halogenación,implica,incorporar,alguno,de,ellos,en,otra,substancia, , , HDT , Siglas,empleadas,para,designar,la,temperatura,de,deflexión,bajo,carga, , HETEROCICLICO , Característica,de,varias,substancias,que,tienen,un,anillo,usualmente,con,uno,o,más,atomos,distintos,al,carbono, , HIDRACINA , Líquido,transparente,que,desprende,vapores,arde,a,52Oc,Obtenido,mediante,la,reacción,de,sosa,cloro,y,amoniaco,Interviene,en,la,fabricación,de,drogas,contra,la,hipertensión,como,catalizador,y,agente,de,soplado,Peligro,de,incendio,al,calentarse,Muy,tóxico,por,inhalación,e,irritante,a,la,piel, , HIDROCARBURO , Substancia,química,compuesta,sólo,de,átomos,de,hidrógeno,y,carbono,de,ahí,su,nombre,Se,considera,al,petróleo,como,la,mayor,fuente,actual,de,estos,compuestos, , HIDROCARBURO,SATURADO , Se,llama,así,al,compuesto,que,sólo,tiene,enlaces,simples,en,su,conformación, , HIDROCARBUROS,ALIFATICOS , Son,substancias,saturadas,porque,no,tienen,dobles,enlaces,ni,anillos,bencénicos,La,gasolina,y,el,propano,son,buenos,ejemplos,de,estos,materiales, , HIDROCARBUROS,AROMATICOS , Denominación,común,que,reciben,las,cadenas,hidrocarbonadas,que,presentan,uno,o,más,anillos,bencénicos,en,su,estructura,Un,compuesto,de,6,átomos,de,carbono,con,6,de,hidrógeno, , HIDROCLORICO,ACIDO , El,término,es,un,sinónimo,para,el,ácido,clorhídrico,formado,por,un,átomo,de,hidrógeno,y,otro,de,cloro,,este,producto,es,un,gas,que,se,disuelve,en,agua,para,manejarlo,con,mayor,facilidad,Cuando,se,encuentra,en,fase,gaseosa,se,denomina,cloruro,de,hidrógeno,Comercialmente,es,un,líquido,transparente,o,ligeramente,amarillo, , HIDROFILICO , Que,tiene,afinidad,al,agua, , HIDROFOBICO , Compuesto,o,substancia,repelente,al,agua,incompatible,con,ésta,característica,de,las,aceites,grasas,,resinas,y,algunos,polvos,Contrario,a,hidrofílico, , HIDROFOBO , Que,repele,el,agua,o,la,evita, , HIDROQUINONA , Cristales,blancos,solubles,en,alcohol,agua,y,éter,funden,a,170°C,y,son,combustibles,Se,usan,como,revelador,fotográfico,inhibidor,de,algunas,polimerizaciones,estabilizante,de,pinturas,y,barnices, HALOGENO , Cualquiera,de,los,elementos,químicos,del,grupo,VII,A,de,la,tabla,periódica:,Cloro,bromo,yodo,flúor,y,astato,La,halogenación,implica,incorporar,alguno,de,ellos,en,otra,substancia, , HDT , Siglas,empleadas,para,designar,la,temperatura,de,deflexión,bajo,carga, , HETEROCICLICO , Característica,de,varias,substancias,que,tienen,un,anillo,usualmente,con,uno,o,más,atomos,distintos,al,carbono, , HIDRACINA , Líquido,transparente,que,desprende,vapores,arde,a,52Oc,Obtenido,mediante,la,reacción,de,sosa,cloro,y,amoniaco,Interviene,en,la,fabricación,de,drogas,contra,la,hipertensión,como,catalizador,y,agente,de,soplado,Peligro,de,incendio,al,calentarse,Muy,tóxico,por,inhalación,e,irritante,a,la,piel, , HIDROCARBURO , Substancia,química,compuesta,sólo,de,átomos,de,hidrógeno,y,carbono,de,ahí,su,nombre,Se,considera,al,petróleo,como,la,mayor,fuente,actual,de,estos,compuestos, , HIDROCARBURO,SATURADO , Se,llama,así,al,compuesto,que,sólo,tiene,enlaces,simples,en,su,conformación, , HIDROCARBUROS,ALIFATICOS , Son,substancias,saturadas,porque,no,tienen,dobles,enlaces,ni,anillos,bencénicos,La,gasolina,y,el,propano,son,buenos,ejemplos,de,estos,materiales, , HIDROCARBUROS,AROMATICOS , Denominación,común,que,reciben,las,cadenas,hidrocarbonadas,que,presentan,uno,o,más,anillos,bencénicos,en,su,estructura,Un,compuesto,de,6,átomos,de,carbono,con,6,de,hidrógeno, , HIDROCLORICO,ACIDO , El,término,es,un,sinónimo,para,el,ácido,clorhídrico,formado,por,un,átomo,de,hidrógeno,y,otro,de,cloro,,este,producto,es,un,gas,que,se,disuelve,en,agua,para,manejarlo,con,mayor,facilidad,Cuando,se,encuentra,en,fase,gaseosa,se,denomina,cloruro,de,hidrógeno,Comercialmente,es,un,líquido,transparente,o,ligeramente,amarillo, , HIDROFILICO , Que,tiene,afinidad,al,agua, , HIDROFOBICO , Compuesto,o,substancia,repelente,al,agua,incompatible,con,ésta,característica,de,las,aceites,grasas,,resinas,y,algunos,polvos,Contrario,a,hidrofílico, , HIDROFOBO , Que,repele,el,agua,o,la,evita, , HIDROQUINONA , Cristales,blancos,solubles,en,alcohol,agua,y,éter,funden,a,170°C,y,son,combustibles,Se,usan,como,revelador,fotográfico,inhibidor,de,algunas,polimerizaciones,estabilizante,de,pinturas,y,barnices, , HIDROSULFURO,DE,SODIO , También,llamado,bisulfuro,de,sodio,es,un,compuesto,soluble,en,agua,éter,y,alcohol,Se,presenta,bajo,la,forma,de,agujas,con,color,variable,transparentes,verdes,o,amarillas,formando,vapores,tóxicos,al,contacto,con,ácidos,Los,cristales,funden,a,55°C,encontrando,uso,en,la,fabricación,de,papel,además,de,textiles, , 2,HIDROXIBENZOFENONA , Sólido,que,hierve,a,41°C,y,hierve,a,210°C,insoluble,en,agua,es,un,absorbedor,de,luz,ultravioleta, , HIDROXILO , Radical,compuesto,por,un,átomo,de,oxígeno,y,otro,de,hidrógeno,es,característico,de,los,alcoholes,,También,llamado,oxhidrilo, , HIGROSCOPICO , Material,que,absorbe,agua, , HIPOACUSIA , Término,empleado,para,describir,a,la,sordera,causada,por,las,actividades,laborales,de,una,persona, , HOMOPOLIMERO , Un,polímero,consistente,de,sólo,una,especie,monomérica, , HOT,MELT , Adhesivo,termoplástico,sólido,a,temperatura,ambiente,Cuando,se,calienta,funde,y,puede,ser,aplicado, , HOT,STAMPING , Técnica,de,decorado,que,se,basa,en,una,impresión,sobre,el,plástico,mediante,calor,y,presión,No,requiere,de,solventes,secado,o,tratamientos,preliminares,se,denomina,estampado,en,caliente, , HTV , Elastómeros,de,silicón,que,requieren,calor,para,vulcanizar, , HUSILLO , Elemento,metálico,de,geometría,helicoidal,que,plastifica,los,polímeros,girando,en,un,cilindro,hueco,llamado,barril,o,cañón,Los,diseños,empleados,en,los,husillos,varían,en,función,de,los,requerimientos,del,material,plástico,y,del,proceso,de,transformación, , HUSILLO,DEVOLATILIZADOR , Variante,del,husillo,convencional,de,proceso,basa,su,funcionamiento,en,una,sección,del,tornillo,que,presenta,un,diámetro,menor,De,esta,forma,no,hay,presión,sobre,el,plástico,fundido,y,se,permite,la,salida,de,materia,volátil,del,proceso, , HUSILLO,RECIPROCANTE , Un,sistema,de,extrusor,donde,el,husillo,es,empujado,hacia,delante,por,el,polímero,fundido,Cuando,se,ha,acumulado,suficiente,material,fundido,el,husillo,se,mueve,hacia,atrás, I IMPREGNANTE , , Agente,adhesivo,para,unir,películas,de,diferentes,materiales, , INHIBIDOR , Cualquier,substancia,que,impide,o,retarda,una,reacción,generalmente,usada,para,evitar,la,polimerización,prematura,de,alguna,resina,reactiva, , INICIADOR , Agente,que,promueve,la,polimerización,de,un,monómero,a,diferencia,de,un,catalizador,el,iniciador,se,consume,en,la,reacción,Los,peróxidos,y,otros,compuestos,similares,se,usan,a,menudo,para,formar,radicales,libres, , INOCUIDAD , Inocuo,producto,que,no,reacciona,o,hace,daño , INSATURACIONES , Un,polímero,puede,tener,dobles,enlaces,en,sus,cadenas,después,de,haber,polimerizado,a,esos,materiales,se,les,conoce,como,insaturados,y,las,insaturaciones,reaccionan,al,momento,de,transformar,al,plástico,,volviendose,enlaces,simples,Una,estructura,insaturada,genera,polímeros,termofijos, , INTEMPERISMO , Exposición,a,la,intemperie,o,sus,efectos,por,determinado,tiempo, , INYECCION , Técnica,de,moldeo,en,la,que,se,pueden,formar,piezas,plásticas,de,geometría,compleja,El,proceso,se,basa,en,un,husillo,que,inyecta,plástico,fundido,dentro,de,un,molde,donde,el,material,toma,la,forma,deseada, , ION , Se,denomina,así,al,átomo,o,grupo,de,átomos,que,se,carga,eléctricamente,al,perder,o,ganar,uno,o,más,electrones, , IONIZABLE , Significa,que,las,moléculas,se,pueden,separar,en,iones,Esto,sucede,en,algunas,sales,al,disolverlas,en,agua, , IONIZADOR , Instrumento,que,despide,partículas,con,carga,eléctrica,llamadas,iones,para,neutralizar,la,electricidad,estática, , IONOMERO , Resina,polimérica,en,la,que,los,enlaces,son,iónicos,(ver,ion),son,transparentes,y,elásticos,Ningún,solvente,común,puede,disolverlos,totalmente,resisten,la,ruptura,por,esto,se,emplean,en,películas,o,envases, , ISOBUTILENO , Llamado,también,isobuteno,proviene,de,la,destilación,de,gas,de,petróleo,razón,por,la,cual,es,muy,volátil,,Altamente,flamable,y,explosivo,al,aire,sirve,para,producir,gasolina,de,alto,octanaje,copolímeros,y,resinas,acrílicas , ISOCIANATO Denominación,empleada,sobre,los,compuestos,que,presenten,la,estructura,(,,N,=,C,=,O),y,por,consecuencia,también,para,las,resinas,obtenidas,al,reaccionar,con,alcoholes,(,,OH),Los,reactivos,se,unen,mediante,enlaces,tipo,uretano,(,,N,–,C,–,O,),y,de,ahí,que,a,ese,campo,de,la,tecnología,es,conocido,como,química,del,uretano, ISOCRONICO Proceso,donde,no,hay,variaciones,del,tiempo,es,decir,a,tiempo,constante, ISOTACTICO Denominación,que,reciben,los,plásticos,y,en,general,todos,los,polímeros,donde,los,grupos,de,átomos,que,no,forman,parte,de,la,cadena,principal,están,situados,por,encima,o,por,debajo,de,dicha,cadena, IZOD Valor,que,representa,la,resistencia,al,impacto,de,un,plástico,Es,una,prueba,que,se,efectúa,bajo,condiciones,controladas, J JETTING Voz,inglesa,defecto,superficial,en,las,piezas,inyectadas,característica,de,flujo,turbulento,en,el,plástico,fundido,Se,conoce,como,“cola,de,cometa” L LACTAMA Amina,cíclica,que,procede,de,la,deshidratación,de,aminoácidos, LAURATO Producto,derivado,del,ácido,láurico,presente,en,el,aceite,de,laurel,nuez,y,coco, LAURICO,ACIDO Acido,graso,presente,en,muchas,grasas,vegetales,especialmente,en,el,laurel,También,se,conoce,como,ácido,dodecanóico,por,tener,12,átomos,de,carbono,en,su,molécula,que,termina,con,el,radical,carboxilo, LIGANTE Ingrediente,de,un,esmalte,que,cubre,las,partículas,sólidas,y,las,une,al,sustrato,por,recubrir, LITHOLES Grupo,de,pigmentos,de,sodio,bario,y,calcio,baja,resistencia,a,la,intemperie, LSR Acrónimo,del,hule,de,silicón,en,fase,líquida,por,su,nombre,en,inglés,“Líquid,Silicone,Rubber”, M MALEATOS Sales,del,ácido,maléico,maleato,de,sodio,maleato,de,etilo, MALEICO,ACIDO Cristales,incoloros,de,aroma,débil,solubles,en,agua,alcohol,y,acetona,Sirve,como,conservador,para,aceites,o,grasas,y,teñido,de,algodón, MALLA Filtro,colocado,en,las,máquinas,de,extrusión,para,retener,las,impurezas,presentes,en,el,material,plastificado, MANDRIL Núcleo,usado,en,procesos,de,extrusión,para,formar,tubería,película,o,perfiles, MANIFOLD Anglicismo,correspondiente,a,distribuidor, MANITOL Alcohol,de,seis,radicales,(,OH),que,forma,cristales,blancos,que,sirve,como,base,para,tabletas,y,endulzante,dietético, MASTER,BATCH Compuesto,de,plástico,con,alta,concentración,de,uno,o,varios,aditivos,está,diseñado,para,usar,las,cantidades,apropiadas,del,aditivo,sobre,la,resina,base,los,master,batch,de,color,son,ampliamente,usados,para,varios,plásticos,como,método,para,obtener,tonos,uniformes,de,color, MAZAROTA Sinónimo,de,colada,Material,plástico,excedente,resultado,del,recorrido,del,mismo,por,las,ramificaciones,y,bebedero,del,molde, MEDIA Término,estadístico,que,significa,el,promedio,de,una,serie,de,datos,o,mediciones,Un,promedio,se,obtiene,al,sumar,las,mediciones,y,dividir,el,resultado,entre,la,cantidad,de,lecturas,tomadas, MELT Voz,inglesa,denominación,común,del,plástico,fundido, MELT,INDEX Vocablo,inglés,del,índice,de,fluidez,que,expresa,la,cantidad,de,un,material,que,fluye,cada,diez,minutos,a MEMORIA,TERMICA Alteración,de,la,estructura,molecular,de,un,plástico,por,efecto,de,la,temperatura,consecuencia,de,cualquier,proceso,de,transformación, MERCAPTAENOL Líquido,de,color,blanco,de,olor,desagradable,moderadamente,tóxico,por,ingestión,Empleado,en,disolventes,insecticidas,colorantes,plastificantes,y,reactivo,bioquímico, MERCAPTANOS Grupo,de,compuestos,que,contienen,azufre,en,su,estructura,flamables,y,tóxicos,por,inhalación,Se,aplican,como,aromatizantes,debido,a,su,aroma,particularmente,desagradable,para,detectar,fugas,del,gas,doméstico,que,carece,de,olor, MESH Número,de,aperturas,por,pulgada,cuadrada,de,una,malla,Es,el,cuadrado,del,número,de,hebras,de,metal,o,plástico,por,pulgada,lineal, MESOMORFICO Estado,intermedio,entre,cristalino,y,amorfo, METACRILICO,ACIDO Es,la,base,de,las,resinas,acrílicas,que,se,emplean,como,plásticos,pinturas,y,adhesivos,Es,un,líquido,incoloro,que,hierve,a,162°C,soluble,en,agua,alcohol,éter,y,solventes,orgánicos,Polimeriza,con,facilidad,es,combustible, METALOCENO Catalizador,organo,metálico,de,composición,definida,usado,en,la,polimerización,de,algunos,plásticos,para,cambiar,el,arreglo,de,las,macromoléculas,en,el,espacio, METIL,CELULOSA Polvo,grisáceo,derivado,de,la,celulosa,que,se,hace,reaccionar,con,cloruro,de,metilo,o,metanol,Resiste,aceites,grasas,y,es,estable,a,la,luz, METAMERISMO Efecto,que,se,presenta,cuando,alguna,substancia,cambia,de,color,de,acuerdo,con,la,luz, M,F,I, Siglas,en,inglés,para,el,índice,de,fluidez,“Melt,Flow,Index”, MICROPELLET Se,refiere,a,una,presentación,del,plástico,bajo,la,forma,de,gránulos,pequeños,semejantes,a,polvo, MIRISTICO,ACIDO Sólido,cristalino,grasoso,soluble,en,alcohol,éter,y,agua,Se,emplea,en,la,elaboración,de,jabones,y,en,la,síntesis,de,aditivos,plásticos, MISCIBLE Que,se,puede,mezclar,formando,una,combinación,homogénea MOHS Escala,empírica,para,conocer,la,dureza,de,un,mineral,donde,se,asigna,el,valor,de,1,al,talco,y,10,al,diamante,llamada,así,en,honor,de,su,creador,Friederich,Mohs,Dada,la,existencia,de,materiales,sintéticos con,una,dureza,mayor,la,escala,se,ha,extendido,hasta,el,valor,15, NAFTA Nombre,aplicado,a,diversos,productos,obtenidos,del,petróleo,el,diluyente,nafta,es,un,líquido,flamable,y,tóxico,mezcla,de,varias,substancias,químicas, NAFTALENO Compuesto,obtenido,a,partir,de,aceites,de,alquitrán,se,disuelve,en,benceno,y,éter,Forma,grumos,blancos,combustibles,que,se,evaporan,con,facilidad,comercializados,como,esferas,escamas,o,polvo, NECK,IN Expresión,empleada,en,extrusión,de,dado,plano,para,indicar,la,diferencia,de,espesor,en,el,material,cuando,abandona,el,dado,y,cuando,se,enfría, NEFELINA Silicato,de,sodio,obtenido,de,algunas,rocas,ígneas,la,manufactura,del,vidrio,y,la,cerámica,constituyen,el,campo,de,aplicación,de,este,material,cuyos,colores,varían,entre,el,blanco,y,el,gris,con,tonalidades,amarillas, NEOPRENO O OLEAMIDA Polvo,color,marfil,ligeramente,tóxico,Además,de,su,uso,como,deslizante,también,es,aditivo,para,tintas,,Funde,a,72Oc, OLEFINAS Familia,de,hidrocarburos,caracterizados,por,tener,al,menos,un,doble,enlace,en,su,conformación,También,se,denominan,alquenos,y,son,el,monómero,de,diversos,materiales,plásticos,Por,extensión,una,poliolefina,es,un,alqueno,polimerizado, OLIGOMERO Polímero,de,bajo,peso,molecular,se,origina,debido,a,la,presencia,de,pocas,moléculas,unidas,en,una,cadena,pequeña,donde,la,unidad,monomérica,se,repite,de,dos,a,diez,veces,Los,oligómeros,se,forman,cuando,un,polímero,empieza,a,formarse,o,degradarse, ORGANOMETALICO Nombre,empleado,para,cualquier,substancia,que,tenga,una,estructura,orgánica,como,un,hidrocarburo,y,un,metal,unidos,por,enlaces,químicos, ORGANOSOL Dispersión,de,cualquier,sustancia,insoluble,en,un,líquido,orgánico,El,vocablo,se,aplica,en,la,dispersión,de,una,resina,sintética,y,un,disolvente,volátil,en,mas,del,5%,del,peso,total,sobre,un,plastificante, OVILLAMIENTO Acción,de,ovillar,enrollar,plegar,envolver, P PALMITICO,ACIDO También,llamado,"acido,cetílico",es,un,ácido,graso,saturado,que,se,presenta,en,forma,de,cristales,blancos,solubles,en,éter,y,alcohol,caliente,Sirve,para,sintetizar,aditivos,sales,y,jabones,Presenta,16,átomos,de,carbono,en,su,molécula, MOL Cantidad,de,una,substancia,pura,igual,al,peso,molecular,en,gramos,Por,ejemplo,el,peso,molecular,del,agua,es,18,entonces,18,gramos,de,agua,serán,una,mol, %,MOL Unidad,de,concentración,química,que,permite,conocer,la,cantidad,de,una,substancia,en,una,mezcla,o,solución, MOLDE Molde,cuyas,cavidades,se,acoplan,con,objeto,de,fabricar,más,piezas,en,cada,ciclo, MONOAXIAL En,un,solo,eje,en,dirección,vertical,u,horizontal, MONOFILAMENTO Hilo,de,material,obtenido,a,través,de,la,extrusión, MONOMERO Molécula,relativamente,simple,que,contiene,carbono,e,hidrógeno,puede,también,tener,otros,elementos,como,oxígeno,cloro,flúor,y,azufre,Al,repetirse,varias,veces,la,molécula,forma,el,polímero,a,través,de,una,reacción,conocida,como,polimerización,Ejemplos,de,estas,moléculas,son,el,cloruro,de,vinilo,y,metacrilato,de,metilo,En,general,toda,molécula,capaz,de,STACKenlazarse,para,formar,cadenas,de,alto,peso,molecular, MWD Iniciales,de,distribución,de,peso,molecular,(Molecular,Weight,Distribution), Hule,sintético,disponible,en,forma,sólida,flexible,o,de,espuma,las,tres,presentaciones,tienen,aplicaciones,muy,variadas,También,se,denomina,Policloropreno N NITROBENCENO Derivado,de,la,nitración,del,benceno,con,una,mezcla,de,ácido,sulfúrico,y,nítrico,Puede,presentarse,bajo,la,forma,de,cristales,verdes,o,como,líquido,amarillo,aceitoso,Es,un,ingrediente,de,las,pastas,para,pulir,metales,también,se,emplea,en,la,fabricación,de,anilina, P PAPEL,KRAFT Papel,fabricado,a,partir,de,pino,que,se,trata,con,hidróxido,de,sodio,y,otras,sales,obteniendo,resistencia,en,el,producto, PARISON Tubo,de,plástico,a,partir,del,cual,se,soplan,contenedores,juguetes,o,piezas,en,general, PCR Partes,de,aditivo,a,añadir,por,cada,cien,partes,de,resina PELLET Gránulos,de,plástico,con,tamaño,regular,de,forma,esférica,o,cilíndrica,constituyen,la,presentación,comercial,del,material, PELLETIZAR Proceso,en,el,que,se,forman,pellets,usando,un,extrusor,cuyo,dado,tiene,muchos,orificios,por,donde,sale,el,plástico,con,las,dimensiones,requeridas,Esta,operación,puede,efectuarse,en,frío,o,caliente, PENTAERITRITOL Polvo,blanco,insoluble,en,benceno,sirve,en,la,fabricación,de,plastificantes,resinas,alquidálicas,insecticidas,,y,pinturas, n,PENTANO Liquido,hidrocarburo,flamable,obtenido,del,petróleo,Además,de,su,uso,como,agente,de,soplado,en,plásticos,se,usa,como,disolvente,y,pesticida, PERCLOROETILENO Líquido,no,flamable,ni,explosivo,presenta,cuatro,átomos,de,cloro,unidos,a,dos,de,carbono,Puede,mezclarse,con,alcohol,éter,y,aceites,resulta,tóxico,por,ingestión,absorción,de,la,piel,e,inhalación,es,buen,desengrasante, PERILENO Pigmentos,rojos,de,varios,tonos,con,6,anillos,bencénicos,4,grupos,carbonilo,2,átomos,de,nitrógeno,y,dos,substituyentes,en,arreglo,simétrico,Los,tonos,varían,en,función,del,substituyente, PEROXIDO Substancia,orgánica,que,presenta,un,enlace,oxígeno,oxígeno,en,su,estructura,Por,esta,razón,los,peróxidos,son,altamente,oxidantes,generalmente,incendian,al,contacto,con,combustibles,Elemento,con,fuertes,propiedades,oxidante,al,tener,un,enlace,oxígeno,oxígeno,Pueden,incendiarse,al,entrar,en,contacto,con,materiales,combustibles,Se,usan,para,iniciar,la,polimerización, PEROXIDO,DE,BENZOILO Sólido,blanco,granular,que,se,disuelve,parcialmente,en,agua,y,alcoholes,incendia,a,80°C,Puede,explotar,al,secarse,cuando,presenta,menos,de,1%,de,agua,se,usa,como,agente,de,blanqueo,para,grasas,aceites,y,ceras,además,es,catalizador,en,las,polimerizaciones, PESO,MOLECULAR En,el,caso,de,los,plásticos,es,una,medida,indirecta,de,la,longitud,de,las,cadenas,de,un,polímero,A,mayor peso,molecular,mayor,longitud,en,la,misma, PESO,MOLECULAR,PROMEDIO,EN,NUMERO Se,define,como,el,peso,total,de,las,moléculas,de,un,polímero,dividido,entre,el,número,total,de,ellas, PESO,MOLECULAR,PROMEDIO,EN,PESO Es,el,peso,molecular,de,un,polímero,donde,las,cadenas,de,mayor,tamaño,tienen,mayor,influencia, Ph Valor,que,indica,la,alcalinidad,o,acidez,de,cualquier,substancia,generalmente,líquida,El,agua,pura,sirve,como,referencia,de,éste,parámetro,con,un,valor,de,7,una,lectura,menor,implica,naturaleza,ácida,mientras,que,un,valor,mayor,significa,que,se,tiene,un,álcali,o,base, PIN,MIXING Término,que,designa,una,zona,de,mezclado,en,un,husillo, PINCH,OFF Punto,del,proceso,de,extrusión,soplo,en,el,que,las,paredes,del,párison,se,cierran,y,cortan,cuando,éste,entra,en,el,molde, PIRAZOLONA El,colorante,de,pirazolona,debe,sus,propiedades,a,los,grupos,cromóforos,carbono,carbono,y,nitrógeno,,nitrógeno,que,contiene,es,de,naturaleza,ácida,y,se,emplea,en,lana,seda,y,lacas, PIRIDINA Líquido,de,olor,desagradable,que,presenta,color,transparente,o,amarillento,se,disuelve,en,varias,substancias,entre,ellas,el,agua,el,éter,y,benceno,Hierve,a,116°C,e,incendia,a,693°C,resulta,útil,en,la,fabricación,de,vitaminas,fungicidas,además,de,reacciones,químicas, PIROMETRO Instrumento,que,permite,medir,temperaturas,muy,elevadas,como,las,de,un,horno,de,fundición, PITCH En,un,husillo,es,la,distancia,existente,entre,un,álabe,y,otro, PLASTICO Material,formado,por,largas,cadenas,hidrocarbonadas,de,naturaleza,orgánica,susceptibles,de,ser,moldeados,Sus,propiedades,varían,en,función,de,su,conformación,química,y,modificaciones,de,las,que,pueden,ser,objeto,(mezclas,y,aditivos), PLASTIFICACION Fundir,un,material,por,efecto,de,esfuerzo,cortante,o,calentamiento,de,manera,que,sea,moldeable,(2),Acción,de,un,plastificante,sobre,la,resina,ésta,absorbe,al,primero,de,manera,que,las,partículas,resbalan,unas,sobre,otras,suavizando,el,material,Fusión,del,plástico,por,efecto,de,fricción,y,calentamiento,También,se,dice,que,un,material,está,plastificado,si,tiene,aditivos,plastificantes,como,en,el,caso,del,PVC, PLASTIFICANTE Agentes,químicos,agregados,a,las,composiciones,de,plástico,para,proporcionar,flujo,y,procesabilidad,y,para,reducir,su,rigidez,Esto,es,alcanzado,al,bajar,su,temperatura,de,transición,vítrea, PLASTISOL Dispersión,fina,de,una,resina,sobre,un,plastificante,Comúnmente,50,partes,de,plastificante,por,cada,100,de,resina,forman,una,pasta,que,gelatiniza,al,calentarse,a,150ºC,Los,plastisoles,se,usan,para,moldear,resinas,termoplásticas,especialmente,PVC, PLATE,OUT Mancha,originada,en,las,piezas,o,equipo,de,proceso,debido,a,la,migración,de,aditivos, POLAR Cualquier,sustancia,o,radical,que,puede,presentar,carga,eléctrica,las,moléculas,polares,se,ionizan,en,solución,e,imparten,conductividad,eléctrica,a,la,solución,formada,El,ácido,sulfúrico,el,agua,y,el,alcohol,son,de,naturaleza,polar,en,tanto,que,la,mayoría,de,los,hidrocarburos,no, POLIADICION Reacción,de,polimeerización,donde,los,monómeros,se,enlazan,sin,que,se,presente,la,condensación,de,un,subproducto,la,poliadición,se,distingue,entre,las,reacciones,de,poliomerización,porque,cada,etapa,de,la,reacción,procede,independientemente,de,la,etapa,previa,La,migración,de,un,átomo,de,hidrógeno,en,cada,etapa,es,la,base,de,la,poliadición, POLIBUTADIENO Termoplástico,obtenido,al,polimerizar,1,3,butadieno,generándose,dos,isómeros,el,cis,y,el,trans,El,primero,de,ellos,se,emplea,en,neumáticos,por,su,resistencia,a,la,abrasión,el,segundo,tiene,menor,utilidad,comercial, POLICONDENSACION Reacción,de,polimerización,donde,se,obtienen,compuestos,de,moléculas,pequeñas,que,condensan,cuando,se,verifica,el,cambio,químico,La,obtención,de,Poliésteres,se,basa,en,una,policondensación,al,igual,que,las,Poliamidas,en,el,primer,caso,se,hace,reaccionar,un,diol,con,un,diácido,carboxílico,para,obtener,agua,como,subproducto,condensado,y,un,éster,como,producto,principal,Si,la,condensación,se,repite,cada,vez,que,se,une,otra,unidad,a,la,cadena,se,produce,la,“poli,condensación”,El,suproducto,condensado,depende,de,los,reactivos,utilizados,en,la,reacción,en,algunos,casos,es,agua,y,en,otros,un,alcohol, POLIETER Polímero,en,que,la,unidad,repetitiva,contiene,el,grupo,(C=O), POLIGLICOLES Polímeros,del,etilenglicol,con,peso,molecular,variable,entre,200,y,6000,como,mínimo,Al,variar,esta,propiedad,cambian,las,demás,pueden,ser,líquidos,densos,o,sólidos,grasosos,son,estables,al,calor,son,aplicados,como,intermediarios,químicos,plastificantes,lubricantes,y,en,productos,farmacéuticos, POLIMERO Palabra,derivada,del,latín,poli,=,muchos,y,meros,=,partes;,utilizada,para,designar,materiales,formados,por,la,unión,de,monómeros,Los,polímeros,pueden,ser,naturales,(lana,algodón),o,sintéticos, POLIOL Alcohol,que,tiene,tres,o,más,grupos,hidróxido,(OH),como,los,glicéridos,y,los,alcoholes,de,azúcar POLISACARIDO Polímeros,de,azúcar,formados,por,más,de,nueve,estructuras,sacáridas, POSTCLORADO Denominación,que,recibe,un,material,que,al,tener,cloro,en,su,molécula,es,sometido,a,un,tratamiento,secundario,para,adicionarle,más,cloro,el,PVC,puede,postclorarse, ppm Abreviación,de,"Partes,por,millón",unidad,de,concentración,para,soluciones,muy,diluidas, PREFORMA Forma,previa,que,se,le,da,al,plástico,antes,de,moldearlo,en,forma,definitiva, PREPOLIMERO Ver,oligómero, PRESURIZACION Someter,un,recipiente,a,presión,aumentar,la,presión,existente,en,un,sistema, PSEUDOPLASTICO Materiales,que,aumentan,su,fluidez,al,agitarse,los,polímeros,de,alto,peso,molecular,se,comportan,de,esta,manera, Q QUELATO Material,que,contiene,un,átomo,central,metálico,en,su,estructura,molecular,Forma,enlaces,con,otras,substancias,generando,anillos,el,agente,quelante,mas,común,es,el,EDTA,Los,quelatos,se,usan,médicamente,contra,las,bacterias, QUERATINA Proteína,localizada,en,el,cabello,humano,pezuñas,y,cuernos,animales,no,es,tóxica,pero,es,insoluble,y,combustible, QUINACRIDONAS Son,pigmentos,rojos,magentas,y,violetas,con,forma,cristalina,Tienen,alto,costo,y,tienden,al,plate,out, R RADICAL Conjunto,de,átomos,que,pueden,unirse,a,otros,modificando,sus,características,químicas,también,conocidos,como,grupos,funcionales,El,radical,OH,está,presente,en,alcoholes,mientras,que,el,COOH,concierne,a,los,ácidos,carboxílicos, Defecto,de,una,pieza,moldeada,donde,se,forman,rayas,de,varios,tonos,en,la,superficie,de,la,misma, REACTIVIDAD Capacidad,que,presenta,un,ingrediente,o,substancia,de,interactuar,con,otra,para,formar,uno,o,más,compuestos,diferentes,a,los,iniciales, REBABA Exceso,de,plástico,presente,en,una,pieza,a,lo,largo,de,la,línea,de,partición, RECHUPE Hueco,en,un,producto,inyectado,pieza,incompleta, REFRACCION Cambio,de,la,dirección,de,la,luz,al,pasar,de,un,medio,a,otro,Cuando,un,haz,de,luz,incide,sobre,la,superficie,del,agua,se,refracta, REFUERZO Material,fuerte,e,inerte,unido,al,plástico,para,darle,fuerza,rigidez,y,resistencia,al,impacto,Los,refuerzos,son,usualmente,largas,fibras,de,vidrio,aramídicas,o,de,carbón,Para,ser,efectivo,el,refuerzo,debe,adherirse,fuertemente,a,la,resina, REGRANULADO Nombre,que,recibe,el,plástico,cuando,se,fragmenta,por,molienda,después,de,ser,moldeado,por,algún,proceso,de,transformación,También,es,conocido,por,remolido,material,de,reproceso, REOLOGIA Estudio,del,flujo,de,la,materia,en,relación,con,el,esfuerzo,y,la,deformación,debe,ser,considerada,en,el,moldeo,de,plásticos,porque,al,fundir,se,transforman,en,líquidos,viscosos, REOMETRO Equipo,empleado,para,medir,la,viscosidad,de,los,plásticos,fundidos,es,el,aparato,más,empleado,para,determinar,el,comportamiento,reológico,de,un,plástico,El,material,es,fundido,en,un,cilindro,provisto,de,un,termómetro,y,resistencias,eléctricas,después,se,hace,pasar,por,un,orificio,gracias,a,la,acción,de,un,peso,,también,es,llamado,"plastómetro", REOPEXIA Propiedad,de,un,material,que,aumenta,su,viscosidad,cuando,se,agita,constantemente,Este,comportamiento,es,opuesto,a,la,tixotropía,Véase,tixotrópico, REPROCESO Procesar,por,segunda,vez,Usar,el,material,excedente,rebabas,piezas,defectuosas,y,coladas,para,moldear,otros,productos,aprovechando,la,cualidad,termoplástica,de,muchos,polímeros, RESILENCIA Propiedad,de,un,material,generalmente,espumado,de,recobrar,su,forma,original,después,de,someterse,a,cualquier,distorsión, RESINA Fluido,polimérico,denso,viscoso,natural,o,sintético,con,alto,peso,molecular, RESINA,REACTIVA Toda,aquella,resina,que,requiere,de,un,agente,externo,para,endurecer,mientras,toma,forma,en,un,molde,,Entre,estas,resinas,pueden,mencionarse,poliésteres,insaturados,poliuretanos,y,sistemas,epóxicos, RESISTIVIDAD Habilidad,de,un,material,para,resistir,el,paso,de,corriente,eléctrica,a,través,de,su,volumen,o,superficie,La,unidad,de,resistividad,volumétrica,es,de,ohm,–,cm,o,de,resistividad,superficial,de,ohm, RESORCINOL Cristales,blancos,que,cambian,a,color,rosa,cuando,tienen,impurezas,Producto,ligeramente,soluble,en,cloroformo,es,un,agente,de,entrecruzamiento,para,el,neopreno,base,de,algunos,adhesivos, RETICULACION Reacción,entre,las,moléculas,de,un,plástico,mediante,la,cual,se,forma,una,estructura,tipo,red,que,confiere,características,definidas,al,material, RICINOLEATO Compuesto,derivado,del,ácido,ricinoléico,que,a,su,vez,proviene,del,aceite,de,ricino,el,ácido,se,usa,para,acabados,textiles,y,jabones, ROLADO Procedimiento,mecánico,para,dar,forma,cilíndrica,a,una,lámina,plana,Las,placas,adquieren,la,forma,de,un,cilíndro,incompleto,para,después,ensamblarse,y,formar,un,tanque, ROTOMOLDEO Formación,de,una,pieza,mediante,un,molde,rotatorio,que,gira,para,distribuir,material,plastificado,sobre,sus,paredes, RTV,1 Elastómero,de,silicón,que,vulcaniza,a,temperatura,ambiente,con,un,componente,El,acrónimo,se,refiere,a,la,notación,", RTV,2 A,diferencia,del,RTV,1,éste,elastómero,requiere,de,dos,componentes,que,le,permiten,vulcanizar,a,temperatura,ambiente, RUTILO Forma,natural,del,dióxido,de,titanio,con,un,color,rojizo,o,negro,por,contener,hasta,un,10%,de,hierro,Se,utiliza,en,pinturas,esmaltes,y,para,retirar,el,óxido,del,acero, S SACAROSA Azúcar,comestible,bajo,la,forma,de,cristales,blancos,o,terrones,llamada,sucrosa,sirve,como,edulcorante,,también,es,importante,en,las,reacciones,químicas, SANDBLAST Tratamiento,superficial,que,se,fundamenta,en,el,soplado,de,granos,de,arena,en,las,cavidades,de,un,molde,,Confiere,un,acabado,especial,a,los,productos, SANGRADO Migración,de,un,pigmento,o,colorante,hacia,la,superficie,de,la,pieza,plástica, SCRAP Sobrante,del,moldeo,que,no,forma,parte,de,la,pieza,final,como,rebabas,coladas,piezas,defectuosas,en,los,procesos,de,extrusión,o,inyección,éste,excedente,es,molido,e,incorporado,al,proceso,como,material,remolido, SEBASICO,ACIDO Se,presenta,en,forma,sólida,que,funden,a,133°C,solubles,en,alcohol,y,éter,el,producto,se,vende,con,calidad,técnica,y,laboratorio,Además,de,ser,plastificante,también,es,importante,en,la,elaboración,de,varias,resinas,sintéticas, SELLADO,ULTRASONICO Un,método,de,sellado,basado,en,vibraciones,ultrasónicas,la,frecuencia,ultrasónica,(20,a,90,kc),La,energía,eléctrica,es,convertida,en,vibraciones,a,través,del,uso,de,algún,transductor,magnético,ó,pieza,eléctrica,La,presión,vibratoria,en,la,interfase,del,área,de,sellado,desarrolla,calor,que,funde,las,superficies,plásticas,efectuando,el,sellado, SEMICRISTALINO Material,polimérico,que,presenta,zonas,amorfas,y,cristalinas,en,su,estructura, SILANOS Compuestos,de,silicio,e,hidrógeno,análogos,a,los,hidrocarburos,saturados,El,más,simple,de,ellos,se,denomina,silano,hidruro,de,silicio,(SiH4),Son,flamables,muy,tóxicos,y,se,emplean,como,agentes,de,acoplamiento, SILICATO Substancia,que,contiene,silicio,oxígeno,y,por,lo,menos,un,metal, SILICO,ACIDO Gel,de,sílice,(óxido,de,silicio,hidratado),que,se,obtiene,al,acidular,una,solución,de,silicato,sódico,Se,usa,como,reactivo,de,laboratorio,y,como,refuerzo,del,caucho, SILOXANO Compuesto,que,presenta,una,cadena,de,silicio,y,oxígeno,semejante,a,los,hidrocarburos,lineales,porque,el,silicio,tiene,cuatro,enlaces,igual,que,el,carbono,De,esta,forma,cada,átomo,de,silicio,está,unido,a,cuatro,átomos,de,oxígeno, SINDIOTACTICO Un,polímero,vinílico,en,el,cual,la,estructura,lateral,está,alternada,regularmente,arriba,y,abajo,del,plano,del,bloque, SINERGISMO Término,aplicado,a,la,obtención,de,óptimos,resultados,al,unir,dos,compuestos,Alcanzando,mejores,características,que,las,esperadas,de,la,suma,de,tales,substancias, SINTERIZACION Proceso,donde,se,forma,una,pieza,a,través,de,la,unión,de,polvo,plástico,o,metálico,que,de,difunde,en,algún,medio, SLURRY Suspensión,acuosa,ligera,como,la,que,se,alimenta,a,un,filtro,prensa, SOCLO Perfil,plástico,usualmente,de,PVC,empleado,en,construcción,sobre,pisos,y,paredes, SOLUTO Nombre,que,recibe,cualquier,componente,sólido,que,se,puede,disolver,en,algún,líquido, SOLVATAR Acción,de,los,plastificantes,sobre,las,dispersiones,de,resina,donde,el,plastificante,se,adhiere,a,las,partículas,dispersándolas, SOLVOLISIS Reacción,de,un,solvente,con,una,substancia,para,formar,otra,nueva, SOPLADO Proceso,de,transformación,que,genera,productos,huecos,mediante,la,expansión,de,plástico,reblandecido,contra,las,paredes,de,un,molde,Se,clasifica,en,dos,formas:,La,inyección,soplo,que,utiliza,una,preforma,apoyada,en,un,perno,metálico,y,la,extrusión,soplo,que,emplea,un,parison, SORBITOL El,nombre,de,sorbita,es,sinónimo,para,éste,compuesto,es,un,alcohol,sólido,formado,por,cristales,blancos,que,no,tienen,olor,Tiene,baja,toxicidad,y,está,presente,en,varios,frutos,Sirve,como,plastificante,y,estabilizador, SULFATO,DE,HIDRACINA Polvo,blanco,que,puede,disolverse,en,agua,caliente,pero,no,en,alcohol,Se,emplea,como,catalizador,de,las,fibras,acetálica,adhesivo,y,reactivo,de,laboratorio, T TACTICIDAD Alineación,regular,de,la,estructura,de,algún,polímero,en,el,espacio, TEMPERATURA,DE,FUSION Es,la,temperatura,en,la,cual,un,material,cambia,del,estado,sólido,al,líquido, TEMPERATURA,DE,TRANSICION,VITREA Conocida,como,Tg,es,el,punto,en,el,que,un,plástico,se,vuelve,semilíquido,Por,encima,de,ésta,el,material,está,fundido,y,antes,de,ella,presenta,rigidez,semejante,al,vidrio, TEMPERATURA,VICAT Punto,en,el,que,la,punta,de,una,aguja,penetra,en,un,plástico,bajo,condiciones,estandarizadas, TENSOACTIVO Nombre,de,cualquier,substancia,que,altera,la,tensión,superficial,de,un,líquido,Esta,ultima,permite,que,los,fluidos,mojen,las,partículas,inmersas,en,ellos, TENSOFISURACION Agrietamiento,por,tensión, TERMOFIJO Polímero,que,solidifica,irreversiblemente,cuando,se,calienta,por,primera,vez,debido,al,entrecruzamiento,de,las,cadenas,que,lo,constituyen,La,pieza,moldeada,no,fundirá,al,calentarse,de,nuevo,si,la,temperatura,resulta,excesiva,el,plástico,se,carbonizará,antes,de,fundir, TERMOFORMADO Formar,por,temperatura,Moldear,por,calor,una,lámina,termoplástica,utilizando,presión,o,vacío,de,manera,auxiliar, TERMOFUNDIBLE Que,se,vuelve,líquido,con,el,calor, TERMOFUSION Volver,líquido,a,un,sólido,por,efecto,de,la,temperatura, TERMOGRAMA Conjunto,de,líneas,que,permiten,identificar,un,plástico,y,su,comportamiento,frente,a,la,temperatura, TERMOPAR Elemento,de,medición,de,la,temperatura,que,consta,de,un,par,de,metales,que,al,dilatarse,por,efecto,del,calor,envían,una,señal,eléctrica,proporcional,a,la,temperatura,a,la,que,se,encuentren, TERMOPLASTICO Plástico,capaz,de,ser,moldeado,en,repetidas,ocasiones,ya,que,puede,fundir,y,enfriarse,Los,miembros,típicos,de,esta,familia,son,los,polímeros,estirénicos,acrílicos,vinílicos,olefínicos,entre,otros, TERPOLIMERO Un,sistema,polimérico,que,contiene,tres,unidades,monoméricas,por,ejemplo,el,terpolímero,ABS,acrilonitrilo,butadieno,y,estireno, TETRACLOROISOINDO,LINONAS Pigmentos,amarillos,y,naranjas,que,se,caracterizan,por,tener,una,molécula,simétrica,con,dos,anillos,bencénicos,que,a,su,vez,poseen,cuatro,átomos,de,cloro, TETRACLORURO,DE,CARBONO Líquido,incoloro,de,olor,característico,no,es,combustible,ni,disuelve,en,agua,Es,utilizado,como,solvente,,agente,de,refrigeración,en,aplicaciones,industriales, TETRAHIDROFURANO Conocido,por,las,siglas,THF,es,un,líquido,blanco,parecido,al,agua,de,olor,etéreo,flamable,que,incendia,a,321°C,Es,utilizado,como,solvente,de,varias,resinas,tintas,o,adhesivos, TIEMPO,DE,TACK Período,de,tiempo,en,el,que,un,material,es,pegajoso,este,término,se,aplica,en,adhesivos, TIERRAS,DIATOMACEAS Material,con,alto,contenido,de,silicio,proviene,de,los,fósiles,de,algas,se,disuelve,en,la,sosa,o,potasa,por,ser,álcalis,fuertes,Tiene,varios,usos,en,diferentes,actividades,industriales, TIODIPROPIONICO,ACIDO Aditivo,aprobado,por,la,FDA,para,alimentos,y,envases,alimentarios,se,utiliza,también,como,antioxidante,en,grasas,aceites,y,productos,farmacéuticos, TIODIPROPIONICO,ACIDO Sustancia,empleada,como,conservador,de,alimentos,envasados,su,estructura,es,S(CH2CH2CO2H)2,,aprobada,por,la,FDA,su,uso,está,restringido,al,0,02%,del,contenido,en,grasa, TIOGLICOLATO,ISOOCTOL Tioglicolato,de,isooctilo,líquido,transparente,tóxico,con,débil,olor,a,frutas,empleado,en,antioxidantes,,fungicidas,plastificantes,estabilizadores,y,modificadores,de,la,polimerización, TITANATO Elemento,que,genera,puentes,moleculares,entre,una,carga,inorgánica,y,el,polímero,aunque,su,alcance,no,se,limite,a,esta,aplicación,forma,capas,reactivas,compatibles,sobre,la,superficie,orgánica, TITULACION Es,un,método,químico,conocido,también,como,“valoración”,empleado,para,determinar,la,cantidad,de,una,sustancia,en,solución,haciéndola,reaccionar,con,otra,de,concentración,conocida,con,exactitud, TIXOTROPICO Es,aquél,material,que,aumenta,su,fluidez,cuando,se,agita,ejerciendo,esfuerzo,cortante,entre,las,capas,del,mismo,Cuando,la,agitación,termina,el,fluido,recobra,su,viscosidad,inicial, TOBERA Sinónimo,de,orificio,o,abertura, TRANSDUCTOR Término,empleado,para,cualquier,aparato,que,se,active,mediante,una,señal,transformando,un,tipo,de,energía,a,otra,Por,ejemplo,la,energía,eléctrica,en,mecánica, TRANSESTERIFICACION Reacción,química,que,consiste,en,la,formación,de,un,éster,a,partir,de,otros,dos, TRANSLUCIDO Cuerpo,o,superficie,que,permite,el,paso,de,la,luz,pero,no,se,puede,ver,a,través,de,él, TREPANAR Sinónimo,de,taladrar,(2),Perforar,un,hueso,con,fines,médicinales, TRICLOROETILENO Líquido,estable,incoloro,que,reacciona,con,la,luz,no,es,flamable,ni,ataca,los,metales,aún,con,la,presencia,de,humedad,Tiene,olor,semejante,al,cloroformo,Se,emplea,como,desengrasante,diluyente,de,pinturas,y,adhesivos, TRIETANOLAMINA Presente,como,líquido,incoloro,que,hierve,a,335°C,es,higroscópico,con,aroma,de,amoniaco,usado,como,plastificante,y,supresor,de,humo,La,estructura,química,de,éste,compuesto,consta,de,un,átomo,de,nitrógeno,unido,a,tres,radicales,etóxicos,N(CH2,CH2,OH)3 TRIGLICERIDO Nombre,que,recibe,una,familia,de,compuestos,que,forman,grasas,y,aceites,Son,ésteres,naturales,de,los,ácidos,grasos,y,la,glicerina, TRIOXANO Molécula,que,consta,de,ocho,o,más,unidades,del,formaldehído,se,conoce,también,como,triformol,o,meta,,formaldehído,Forma,cristales,blancos,que,funden,a,62°C,solubles,en,agua,alcohol,y,éter,Sus,usos,principales,son,las,reacciones,químicas,y,como,desinfectantes, U U,M,A, Siglas,de,Unidades,de,Masa,Atómica, UREA Polvo,blanco,que,se,descompone,antes,de,hervir,presente,en,la,orina,y,otros,fluidos,del,organismo,,Aplicado,como,intermediario,químico,fertilizante,adhesivos,y,usado,en,algunos,medicamentos, V VELOCIDAD,DE,CIZALLA Es,la,velocidad,requerida,por,una,capa,de,polímero,fundido,para,cruzar,las,paredes,de,un,canal,con,flujo,laminar, VINIL,TOLUENO Compuesto,ligeramente,tóxico,flamable,se,disuelve,en,éter,y,difícilmente,en,agua,Es,un,líquido,incoloro,conocido,como,metilestireno, VISCOELASTICO Denominación,que,recibe,un,material,que,tiene,un,comportamiento,intermedio,entre,un,líquido,viscoso,y,un,sólido,elástico,Esta,conducta,es,característica,de,todos,los,plásticos,en,mayor,o,menor,grado, VISCOSIDAD Resistencia,que,presenta,un,líquido,a,fluir,gen VULCANIZACION Reacción,química,que,cambia,las,propiedades,físicas,de,un,hule,ó,plástico,haciendo,reaccionar,azufre,peroxido,epoxide,calor,y,material,polimérico,Los,cambios,incluyen,disminución,del,flujo,plástico,reducción,de,dureza,superficial,,solubilidad,incremento,en,la,elasticidad,y,resistencia,a,la,tensión, W WOLLASTONITA Silicato,natural,que,se,encuentra,en,algunas,rocas,Se,utiliza,para,fabricar,pinturas,caucho,papel,refuerzo,de,fibras,para,algunos,plásticos, X XANTOFILA Materia,orgánica,que,se,encuentra,en,las,hojas,vegetales,acompañada,de,clorofila,(véase), XILOGRAFO Aparato,que,emplea,tipos,de,madera,para,imprimir, Z ZEOLITA Sal,inorgánica,que,contiene,óxido,de,aluminio,sodio,silicio,y,agua,asociados,usada,en,el,tratamiento,de,aguas,residuales,porque,facilitan,el,intercambio,de,iones,Existen,zeolitas,naturales,y,sintéticas, ZIEGLER,NATTA Familia,de,catalizadores,esteroespecíficos,que,deben,su,nombre,a,los,científicos,que,los,desarrollaron,Karl,Ziegler,y,Giulio,Natta,Básicamente,son,grupos,alquil,aluminio,o,compuestos,de,titanio,el,trietilaluminio,,tetracloruro,de,titanio,son,ejemplos,de,estos,catalizadores,Ziegler,y,Natta,recibieron,el,premio,Nobel,de,Química,en,1963,por,su,descubrimiento, ZIRCOALUMINATOS Complejos,organometálicos,de,aluminio,y,zirconio,que,modifican,la,superficie,inorgánica,incrementando,los,niveles,permitidos,de,carga,o,fibras,en,plásticos,y,resinas,Son,análogos,a,los,silanos, ZONA,DE,MEZCLADO Sección,del,husillo,donde,el,plástico,se,somete,a,esfuerzos,mediante,un,maquinado,especial,existen,diversos,diseños,de,estas,zonas,de,acuerdo,a,las,necesidades,del,material,a,procesar,y,del,producto, sf cotone in fiocchi, sm cottura, sf cratere, sm cresolo, sm crine, sm; setola, sf crosta, sf; pelle, sf culatta d'iniezione, sf curva carico-deformazione per flessione, sf cuscinetto dell'espulsore, sm cuscinetto di rinvio dell'espulsore, sm decomposizione termica, sf deformazione a caldo, sf deformazione elastica, sf deformazione non elastica, sf deformazione ottica, sf deformazione per flessione o per incurvatura, sf; freccia, sf deformazione permanente, sf deformazione plastica sf deformazione relativa, sf deformazione sotto carico, sf degradazione, sf degradazione di colore, sf densità apparente della polvere, sf deteriorazione, sf diaframma, sm diagramma carico-deformazione, sm dielettrico, agg difetto superficiale dovuto a mancanza di materiale nello stampaggio, sm diffusione, sf diffusione della luce, sf diffusività termica, sf dilatazione lineare, sf dilatazione termica, sf diluente, sm dimero, sm direzione della larghezza, sf direzione della lunghezza, sf disco di feltro, sm disidratazione, sf dispersione, sf dispersione macromoleculare, sf dispositivo di tirata, sm dispositivo per preformatura, sm disposizione a strati, sf distacco (difetto), sm distanziatore, sm durata a magazzino, sf durata di conservazione a magazzino, sf durezza, sf duttilità, sf eccesso localizzato di resina, sm efflorescenza, sf elasticità, sf elasticità ritardata (vischiosa), sf; visco-elasticità, sf elastomero, sm elastomero cellulare, sm; gomma cellulare, sf elastomero espanso, sm; gomma piuma, sf elastomero, sm; gomma, sf elastomero sintetico, sm elastomero spugnoso, sm; gomma spugna, sf elastomero (gomma) vulcanizzato, sm emulsionamento, sm emulsionamento, lavoro di, sm emulsionare, v tr emulsione, sf emulsione adesiva, sf emulsione, inversione del tipo, sf emulsione, tipo di, sm
espulsione, sf espulsione a mano, sf espulsione automatica, sf espulsione dal basso, sf espulsione dall'alto, sf espulsione di gas, sf; polmonatura, sf espulsione, sf; piastra dell'espulsore, sf espulsione, sf; pistone di espulsione, sm espulsore, sm abrasion accélérateur accumulateur aérohydraulique vinyl acétal acétate de cellulose vinyl acétate acéto-butyrate de cellulose solvant blanc épaississant épaissir (donner du corps) adjuvant pour colle adhérence de contact (entre feuilles) adhésivité adhésif extendeur agent anti-statique agent de condensation réticulant éthanol méthanol alcool vinylique alésage alpha cellulose alginate alimentation entrées multiples alimentation, buse du pot d'- alimentation, orifice d'- alimentation pondérale alimentation volumétrique allongement à la rupture allongement entre repères allongement unitaire haut polymère alvéole renforcement amiante aminoplaste amortissement (mécanique) amortisseur amorphe analyse au tamis bague de fermeture collier chauffant angle de dépouille angle de phase angle de perte angle de dépouille anistropie des stratifiés agent de démoulage; agent anti-adhérent antioxydant ouverture (distance entre les plateaux d'une presse) apprêt apprêt (pour textiles, papier) ardoise ardoise, poudre d'- absorption d'eau absorption d'eau, vitesse d'- absorption d'humidité absorption de vapeur d'eau atactique décoloration; dégradation de couleur dépressionen en surface baguette d'apport barre d'éjecteur; traverse d'éjecteur jonc jonc usiné jonc moulé bavure;toile benzyl cellulose bicolore filière multiple de séparation filière de boudineuse buse d'extrusion pour feuilles buse buse du pot d'alimentation douille buse de carotte bulle bulle ouverte bombé bossage brillance givrage brûlé bleuissement butyral de vinyle calandre calandrage chambre de chargement pot de transfert jaquette électrique échantillon canal d'injection voie à eau voie à vapeur chalumeau kaolin capacité d'injection carboxyméthyl cellulose charge (de matière à mouler) charge d'injection charge (matière de charge) charge renforçante tension de rupture papier enduit (encollé) papier verni caséine châssis catalyseur catalyseur chimique catalyseur physique chaîne (lineaire) moléculaire cavité trou alvéole cellule cellulose cellulose régénérée ciment ciment phénolique ciment de scellement pour ampoules ciment pour vide ciment synthétique pétrole lampant; kérosène fermeture par gravité appui (d'un moule) ralenti de fermeture d'un moule cycle automatique cycle de moulage cylindre cylindre de calandre pot d'injection pot de chauffage pot de transfert vinyl chloracétate chloroprène vinyl chlorure vinylidène chlorure coagulation coulée colle colle de mélange colle durcissable à chaud colle durcissable à froid colle en poudre colle en solution colle de contact colle pour joints colle de placage collier chauffant colle synthétique colle thermodurcissable colle thermoplastique colophane colonne (p. ex. de presse) colorant colorant insoluble; pigment colorant soluble colorant insoluble; pigment racle (lame docteur) compatibilité (p. ex. d'un plastifiant et d'une résine) contreplaqué contreplaqué à la résine force du piston condensation conductivité thermique conformateur jauge conformatrice dépouille affaissement copolycondensation copolymérisation copolymérisation en blocs copolymérisation avec réticulation copolymére copolymére bloc presse, corps de; plateau supérieur (corps de presse) corrosion course pulvériser costante diélectrique coton, flocon de- cuisson cratère crésol crin peau;croute culot d'injection coubre charge-flèche butée d'éjecteur butée de renvoi d'éjecteur décomposition thermique déformation à chaud déformation élastique déformation non élastique déformation optique flèche déformation permanente déformation plastique déformation relative déformation sous charge dégradation dégradation de coleur masse volumique apparente détérioration diaphragme diagramme contrainte-déformation diélectrique manque de matière au moulage diffusion diffusion de la lumière diffusivité thermique dilatation linéaire dilatation thermique diluant dimère direction de la largeur direction de la longueur disque de feutre déshydratation dispersion dispersion macromoléculaire dispositif de tirage empreinte de préformage superposition des strates ségrégation butée réglage vie en pot durée limite de stockage dureté ductilité excès local de résine efflorescence élasticité élasticité retardée élastomère
caoutchouc cellulaire caoutchouc mousse caoutchouc élastomère de synthèse caoutchouc spongieux caoutchouc vulcanisé émulsionnnement émulsionnnement, travail d'- émulsionner émulsion colle en émulsion émulsion, inversion du type d' émulsion, type d' éjection éjection à la main éjection automatique éjection par le fond éjection par le haut dégazage plateau d'éjection; plateau éjecteur piston d'éjection éjecteur abrasion accelerator air accumulator; air bottle; air-hydraulic accumulator vinyl acetal cellulose acetate vinyl acetate cellulose acetate butyrate white spirit thickener body, to additive for adhesive blocking (of sheets) adhesiveness adhesive;glue extender anti-static agent condensation agent crosslinking agent ethanol methanol vinyl alcohol dowel hole alpha-cellulose alginate feed multi-gating feed bush feed orifice weight feed volumetric feed elongation to-break elongation between gauges unit elongation high polymer cell asbestos reinforcement aminoplastic damping (mechanical) dash pot amorphous sieve analysis locking ring heater band draft angle dielectric phase angle; phase angle dielectric loss angle draft angle anistropy of laminates release agent antioxidant daylight (distance between platens of a press) glass finish size (for textiles, paper) slate slate flour water absorption speed of water absorption moisture absorption water vapor absorption atactic colour fading sink mark filler rod ejection tie-bar,ejection connecting bar rod machined rod moulded rod flash benzyl cellulose two-tone breaker plate extrusion die shhet die bush feed bush dowel bush sprue bush bubble open bubble domed boss gloss frosting burned blueing vinyl butyral calender calendering loading chamber transfer pot electric blanket sample runner water channel steam channel welding torch kaolin, china clay shoit capacity carboxymethyl cellulose charge shot filler reinforcing filler ultimate tensil strength coated paper varnished paper casein chase; frame; bolster catalyst chemical catalyst physical catalyst linear molecular chain cavity pit cell closed cell cellulose regenerated cellulose cement phenolic cement lamp-capping cement vacuum cement synthetic resin cement kerosene; kerosine gravity closing land (of a mould) inching automatic cycle moulding cycle cylinder bowl (of a calender) injection cylinder heating cylinder transfer pot vinyl chloride acetate chloroprene vinyl chloride vinylidene chloride coagulation casting adhesive; glue mixed adhesive hot-setting adhesive cold-setting adhesive powder adhesive solution adhesive contact adhesive edge-jointing adhesive plywood adhesive heater band synthetic resin adhesive thermosetting adhesive thermoplastic adhesive rosin; colophony column (e.g. of a press) colorant insoluble colorant; pigment soluble colorant insoluble colorant; pigment doctor knife compatibility (e.g. of a plasticizer and a resin) plywood resin-bonded plywood ram force condensation thermal conductivity shrinkage block or jig cooling jig; cooling fixture draft;draw collapse copolycondensation copolymerization blockcopolymerization copolymerization with cross-linking copolymer blockcopolymer main head corrosion stroke powder, to dielectric constant; permittivity cotton flock cure crater cresol bristle skin anchor; sprue puller load-deflection curve ejector pad ejector plate return pin thermal decomposition heat distortion elastic deformation plastic yield optical distortion deflection permanent set plastic deformation strain deformation under load degradation colour fading powder density deterioration baffle stress-strain curve dielectric short (a defect) diffusion diffusion of light thermal diffusivity linear expansion thermal expansion thinner dimer crosswise lengthwise bob; felt polishing disc dehydratation dispersion
macromolecular dispertion take-off preforming tool lay-up segregation (a defect) spacer pot life shelf life hardness ductility resin streak bloom elasticity viscous elasticity elastomer cellular rubber expanded rubber natural rubber synthetic rubber sponge rubber vulcanized rubber emulsification emulsification work emulsifier emulsion emulsion adhesive phase reversal of emulsion type of emulsion ejection hand ejection automatic ejection bottom ejection top ejection breathing ejection plate ejection ram ejector Abrieb, m Beschleuniger, m Druckluft-Akkumulator,m (für Hydraulik); Druckluftbehälter (Windkessel), m Vinylacetal, n Celluloseacetat, n Vinylacetat, n Celluloseacetobutyrat, n Lackbenzin (Testbenzin), n Eindickungsmittel, n eindicken (von Ölen) Leim-Zusatzstoff, m Blocken von Folien, n Klebvermögen, s Klebstoff, m; Leim, m Streckmittel, n Antistatikum, n Kondensationsmittel, n Vernetzungsmittel, n Äthanol, n Methanol, n Vinylalkohol, m Führungsbohrung, f Alpha-Cellulose, f Alginat, n Beschickung, f; Materialzufuhr, f Mehrangussfüller, m Angussbuchse, f Anschnitt der Materialzufhur, m Gewichtszuführung, f volumetrische Zuführung, f Dehnung beim Bruch, f Dehnung zwischen Messmarken, f Dehnung, f Hochpolymere, n Pore, f; Zelle, f Asbest, m; Verstärkungsfüllmittel, n Aminoplast, m Dämpfung, f Ölbremse, f; Dämpfungsvorrichtung, f; Bremszylinder, m amorph;gestaltlos;nicht kristallin Siebeanalyse, f Schliessring, m Bandheizkörper (Heizband), m Neigungswinkel, m; Winkel der Konizität, m Phasenwinkel, m Fehlwinkel, m; Fehlwinkel, dielektrischer, m Neigungswinkel, m; Winkel der Konizität, m Anistropie von Schichtstoffen, f Entformungsmittel, n Antyoxidans Einbauhöhe, lichte (zwischen den Platten einer Presse), f Leim, m; Schlichte, f Appretur, m; Schlichte, f Schiefer, m Schiefermehl, n Wasseraufnahme, f Geschwindigkeit der Wasseraufnahme, f Feuchtigkeitsabsorption, f Absorption von Wasserdampf, f ataktisch Nachlassen, n; Verbleichen der Farbe, n Einfallstelle an der Oberflächeeines Formteils, f Schweisstab, m Ausdrücker-Verbindungsstange, f; Ausdrütraverse, f Stab, m Stab, bearbeiteter, m Stab, geformter (z.B. gepresster), m Abquetschgrat (beim Pressen), m; Grat (z.B. Pressgrat), m Schwimmhaut (beim Spritzgiessen), f Benzylcellulose, f zweifarbig Lochscheibe, f; Stauscheibe, f Strangspressen-Mundstück, n Folienspritzform, f Buchse, f Angussbuchse, f Bohrung, kalibermässige, f; Führungsbuchse, f Anguss (in der Angussbuchse), m Blase, f Blase, offene (an der Oberfläche), f gewölbt Wulst, m Glanz, m Eisblumenbildung, f verbrannt Anlaufen, blau, n Vinylbutyral, n Kalander, m Kalandrieren, n Füllraum (beim Presswerkzeug), m Transfer-Druckkammer, f Heizdecke, elektrische, f Muster, n Angussverteiler, m Wasserfkanal, m Dampfkanal, m Schweissbrenner, m Kaolin, m Spritzvolumen, n Carbossimethylcellulose, f Ladung, f;Charge, f Schussgewicht (beim Spritzgiessen), n Füllstoff, m Füllstoff, m;Verstärkungsfüllmittel, m Reissfestigkeit, f Papier, beschichtetes, n Lackpapier, n Kasein, n Chassis, n; Rahmen, m Katalysator, m Katalysator, chemischer, m Katalysator, physikalischer, m Fadenmolekül, n; Kettenmolekül, n Vertiefung, f Loch, n; Pressfehler, m Zelle, f; Pore, f Zelle, geschlossene, f Cellulose, f Cellulose, regenerierte, f Klebkitt, m Phenolharzkitt, m Lampensockel-Kitt, m Vakuumkitt, m Kunstharz-Kitt, m Kerosin, n; Leuchtpetroleum, n Schliessen durch Schwerkraft, n Abquetschfläche (Abquetschrand) (eines Werkzeuges), f Verlangsamung des Schliessens eines Werkzeuges, f Zyklus, automatischer, m Formungszyklus (z.B. Presszyklus), m; Pressdauer, f Zylinder, m; Walze, f Kalanderwalze, f Massezylinder, m; Spritzzylinder, m Heizzylinder, m; Massezylinder, m Transfer-Druckkammer, f Vinylchloridacetat, n Chloropren, Vinylchlorid, n Vinylidenchlorid, n Coagulation (Koagulation), f Giessen, n Leim, m; Klebstoff, m Mischklebstoff, m; Reaktionsklebstoff, m;Zweikomponentenklebstoff, m Klebstoff, warm abbindender, m Klebstoff, kalt abbindender, m Klebstoffpulver, n Kleblösung, f; Leimlösung, f Kontaktklebstoff, m Klebstoff zur Kantenbindung, m Klebstoff zur Sperrholz, m Bandheizkörper (Heizband), m Kunstharz-Klebstoff, m Klebstoff, warm härtbarer, m Klebstoff, thermoplastischer, m Kolophonium, n Pressen-Säule, f Farbmittel, n Farbmittel, unlösliches, n Farbmittel, lösliches, n Farbmittel, unlösliches, n Streichmesser, n Verträglichkeit (z.B. von einem Weichmacher mit einem Harz), f Sperrholz, n Sperrholz, kunstharzverleimtes, n Kolbenkraft, f Kondensation, f Wärmeleitfähigkeit, f Richtvorrichtung (Schwindvorrichtung), f Abkühlungsvorrichtung (Schwindkern), f Konizität, f;Verjüngung, f Zusammenfaltung, f Copolykondensation, f Copolymerisation (Mischpolymerisation), f Blockmischpolymerisation, f Copolymerisation mit Vernetzung, f Copolymerisat (Mischpolymerisat), n Blockpolymerisat, n Querhaupt (einer Presse), n Korrosion, f Hub,m; Hublänge, f pudern Dielektrizitätskonstante, relative, f Baumwollflocke, f Härtung, f Krater, m Kresol, n Borste, f Haut, f; Schale, f Angusszieher, m Kraftdurchbiegungs-Kurve, f Aushebeboden, m Rückdrückstift, m Zersetzung, thermische, f Warmverformung, f Verformung, elastische, f Verformung, nichtelastische, f Verzerrung, optische, f Durchbiegung, f Verformung, bleibende, f Verformung, plastische, f Verformung (z.B. Dehnung, Stauchung), f
Verformung unter Last, f Degradation, f Nachlassen der Farbe, n; Verbleichen, n Schüttdichte, f; Schüttgewicht, n Verschlechterung, f Drosselscheibe, f; Membran, f Spannungs-Verformungs-Kurve, f Dielektrikum, n kurz, knapp, gedrängt Diffusion, f Lichtdiffusion, f Diffusionsvermögen, n Ausdehnung, lineare, f Wärmeausdehnung, f Verdünnungsmittel, n Dimere, f Querrichtung, f Längsrichtung, f Filzscheibe, f Dehydratisierung, f Streuung, f Dispersion, makromolekulare,f Abziehvorrichtung, f Vorformwerkzeug, n Schichtverlegung, f Pressfehler, m Zwischentaste f, Abstandhaltung, f Topfzeit, f Lagerfähigkeit, f Härte, f Duktilität, f Harzschliere, f Effloreszenz, f Elastizität, f Visco-Elastizität, f Elastomere, f Zellgummi, n Schaumgummi, n Naturkautschuk, m Elastomere, synthetische, f Schwammgummi, n Gummi, vulkanisiertes; vulkanisierte Kautschukmischung Emulsionsbildung, f Emulgierarbeit, f emulgieren Emulsion, f Klebemulsion, f Phasenvertauschbarkeit einer Emulsion, f Emulsionstyp, m Ausdrücken (auch: Ausstossen, Auswerfen), n Ausdrücken von Hand, n Ausdrücken, automatisches, n Ausdrücken von unten, n Abdrücken von oben, n Entlüften (des Werkzeuges), n Ausdrückplatte, f; Drückplatte, f Ausdrückkolben, m Ausdrücker, m; Ausstosser, m; Auswerfer,  stampo, del processo, stampaggio, ad iniezione , costampaggio, sovra,stampaggio, biniezione, 2K,estrusione, coestrusione, rotomolding,poltrusione, formatura, saldatura laser ,TTIR ,lama calda, ultrasuoni, vibrazione e delle normative richieste, ASTM ,DIN,EN, IEC,ISO,SAE,UL, presso i nostri laboratori attrezzati per durezza,shore A e D , modulo a flessione e modulo a trazione ,l'allungamento,l'impatto,charpy,izod, punto di fusione o melting point, TG ,(DSC), vicat , HDT, compression, set,e proprietà elettriche.Eventualmente non trovaste tutte le informazioni necessarie in questo sito Vi preghiamo di contattare un Nostro tecnico. Ci sono molti fattori che rinfluenzano la scelta del polimeri , non qsolo le proprietà fisico-meccaniche ed il processo , ma anche l'applicazione , sia essa per tubi ,pipe, hose, cavi, classe T4 , fili, guaine, raschiaolio, belts,profili,tools,e secondo il settore , automotive, edile, costruzioni, casalingo, industria, protezione, oleodinamico, trazione,movimento terra , ogni settore richiede particolari proprietà, resistenza all'abrasione, al calore, all'idrolisi , alla fiamma, chimica agli oli , ai grassi ,alle benzine, ai solventi, conducibilità sia termica che elettrica, anti staticità, basso attrito, nucleazione, compatibilità, adesione ad altri polimeri o metalli, come inserti , stabilità alla luce , anti, UV, polimeri stabili ai raggi gamma , o con l'aggiunta di additivi, anti funghi,anti muffa, idonei al contatto alimentare FDA, EEC, VDO, KTW, WRAS, NSF,61, 2002/72 per il settore medicale USP ,classe, VI , o passando attraverso polimeri ,bio degradabili ,oxo degradabili , compostabili per un maggior rispetto dell'ambiente in cui viviamo. ACETALDEHIDO Líquido incoloro de aroma a frutas, derivado de la oxidación del etileno. Es flamable, narcótico y presenta riesgo de explosión. Su utilización está centrada en la fabricación de varios compuestos químicos y saborizantes artificiales. ACETATO DE VINILO Es un líquido incoloro, que se emplea para obtener resinas vinílicas, es flamable y se vende con inhibidores para evitar la polimerización prematura. ACETILACION Adición de un radical acetilo (CH3-CO-) en la molécula de una substancia orgánica. ACRILAMINA Cristales incoloros sin aroma, que funden a 84°C y hierven a 125°C. Son insolubles en benceno, estables a temperatura ambiente pero pueden polimerizar violentamente al fundir. La fabricación de tintes, papel y adhesivos son algunas de sus aplicaciones, aunque también funge como agente de entrecruzamiento. ACRILATO DE ALILO Líquido que hierve entre 122 y 134°C. Sirve como un monómero para resinas ACRILATOS Monómeros usados para resinas termofijas, pinturas y acabados de papel. ACRILONITRILO Líquido incoloro de olor débil, flamable, explosivo en el aire, se absorbe por la piel y es tóxico por inhalación. Parcialmente miscible en agua se disuelve en cualquier solvente orgánico, es usado en la manufactura de fibras sintéticas, copolímeros y diversas síntesis orgánicas. ACRILONITRILO Un monómero con la estructura (CH2=CH-CN). Este copolímero con butadieno es un hule nitrilo, y existen algunos copolímeros con estireno que son tan duros como el poliestireno. Este homopolímero es algunas veces usado como fibra sintética. ACRONIMO Conjunto de siglas que abrevian el nombre de un plástico. ACUMULADOR Extrusor auxiliar utilizado para proporcionar una distribución extremadamente rápida del párison en el moldeo por soplado. El cilindro acumulador es cargado con material plastificado del extrusor que se distribuye entre el párison o “disparo” y el almacenado o “acumulado” en el cilindro requerido para el próximo párison. ADIPICO, ACIDO Se conoce también como "ácido hexanodióico" es un sólido, cristalino, blanco, derivado de la oxidación de la ciclohexanona con ácido nítrico. Empleado en la síntesis de poliamidas y espuma de poliuretano. ADITIVO Substancia que modifica las propiedades del plástico en diferentes formas. ADSORCION Adherencia de átomos o iones de una substancia a la superficie de otra llamada adsorbente bajo condiciones favorables, los materiales finamente divididos tienen mayor superficie activa. Este proceso se emplea en la eliminación de olores y colores en aceites, grasas o sustancias semejantes. ADUCTO Asociación de dos moléculas que no presentan enlaces reales. También llamado "complejo de inclusión". AGENTE ENTRECRUZANTE Se denomina así a los compuestos que son agregados a las resinas reactivas para solidificarlas. AGENTE NUCLEANTE Nombre que recibe cualquier substancia que favorece la formación de núcleos moleculares en un material. Por lo general limitan la transparencia de los plásticos a excepción del Polipropileno. ALABEO Falla en una pieza que se deforma después de moldearse, la forma original se tuerce de manera curva, esto es debido a los esfuerzos residuales en el material transformado. ALCANOLAMINA Compuesto que tiene un átomo de nitrógeno unido a un alcohol lineal, como la trietanolamina. ALCOHOL ISOPROPILICO Conocido como isopropanol, es un líquido flamable que incendia a 453°C. Es un solvente para la preparación de aceites esenciales, alcaloides, resinas y gomas. También se emplea en los procesos de extracción y como desnaturalizante. ALCOHOL POLIVINILICO Polímero sintético hidrosoluble, que se presenta como polvo blanco con peso molecular entre 35000 y 250000 gramos por mol. Las propiedades del material dependerán del grado de polimerización presente. ALCOHOLES SUPERIORES Término empleado para los alcoholes de alto peso molecular. ALCOHOLISIS Rompimiento de una molécula debido a la acción de un alcohol, análogo a la hidrólisis donde el rompimiento se efectúa mediante agua. ALDEHIDOS Compuesto orgánico que tiene como estructura básica RCHO, donde R puede ser cualquier radical. Los aldehídos forman una familia de compuestos que se obtienen de la deshidrogenación de alcoholes. ALFA-METIL ESTIRENO Entre sus propiedades se encuentra la de polimerizar con el calor o un catalizador, por esta razón se vende con un inhibidor. Es un líquido combustible que incendia a 573°C. ALFA-OLEFINA Olefina particularmente reactiva que contiene doble enlace en el primer carbono. ALICICLICO Sustancias orgánicas que se caracterizan por tener un anillo cerrado en su estructura, el anillo no debe confundirse con el bencénico. La mayoría de estos compùestos provienen del petróleo aún cuando pueden sintetizarse en los laboratorios. ALQUIDALICA Recubrimiento sintético de naturaleza termofija, semejante a un poliéster, útil en la formulación de pinturas exteriores o marítimas. También conocidos como alquídicos se moldean para encapsular componentes electrónicos. ALUMINA Nombre de un compuesto que consta de sales hidratadas de aluminio, se obtiene a partir de minerales de éste metal. No es combustible y comercialmente se encuentra como polvo. AMIDA Nombre genérico de los compuestos nitrogenados que se derivan del amoniaco, pueden ser orgánicos o inorgánicos como la amida de sodio y la formamida, respectivamente. AMINA Material orgánico con nitrógeno en su composición. Puede considerarse derivado del amoniaco, todas las aminas son alcalinas. AMORFO Característica de algunos materiales plásticos, cuyas cadenas están desordenadas en el espacio, permitiendo el paso de la luz. Este concepto es contrario a la cristalinidad. ANATASA Forma natural de los cristales del dióxido de titanio. ANHIDRIDO MALEICO Sólido incoloro en forma de agujas que disuelven en acetona, agua y alcohol. Se obtiene al oxidar benceno, sirve para sintetizar resinas plásticas y pinturas. ANHIDRIDOS Substancias que provienen de un ácido carboxílico al que se ha retirado agua, el ácido ftálico produce anhídrido ftálico. ANIDRIDO FTALICO Cristales blancos que funden a 131°C se disuelven en alcohol o disulfuro de carbono. Se emplea en síntesis orgánicas, tintas e insecticidas. ANISOTROPIA Efecto que se presenta cuando alguna substancia cambia de color, de acuerdo con la luz. ANTIESPUMANTES En el caso del silicón, son agentes que tienen la función de eliminar las espumas que se forman en diferentes procesos y reacciones. ANTIESTATICO (1) Método o substancia que evita la estática. (2) Agentes adicionados a una formulación para evitar que se acumulen cargas estáticas sobre la pieza terminada. ANTRAQUINONICOS Serie de colorantes que se derivan de la antraquinona, son muy usados en la industria textil y poseen baja toxicidad. ATACTICO Arreglo molecular, en el que la cadena principal tiene grupos metilo que cuelgan aleatoriamente de ella. AUTOEMULGENTES Líquidos con elevada solubilidad, que forman una emulsión por sí mismos. No requieren de un emulsificante. AUTOEXTINGUIBLE Característica que poseen algunos materiales plásticos, su estructura evita la propagación de la flama cuando éstos se queman. Una vez que la fuente de calor es retirada, el polímero extingue la flama. AUTOIGNICION Característica de algunas substancias que producen flama o explosión bajo ciertas condiciones de temperatura y presión. AZO Prefijo con el que se designa a los compuestos que tienen un doble enlace nitrógeno-nitrógeno (N=N). Este enlace origina una gran variedad de substancias. AZODICARBONAMIDA Polvo amarillo que sirve como agente de soplado. Se descompone a altas temperaturas en dióxido de carbono, amoniaco y nitrógeno. AZOICO Que tiene grupos azo. B BANBURY Aparato para la combinación de materiales, que consta de un par de rotores que mezclan los componentes en forma homogénea. BEBEDERO Orificio del molde que entra en contacto con la boquilla de la inyectora. El bebedero recibe el material plastificado y lo transporta a las ramificaciones del molde o bien a la cavidad del mismo. BEHENAMIDA Amida derivada del ácido behénico, que a su vez se encuentra en el aceite de cacahuate o del nabo silvestre en bajas cantidades. BENCENO Compuesto químico de gran importancia comercial que posee 6 átomos de carbono en su molécula enlazados a 6 hidrógenos mediante un anillo hexagonal. Es cancerígeno, flamable y se emplea en la fabricación del etil benceno que a su vez es el monómero del estireno. BENZALDEHIDO Es un aceite volátil con un color variable entre amarillo y transparente, su estructura es C6H5CHO, presenta un olor característico semejante al de las almendras amargas. Se emplea principalmente en síntesis orgánicas de colorantes, resinas, perfumes, productos de secado, fotografía y jabones. BENZOFENONA Presenta diversos usos además de ser absorbedor de luz ultravioleta, también inhibe la polimerización del estireno permitiendo almacenarlo y sirve como fijador de aromas en fragancias comerciales o jabones. El compuesto puro forma cristales blancos de aroma dulce, semejante al de las rosas, hierve a 305°C es combustible e insoluble al agua. BENZOFENONAS Diversos compuestos derivados de la difenilcetona, se usan como agentes de curado para resinas epóxicas y absorbedores UV. BENZOICO, ACIDO Sólido blanco combustible, en forma de escamas o agujas cristalinas. Sublima a 100°C insoluble en agua, soluble en alcohol, éter, cloroformo y benceno. Se usa para producir benzoatos, plastificantes, aromas, dentífricos y germicidas. BENZOTRIAZOLES Sales metálicas derivadas de un compuesto llamado bencenoazimida, se usan principalmente como absorbedores ultravioleta. Solubles en alcohol y benceno. BIAXIAL Referente a dos ejes. Cuando una película se estira biaxialmente, a lo largo y ancho. BIODEGRADABLE Que se descompone bajo la acción de agentes biológicos, como insectos o microorganismos. BIOPOLIMERO Polímero soluble en agua generado por la acción de una bacteria sobre un hidrocarburo, la viscosidad del compuesto es semejante a la del agua pero puede incrementarse añadiendo un ión de cromo. BIORIENTACION Arreglo que toman las moléculas de un plástico cuando son forzadas a estirarse biaxialmente. BISFENOL-A Nombre común del isopropilén difenol, forma escamas blancas no solubles en agua, pero disuelven en alcohol y álcalis diluidos como la sosa o potasa. Sus principales usos son la síntesis de resinas como la epóxica y policarbonato. BLISTER PACK Voz inglesa que designa empaques termoformados. BLOW-FILL-SEAL Particularidad de la extrusión-soplo en la que un envase plástico es moldeado, se llena con el líquido a contener y finalmente se sella sin necesidad de una tapa adicional. Soplar, llenar y sellar. BONDEADO Procedimiento para unir material textil con lámina de poliuretano. BOQUILLA Pieza de la unidad de inyección, que aglomera al material donde termina el cilindro, para ser enviado al molde. BUMPER Pieza automotriz que funge como defensa. BUSHING En la extrusión, es el anillo externo del dado que moldea la superficie externa de un tubo. En inyección, es un cilindro en las contrapartes de los pernos y tornillos. BUTANO Gas incoloro estable en el aire, no reacciona con la humedad ni corroe los metales. Producto de la destilación del petróleo explota al contacto con el aire en porcentajes de 1.9 a 8.5 % de gas. Tiene efectos narcóticos cuando se presenta en altas concentraciones. BUTILBENCILFTALATO Fluido aceitoso claro, combustible, usado como intermedio químico en algunas reacciones y plastificante de resinas vinílicas y celulósicas. C CABEZAL Sección final de un extrusor, donde el polímero fundido toma la forma del producto por formar. CABRESTANTE Torno vertical que tira de un cable. CAJA DE PETRI Plato de vidrio con tapa, empleado para el cultivo de bacterias con fines médicos o de investigación biológica. CALANDREADO Producto obtenido por el proceso de calandreo. CALANDREO Proceso para generar láminas o películas plásticas por medio de una serie de rodillos calientes colocados adecuadamente. CAMBIAMALLAS Dispositivo mecánico o hidráulico que permite cambiar una malla cuando ésta se satura de contaminantes. CAPACIDAD CALORIFICA Es la cantidad de calor, que se requiere para incrementar la temperatura en 1°C. CARBONILO Grupo formado por un átomo de carbono unido a uno de oxígeno por un doble enlace, (C=O) es característico en varios compuestos químcos como las cetonas. CARBOXILATO En general, cualquier sal derivada de una amplia serie de ácidos orgánicos que se distinguen entre sí por el número de átomos de carbono existentes en la cadena, que puede ir desde 1 hasta 26. CARBOXILICO, ACIDO Nombre genérico que reciben diversos compuestos que terminan con un radical carboxilo (COOH) son la base de los carboxilatos. CARGA Elemento inerte, barato, adicionado al plástico para hacerlo menos costoso mejorando las propiedades mecánicas, en particular dureza y resistencia al impacto. Generalmente las partículas de cargas son pequeñas a diferencia de los refuerzos. CATALIZADOR Cualquier sustancia que en pequeñas cantidades, aumenta la velocidad de una reacción sin intervenir directamente en la misma, por lo que no se consume. Un catalizador puede ser sólido, líquido o gaseoso, su tiempo de vida media varía entre 1,000 o 10,000 horas después de las cuales debe ser reemplazado o regenerado. CENTIPOISE Submúltiplo del poise, unidad de viscosidad que equivale a una dina por segundo por centímetro cuadrado. CETONAS Familia de compuestos orgánicos que tienen un grupo carbonilo (C=O) entre dos átomos de carbono, las cetonas son usadas como solventes en lacas, pintura y manufactura textil. CIANHIDRICO, ACIDO Posee la estructura HCN, originalmente es un gas que se disuelve en agua para ser comercializado. La solución resultante puede llegar hasta el 97% de pureza. Es un ácido corrosivo y tóxico, por esta razón debe manejarse con precaución, se emplea en la fabricación de acrilatos. CIANOACRILATO Base de adhesivos acrílicos, se vende con inhibidores porque polimeriza al contacto con el aire, el más popular es el cianoacrilato de metilo. CIANURICO, ACIDO También llamado "ácido triciánico", se presenta en forma de cristales blancos carentes de aroma, muy tóxico por ingestión e inhalación. Se utiliza en síntesis orgánicas. CICLOHEXANO Líquido incoloro de olor característico, formado por seis átomos de carbono unidos a 12 de hidrógeno. Es ligeramente tóxico por inhalación y contacto con la piel, se disuelve en acetona, alcohol o benceno. CICLOHEXANOL Líquido incoloro oleoso miscible con muchos solventes orgánicos y aceites, es combustible e incendia a 300°C. Es la fuente del ácido adípico para las poliamidas CICLOHEXANONA Líquido de color blanco a amarillento, combustible soluble al agua. Incendia a 420°C es tóxico por inhalación y se emplea en la producción de varios materiales sintéticos, entre ellos el PVC y sus copolímeros. CICLOOCTADIENO Existen dos compuestos con este nombre, el primero de ellos es 1,3-ciclooctadieno es un intermedio en la producción de otros compuestos. El segundo es 1,5-ciclooctadieno, líquido obtenido al producir resinas que destila a 151°C. CICLOOLEFINA Hidrocarburo alicíclico con dos o más enlaces dobles, como el ciclopentadieno o el ciclooctadieno. CIZALLAMIENTO Cortadura, esfuerzo cortante. CLOROBENCENO También llamado cloruro de fenilo, es un líquido que se evapora en el aire tiene su origen en la reacción entre el benceno y una corriente seca de gas cloro. Básicamente se emplea como disolvente. CLOROFILA Substancia presente en la mayoría de los vegetales, es responsable de la coloración verde de los mismos. No es tóxica, forma una cera de tonos verdes según el tipo de clorofila que se trate, se conocen tres variedades. CLOROPRENO Se presenta como un líquido incoloro que hierve a 59°C, es soluble en alcohol y ligeramente soluble al agua. Su aplicación principal radica en la elaboración de neopreno. CLORURO DE METILENO Líquido volátil, de olor penetrante semejante al éter, no es flamable pero es narcótico y carcinógeno, también conocido como dicloro metano Es útil como desengrasante, agente de soplado y removedor de pinturas. CLORURO DE VINILO Gas de olor etéreo, monómero del PVC. Puede explotar al contacto con el aire, por eso se maneja en forma líquida en las plantas de polimerización mediante sistemas a presión. COEXTRUSION Técnica en extrusión que permite unir dos o más capas de plástico recién salidas del extrusor, cuando aún no son totalmente sólidas, en ocasiones se utiliza una capa intermedia de material como adhesivo. COLADA En un molde de inyección ó transferencia, el canal usualmente circular, que conecta la esprea con la compuerta de la cavidad del molde. COLAPSAMIENTO Contracción de un mecanismo por reducción de fuerza. COMMODITE Voz inglesa. Nombre que reciben los materiales de alto consumo. COMONOMERO Monómero alterno que se adiciona al reactor de polimerización con objeto de modificar las características del producto obtenido COMPATIBILIZAR Facilitar la unión de dos o más polímeros que inicialmente son dificiles de incorporar debido a su naturaleza. Generalmente la compatibilización requiere de una sustancia que trabaje como intermedio entre los materiales a unir. COMPOSITE Recibe este nombre todo el plástico que está reforzado con fibra de vidrio o de carbono. COMPOSTA Mezcla de basura orgánica que se deja fermentar. CONTRAFLUJO En inyección, se denomina así al flujo de material plástico que intenta regresar al cañón de la máquina. COPOLIMERO Si en la reacción de obtención de un polímero, intervienen dos monómeros, se obtiene un copolímero. Los hules termoplásticos son ejemplos de copolímeros, como el EPDM copolímero de etileno-propileno. COPOLIMERO RANDOM Copolímero etileno-propileno. El término random se debe a que el etileno se inserta al azar en la cadena del polipropileno CRAQUEO Efecto que se presenta cuando una molécula de polímero se rompe. CRESOL Líquido amarillento o rosáceo con olor fenólico que hierve entre 191 y 203°C. Es irritante, ataca la piel que puede absorberlo cuando está en el aire, se emplea como desinfectante, intermedio en diversas reacciones, manufactura de resinas sintéticas y herbicidas. CRIOGENIA Rama de la ciencia que estudia la materia por debajo de los 200°C, como el oxígeno líquido. CRISOLITA Silicato de hierro y magnesio que se encuentra en forma mineral en algunas rocas, meteoritos y escoria de altos hornos. Su importancia radica en la manufactura de cementos y refractarios. CRISTALINIDAD Arreglo estructural, donde las cadenas de un polímero se acercan unas a otras formando "zonas cristalinas" que impiden el paso de la luz. CROMATOGRAFIA Procedimiento de laboratorio empleado en la sepaaración e identificación de sustancias presentes en una muestra que se somete al análisis. Existen varios métodos cromatográficos, sobre papel, en fase gaseosa o líquida. CROMOFOROS Grupo funcional que imparte color en algún compuesto aromático, en ocasiones, los colorantes se clasifican de acuerdo al cromóforo. CUMENO Soluble en alcohol, éter y benceno. Insoluble en agua, es combustible por lo que presenta riesgo de incendio. Se emplea en la producción de acetona, fenol, -metil estireno y como solvente. CURADO Cambio de fase en un material, que pasa de líquido a sólido por efecto de una reacción de polimerización o entrecruzamiento. CHILLER Equipo de enfriamiento que mantiene los fluidos de refrigeración a determinada temperatura. Su funcionamiento se basa en un depósito y una bomba. D DECAPADO Procedimiento para eliminar la capa superficial de alguna superficie gracias a la acción de ácidos minerales como el sulfúrico o fosfórico. La concentración y la temperatura del ácido determinan la profundidad del decapado. DEGRADACION Deterioro en las propiedades del polímero, pérdida de transparencia, amarillamiento, alteración del peso molecular por la acción de solventes, decremento de las propiedades mecánicas por fatiga, oxidación por calor excesivo y degradación biológica. DEHUMIDIFICACION Retirar el vapor de agua (humedad) presente en el aire. DEPOLIMERIZACION Degradación de un material plástico o polimérico en el que las cadenas moleculares rompen sus enlaces. DESHIDROGENACION Proceso donde químicamente se retira hidrógeno de un compuesto. DESMOLDANTE Película de alguna substancia que facilita la extracción de la pieza. Usualmente se esprea desmoldante de silicón sobre la cavidad del molde. DESMOLDEO Etapa de un proceso como inyección o termoformado, donde la pieza se retira del molde después de tomar la forma deseada. DESORCION Operación contraria a la adsorción, que elimina los átomos de una substancia enlazados a otra. Puede efectuarse elevando la temperatura, bajando la presión o por la presencia de una sustancia adsorbida con mayor intensidad. DEVOLATILIZACION Eliminación de materiales volátiles en algún proceso, generalmente extrusión donde se permite que los oligómeros y otros gases sean eliminados mediante adaptaciones en los equipos. DIAMINA Compuesto químico que tiene dos radicales amino en su estructura molecular. DIATOMACEA Material con 88% de sílice, obtenido de fósiles de algas. Soluble en ácido clorhídrico y álcalis fuertes como la sosa. Tiene propiedades clarificantes, decolorantes y filtrantes, además de ser un agente espesante para plásticos y caucho. DIAZOMETANO También llamado “Azilmetileno”, es un gas amarillo que puede explotar al agitarse o al contactar metales alcalinos, presenta una toxicidad elevada. Su estructura es CH2=N=N DIAZOTACION Reacción química entre una amina aromática con ácido nitroso para obtener un compuesto diazóico. DIBUTILFTALATO Líquido oleoso, incoloro, sin olor, insoluble en agua. Se obtiene al hacer reaccionar alcohol butílico con anhídrido ftálico. Flamable, incendia a 398°C empleado en la fabricación de adhesivos, tintas, también como plastificante y agente lubricante DICARBOXILICO Denominación para algún compuesto orgánico que tiene dos radicales COOH en su estructura, éste término se emplea comúnmente para los ácidos orgánicos como el ortoftálico. DICER Voz inglesa que designa una herramienta de corte empleada en la producción de pellets. DICICLOPENTADIENO Sustancia empleada en pinturas, resinas, barnices y compuestos del ferroceno, soluble en alcohol. Es inflamable con riesgo de incendio. DICLOROETILENO Líquido incoloro que se descompone lentamente al entrar en contacto con el aire, la luz y la humedad. Es flamable, tóxico e irritante, generalmente se emplea como solvente en la extracción de tintes, polimerizaciones u otras reacciones químicas. DICLORURO DE ETILO Es un líquido incoloro también conocido como dicloroetano, de aroma semejante al cloroformo. No es corrosivo y puede mezclarse con diversos solventes orgánicos, ligeramente soluble en agua es usado en la producción de cloruro de vinilo, pinturas, barnices y desengrasante de metales entre otros usos. DIE LAND Labios de la boquilla en una máquina de inyección. DIENO Compuesto que tiene dos dobles enlaces, el más conocido es el butadieno. DIHIDROXIBENCENO Compuesto que presenta un anillo bencénico con dos radicales hidroxilo, se forman tres isómeros, que tienen diferentes usos. Entre ellos destaca el resorcinol y la hidroquinona. DIISOCIANATO Nombre genérico de los compuestos que tienen dos grupos isocianato (-NCO) en su estructura, se generan a partir de diaminas. Principalmente se usan para producir espumas de poliuretano y elastómeros. DILATANTE Material que disminuye su fluidez al agitarse, incrementando su viscosidad. Este comportamiento es contrario al concepto de pseudoplástico. DILUCION Disminuir la concentración de un compuesto en otro, agregando más solvente. DIMERO Molécula donde la unidad estructural, llamada monómero se repite dos veces. Puede considerarse un oligómero. DIMETIL FORMAMIDA Solvente miscible con agua y otros diluyentes orgánicos, se conoce con las siglas DMF es un fuerte irritante a la piel. DISULFURO DE MOLIBDENO Polvo negro cristalino, su estructura lleva un átomo de molibdeno por dos de azufre (MoS2) soluble en ácidos fuertes como el agua regia y el ácido sulfúrico, se usa en lubricantes y dispersiones grasas. DUREZA La resistencia de un material plástico a la compresión y al mellado. Los métodos de prueba más importantes para ésta propiedad son: Brinell, Rockwell y Shore. DUREZA BRINELL Prueba de dureza, en la que una esfera se presiona contra una superficie bajo condiciones conocidas, para medir el diámetro de la impresión. DUREZA ROCKWELL Un método común de prueba de materiales plásticos para resistencia al mellado en el cual un diamante o bola de acero, bajo presión es usada para penetrar el espécimen de prueba. La carga usada es expresada en kilogramos y el peso de 10 Kg. DUREZA SHORE Prueba aplicada a los materiales para determinar su dureza mendiante un aparato llamado durómetro. E EFLUORESCENCIA (Chalking). Residuo de polvo que aparece en la superficie de un material, generalmente a consecuencia de la degradación ELASTOMERICO Parecido a un elastómero, que recobra su forma después de estirarse. ELASTOMERO Son materiales capaces de recuperar su forma después de someterse a un esfuerzo o tensión, generalmente son hules. ELECTROLISIS Fragmentar una substancia en iones a través de una corriente eléctrica. Los iones producidos se depositan en los electrodos utilizados. ELONGACION Incremento en la longitud de una muestra debido a una tensión que se aplica sobre ella. Generalmente se expresa como un porcentaje de la longitud original. EMPAQUETAMIENTO Llenar la cavidad del molde con plástico fundido. EMULSIFICANTE Agente que genera una emulsión, mezcla entre substancias que no se incorporan sin éste elemento. La característica de una emulsión es la formación de microesferas. Sinónimo emulgente. ENDOTERMICO El término se aplica a las reacciones o procesos que absorben calor del ambiente que los rodea. (2) Que absorbe calor del medio que lo rodea, cuando en el reactor se está efectuando una reacción endotérmica, éste se enfría. ENTALPIA Cantidad de calor que se calcula al sumar la energía interna y el producto de la presión por el volúmen de un sistema donde se ha efectuado un calentamiento, es decir: H=U + PV donde H es la entalpía. ENTRECRUZAMIENTO Es una característica de las estructuras químicas de los plásticos, reconocida por la formación de enlaces entre las cadenas moleculares. La estructura entrecruzada impide al plástico fundir, particularidad de los termofijos. ENTROPIA Cantidad de energía no disponible en un sistema, es una medida del desorden existente entre las moléculas de una substancia. EPDM Abreviatura inglesa de los elastómeros obtenidos del etil-propildieno. (Ethylene-Propylene Diene Monomer) EPOXICO Basado en óxido de etileno, las resinas epóxicas son derivados de la condensación del bistenol A y la epiclorhidrina. EPR Siglas del hule etileno-propileno (Ethylene-Propylene Rubber) ERUCAMIDA Sólido combustible que funde entre 75 y 80°C se disuelve en alcohol isopropílico y se emplea para disolver resinas y ceras. Es un agente antibloqueo para las películas de Polietileno. ESCR Siglas en inglés para Enviromental Stress Cracking Resitance, es la resistencia a las fisuras causadas por un medio químico, sobre un cuerpo bajo tensión. ESFERULITAS Están presentes en la mayoría de los plásticos cristalinos y son aglomeraciones esféricas de cristales, su diámetro varía desde algunas decenas de micrómetro hasta varios milímetros. ESPECTRO Gráfica obtenida mediante instrumentos de análisis, se genera por la vibración de los radicales de una substancia, la imagen producida permite identificar o diferenciar componentes. ESPINERETA Tipo de dado de extrusión, consiste en un plato metálico con múltiples orificios por donde pasa el material plástico. Con éste dado se producen filamentos. ESTEARATO Sal derivada del ácido esteárico, generalmente metálica, usada como lubricante. ESTEARICO, ACIDO También llamado ácido n-octadecanóico, no tiene olor, ceroso al tacto, soluble en alcohol, éter, cloroformo, insoluble en agua. Combustible, no tóxico. ESTER Nombre que reciben los compuestos con un grupo funcional (-COO-) Se obtienen a partir de un ácido carboxílico y un alcohol siendo el metanol el mas usado por producir ésteres de metilo que son destilados fácilmente. ESTEREOESPECIFICO Característica de un polímero, que se da cuando diversos grupos de átomos, tienen un orden fijo y definido en el espacio con respecto a otros. Un catalizador estereoespecífico es aquél que favorece la formación de estos materiales. ESTEREOLITOGRAFIA Proceso para crear piezas plásticas tridimensionales a partir de los datos provenientes del diseño asistido por computadora y un láser que reacciona químicamente sobre un polímero sensible a él. Esta tecnología permite obtener prototipos con mayor rapidez que los procedimientos artesanales. ESTEREOQUIMICA Rama de la química que estudia el arreglo de las moléculas en el espacio tridimensional. ESTERES MONTANICOS Compuestos oxigenados derivados de la cera montana de origen mineral, con diversos usos: pastas adhesivas, cera para muebles y calzado. ESTERICO Efecto que confiere un arreglo a las moléculas en el espacio o impide la reacción con otra molécula. ETILENO Gas explosivo que al polimerizar produce polietileno bajo condiciones de presión y temperatura. EXOTERMICO Que desprende calor. Es un comportamiento característico de ciertas reacciones químicas, que al mezclarse para formar un compuesto nuevo calientan el recipiente donde se efectúa la reacción. EXTINGUIDOR Equipo utilizado para detener un incendio. EXTINTOR Sustancia contenida en un extinguidor para sofocar el fuego. EXTRUSION Método de transformación donde un plástico es forzado a pasar a través de una abertura con forma definida, previa fusión del mismo. EXTRUSOR RAM Tipo de extrusión, en el que se empleaba un pistón reciprocante para materiales con muy bajo índice de fluidez, actualmente en desuso. EYECTOR Cualquier pieza o elemento que facilite la expulsión de algo. En inyección existen pernos que empujan al producto fuera del molde, son llamados botadores. F FADOMETRO Equipo donde se efectúan pruebas de envejecimiento acelerado, empleando luz ultravioleta y agua. Se conoce también como "weatherometer". FENOL Cristales blancos que cambian a color rojo o rosa bajo la influencia de la luz o impurezas. Se torna líquido cuando absorbe agua del aire ambiente, es tóxico por ingestión e irritante a la piel, funciona como biocida, desinfectante y en la fabricación de materias primas para diversas resinas plásticas. FERROCENO Complejo de hierro y dos moléculas de ciclopentadieno, sólido anaranjado tóxico al calentarse, insoluble al agua. Se utiliza como recubrimiento en satélites y cohetes, aditivo en aceites de combustión para minimizar el humo generado. FIBRA DE ARAMIDA Tejido de Poliamida que se distingue por soportar altas temperaturas, algunas de estas fibras soportan impactos balísticos. FLASH Voz inglesa, usada para referirse a las rebabas. FLUJO NEWTONIANO Corresponde a un líquido que no cambia su viscosidad cuando es agitado, por ejemplo, el agua responde uniformemente a la fuerza aplicada sin cambiar su viscosidad. FLUJO NO NEWTONIANO Fluido que altera su viscosidad al agitarse, ya sea para aumentar o disminuir, según la naturaleza del líquido. Los plásticos son fluidos no newtonianos porque su viscosidad baja al agitarse en estado fundido. FLUOROCARBONO Nombre genérico que designa a los hidrocarburos que tienen átomos de flúor en vez de hidrógeno. Aunque no son flamables, reaccionan violentamente con bario, sodio y potasio, su uso radica en los solventes, refrigerantes y extinguidores. También se emplean como agentes de soplado. FLUOROELASTOMERO Polímeros de naturaleza elastomérica que contienen flúor, pueden ser homopolímeros o copolímeros. Son amorfos, estables al calor, resisten el ataque de solventes y substancias químicas. FORMALDEHIDO Gas conocido como metanal, es el primero del grupo de los aldehídos, se presenta comercialmente en solución de agua y alcohol. Encuentra aplicaciones en las resinas uréicas, melamínicas, fenólicas y acetálicas. FORMAMIDA Líquido oleoso higroscópico, por lo que se disuelve en agua o alcohol. Además de emplearse como absorbedor de luz ultravioleta, sirve como solvente e intermediario en síntesis orgánicas. FORMICO, ACIDO También llamado ácido metanóico, es el primero de la serie de ácidos orgánicos, es un líquido incoloro de olor penetrante que ataca la piel. Se emplea en el teñido textil, fabricación de insecticidas, además de plastificante de materiales vinílicos. FOSFATO DE TRICRESILO Líquido estable incoloro, hierve a 420°C y cristaliza a -35°C, también es combustible e incendia a 410°C. Sirve como plastificante y retardante a la flama, es tóxico por ingestión o absorción cutánea. FOSGENO Puede presentarse como líquido o gas, de incoloro a ligeramente amarillo, es muy tóxico por inhalación e irritante a los ojos. Sus aplicaciones principales son las reacciones químicas y la síntesis de resinas poliuretano, policarbonato e isocianato. FOTOPOLIMERO Material polimérico sensible a la luz, de manera que reacciona al ser expuesto a ella. Se emplean en placas litográficas y de imprenta. FOTOQUIMICA Rama de la química que estudia las reacciones que tienen lugar bajo el efecto de la luz, además de la influencia de ésta en el comportamiento de diversas sustancias. FOTOSENSIBLE Que reacciona o cambia por efecto de la luz, formando nuevas substancias o modificando su estado de sólido a líquido. FRACTURA DEL MELT Inestabilidad en el flujo, que se manifiesta con la formación de estrías superficiales en el extruído. FREON Nombre comercial de varios productos refrigerantes fluorocarbonados, su uso ha disminuido por dañar la capa de ozono. Se emplean como aerosoles, equipo contra incendios y agentes de soplado. FTALICO, ACIDO Es un ácido orgánico que tiene dos radicales carboxilo unidos a un anillo bencénico, forma cristales blancos que disuelven en alcohol, empleados en reacciones de laboratorio y farmacéutica. FTALOCIANINA Pigmento verde o azul, la molécula es muy simétrica y lleva un átomo de cobre en el centro. FTALOFCIANINAS Nombre genérico de los compuestos que pigmentan materiales de color verde o azul. FUMARATO Sal derivada del ácido fumárico, véase. FURANO También conocido como tetrol o furfurano, es un líquido soluble en éter o alcohol su color puede cambiar de transparente a pardo al paso del tiempo. Es tóxico, inflamable y forma peróxidos con el aire del ambiente, se emplea en síntesis orgánicas. G GASKETS Perfil plástico que puede o no reforzarse, sirve como sello para fuga de fluidos líquidos o gases. GAYLORD Voz inglesa empleada para designar un recipiente donde se contiene plástico, usualmente con un volúmen aproximado de un metro cúbico. El contenedor consta de una bolsa donde el material reside y una caja que a su vez soporta la bolsa. GEL COAT Voz inglesa, que implica una preparación de resina poliéster insaturada que se aplica sobre el molde, endurece y se adiciona el material reforzado, para conformar una pieza. La capa de gel coat formará parte del producto final, por esta razón suele ir pigmentado. GELAR Estado intermedio de la fase líquida a sólida, que se presenta en diversos materiales plásticos cuando están polimerizando o entrecruzando sus cadenas moleculares. GEOMEMBRANA Recubrimiento empleado en los rellenos sanitarios para evitar la permeación de los contaminantes al suelo, formando una barrera protectora. GLICERINA Alcohol formado por tres grupos OH, sinónimo de propanotriol, es un subproducto de la preparación de jabones y tiene múltiples aplicaciones. GLICEROL Subproducto de la formación del jabón, también llamado “propanotriol”, líquido claro soluble en agua y alcohol. Sirve para fabricar resinas alquidálicas, gomas, humectantes y explosivos. GLICOL Compuesto orgánico semejante a un alcohol, se diferencía de éste por tener dos grupos hidroxilo en vez de uno. GLICOLISIS Romper una molécula mediante la acción de un glicol. GLICOLISIS Degradación mediante azucares que no requiere de aire para efectuarse. GRANULOMETRIA Medición del tamaño de un gránulo o partícula. H HALOGENACION Reacción química mediante la cual, se adiciona un átomo de halógeno a un compuesto generalmente orgánico, siendo dichos átomos de cloro, bromo, yodo y flúor. HALOGENO Cualquiera de los elementos químicos del grupo VII A de la tabla periódica: Cloro, bromo, yodo, flúor y astato. La halogenación implica incorporar alguno de ellos en otra substancia. HDT Siglas empleadas para designar la temperatura de deflexión bajo carga. HETEROCICLICO Característica de varias substancias que tienen un anillo, usualmente con uno o más atomos distintos al carbono. HIDRACINA Líquido transparente que desprende vapores, arde a 52Oc. Obtenido mediante la reacción de sosa, cloro y amoniaco. Interviene en la fabricación de drogas contra la hipertensión, como catalizador y agente de soplado. Peligro de incendio al calentarse. Muy tóxico por inhalación e irritante a la piel. HIDROCARBURO Substancia química compuesta sólo de átomos de hidrógeno y carbono, de ahí su nombre. Se considera al petróleo como la mayor fuente actual de estos compuestos. HIDROCARBURO SATURADO Se llama así al compuesto que sólo tiene enlaces simples en su conformación. HIDROCARBUROS ALIFATICOS Son substancias saturadas, porque no tienen dobles enlaces ni anillos bencénicos. La gasolina y el propano son buenos ejemplos de estos materiales. HIDROCARBUROS AROMATICOS Denominación común que reciben las cadenas hidrocarbonadas que presentan uno o más anillos bencénicos en su estructura. Un compuesto de 6 átomos de carbono con 6 de hidrógeno. HIDROCLORICO, ACIDO El término es un sinónimo para el ácido clorhídrico, formado por un átomo de hidrógeno y otro de cloro, este producto es un gas que se disuelve en agua para manejarlo con mayor facilidad. Cuando se encuentra en fase gaseosa se denomina cloruro de hidrógeno. Comercialmente es un líquido transparente o ligeramente amarillo. HIDROFILICO Que tiene afinidad al agua. HIDROFOBICO Compuesto o substancia repelente al agua, incompatible con ésta, característica de las aceites, grasas, resinas y algunos polvos. Contrario a hidrofílico. HIDROFOBO Que repele el agua o la evita. HIDROQUINONA Cristales blancos solubles en alcohol, agua y éter, funden a 170°C y son combustibles. Se usan como revelador fotográfico, inhibidor de algunas polimerizaciones, estabilizante de pinturas y barnices. HIDROSULFURO DE SODIO También llamado bisulfuro de sodio, es un compuesto soluble en agua, éter y alcohol. Se presenta bajo la forma de agujas con color variable, transparentes, verdes o amarillas, formando vapores tóxicos al contacto con ácidos. Los cristales funden a 55°C encontrando uso en la fabricación de papel además de textiles. 2-HIDROXIBENZOFENONA Sólido que hierve a 41°C y hierve a 210°C, insoluble en agua es un absorbedor de luz ultravioleta. HIDROXILO Radical compuesto por un átomo de oxígeno y otro de hidrógeno, es característico de los alcoholes. También llamado oxhidrilo. HIGROSCOPICO Material que absorbe agua. HIPOACUSIA Término empleado para describir a la sordera causada por las actividades laborales de una persona. HOMOPOLIMERO Un polímero consistente de sólo una especie monomérica. HOT MELT Adhesivo termoplástico, sólido a temperatura ambiente. Cuando se calienta funde y puede ser aplicado. HOT STAMPING Técnica de decorado que se basa en una impresión sobre el plástico, mediante calor y presión. No requiere de solventes, secado o tratamientos preliminares, se denomina estampado en caliente. HTV Elastómeros de silicón que requieren calor para vulcanizar. HUSILLO Elemento metálico de geometría helicoidal que plastifica los polímeros girando en un cilindro hueco llamado barril o cañón. Los diseños empleados en los husillos varían en función de los requerimientos del material plástico y del proceso de transformación. HUSILLO DEVOLATILIZADOR Variante del husillo convencional de proceso, basa su funcionamiento en una sección del tornillo que presenta un diámetro menor. De esta forma no hay presión sobre el plástico fundido y se permite la salida de materia volátil del proceso. HUSILLO RECIPROCANTE Un sistema de extrusor donde el husillo es empujado hacia delante por el polímero fundido. Cuando se ha acumulado suficiente material fundido, el husillo se mueve hacia atrás. I IMPREGNANTE Agente adhesivo para unir películas de diferentes materiales. INHIBIDOR Cualquier substancia que impide o retarda una reacción, generalmente usada para evitar la polimerización prematura de alguna resina reactiva. INICIADOR Agente que promueve la polimerización de un monómero, a diferencia de un catalizador el iniciador se consume en la reacción. Los peróxidos y otros compuestos similares se usan a menudo para formar radicales libres. INOCUIDAD Inocuo, producto que no reacciona o hace daño INSATURACIONES Un polímero puede tener dobles enlaces en sus cadenas después de haber polimerizado, a esos materiales se les conoce como insaturados y las insaturaciones reaccionan, al momento de transformar al plástico, volviendose enlaces simples. Una estructura insaturada genera polímeros termofijos. INTEMPERISMO Exposición a la intemperie o sus efectos, por determinado tiempo. INYECCION Técnica de moldeo en la que se pueden formar piezas plásticas de geometría compleja. El proceso se basa en un husillo que inyecta plástico fundido dentro de un molde, donde el material toma la forma deseada. ION Se denomina así al átomo o grupo de átomos que se carga eléctricamente al perder o ganar, uno o más electrones. IONIZABLE Significa que las moléculas se pueden separar en iones. Esto sucede en algunas sales al disolverlas en agua. IONIZADOR Instrumento que despide partículas con carga eléctrica, llamadas iones para neutralizar la electricidad estática. IONOMERO Resina polimérica en la que los enlaces son iónicos (ver ion) son transparentes y elásticos. Ningún solvente común puede disolverlos totalmente, resisten la ruptura, por esto se emplean en películas o envases. ISOBUTILENO Llamado también isobuteno, proviene de la destilación de gas de petróleo razón por la cual es muy volátil. Altamente flamable y explosivo al aire sirve para producir gasolina de alto octanaje, copolímeros y resinas acrílicas ISOCIANATO Denominación empleada sobre los compuestos que presenten la estructura ( - N = C = O) y por consecuencia, también para las resinas obtenidas al reaccionar con alcoholes ( - OH). Los reactivos se unen mediante enlaces tipo uretano ( - N – C – O -) y de ahí que a ese campo de la tecnología es conocido como química del uretano. ISOCRONICO Proceso donde no hay variaciones del tiempo, es decir a tiempo constante. ISOTACTICO Denominación que reciben los plásticos y en general todos los polímeros donde los grupos de átomos que no forman parte de la cadena principal están situados por encima o por debajo de dicha cadena. IZOD Valor que representa la resistencia al impacto de un plástico. Es una prueba que se efectúa bajo condiciones controladas. J JETTING Voz inglesa, defecto superficial en las piezas inyectadas, característica de flujo turbulento en el plástico fundido. Se conoce como “cola de cometa” L LACTAMA Amina cíclica que procede de la deshidratación de aminoácidos. LAURATO Producto derivado del ácido láurico presente en el aceite de laurel, nuez y coco. LAURICO, ACIDO Acido graso presente en muchas grasas vegetales, especialmente en el laurel. También se conoce como ácido dodecanóico por tener 12 átomos de carbono en su molécula que termina con el radical carboxilo. LIGANTE Ingrediente de un esmalte que cubre las partículas sólidas y las une al sustrato por recubrir. LITHOLES Grupo de pigmentos de sodio, bario y calcio, baja resistencia a la intemperie. LSR Acrónimo del hule de silicón en fase líquida, por su nombre en inglés “Líquid Silicone Rubber”. M MALEATOS Sales del ácido maléico, maleato de sodio, maleato de etilo. MALEICO, ACIDO Cristales incoloros de aroma débil, solubles en agua, alcohol y acetona. Sirve como conservador para aceites o grasas y teñido de algodón. MALLA Filtro colocado en las máquinas de extrusión para retener las impurezas presentes en el material plastificado. MANDRIL Núcleo usado en procesos de extrusión para formar tubería, película o perfiles. MANIFOLD Anglicismo correspondiente a distribuidor. MANITOL Alcohol de seis radicales (-OH) que forma cristales blancos que sirve como base para tabletas y endulzante dietético. MASTER BATCH Compuesto de plástico con alta concentración de uno o varios aditivos, está diseñado para usar las cantidades apropiadas del aditivo sobre la resina base, los master batch de color son ampliamente usados para varios plásticos como método para obtener tonos uniformes de color. MAZAROTA Sinónimo de colada. Material plástico excedente resultado del recorrido del mismo por las ramificaciones y bebedero del molde. MEDIA Término estadístico que significa el promedio de una serie de datos o mediciones. Un promedio se obtiene al sumar las mediciones y dividir el resultado entre la cantidad de lecturas tomadas. MELT Voz inglesa, denominación común del plástico fundido. MELT INDEX Vocablo inglés del índice de fluidez, que expresa la cantidad de un material que fluye cada diez minutos a través de un reómetro. MEMORIA TERMICA Alteración de la estructura molecular de un plástico por efecto de la temperatura, consecuencia de cualquier proceso de transformación. MERCAPTAENOL Líquido de color blanco, de olor desagradable moderadamente tóxico por ingestión. Empleado en disolventes, insecticidas, colorantes, plastificantes y reactivo bioquímico. MERCAPTANOS Grupo de compuestos que contienen azufre en su estructura, flamables y tóxicos por inhalación. Se aplican como aromatizantes debido a su aroma particularmente desagradable para detectar fugas del gas doméstico que carece de olor. MESH Número de aperturas por pulgada cuadrada de una malla. Es el cuadrado del número de hebras de metal o plástico por pulgada lineal. MESOMORFICO Estado intermedio entre cristalino y amorfo. METACRILICO, ACIDO Es la base de las resinas acrílicas, que se emplean como plásticos, pinturas y adhesivos. Es un líquido incoloro que hierve a 162°C soluble en agua, alcohol, éter y solventes orgánicos. Polimeriza con facilidad, es combustible. METALOCENO Catalizador organo-metálico de composición definida, usado en la polimerización de algunos plásticos para cambiar el arreglo de las macromoléculas en el espacio. METIL CELULOSA Polvo grisáceo derivado de la celulosa que se hace reaccionar con cloruro de metilo o metanol. Resiste aceites, grasas y es estable a la luz. M.F.I. Siglas en inglés para el índice de fluidez “Melt Flow Index”. MICROPELLET Se refiere a una presentación del plástico bajo la forma de gránulos pequeños semejantes a polvo. MIRISTICO, ACIDO Sólido cristalino grasoso soluble en alcohol, éter y agua. Se emplea en la elaboración de jabones y en la síntesis de aditivos plásticos. MISCIBLE Que se puede mezclar, formando una combinación homogénea MOHS Escala empírica para conocer la dureza de un mineral, donde se asigna el valor de 1 al talco y 10 al diamante, llamada así en honor de su creador Friederich Mohs. Dada la existencia de materiales sintéticos con una dureza mayor, la escala se ha extendido hasta el valor 15. MOL Cantidad de una substancia pura, igual al peso molecular en gramos. Por ejemplo, el peso molecular del agua es 18, entonces 18 gramos de agua serán una mol. % MOL Unidad de concentración química que permite conocer la cantidad de una substancia en una mezcla o solución. MOLDE STACK Molde cuyas cavidades se acoplan, con objeto de fabricar más piezas en cada ciclo. MONOAXIAL En un solo eje, en dirección vertical u horizontal. MONOFILAMENTO Hilo de material, obtenido a través de la extrusión. MONOMERO Molécula relativamente simple, que contiene carbono e hidrógeno, puede también tener otros elementos como oxígeno, cloro, flúor, y azufre. Al repetirse varias veces, la molécula forma el polímero a través de una reacción conocida como polimerización. Ejemplos de estas moléculas son el cloruro de vinilo y metacrilato de metilo. En general, toda molécula capaz de enlazarse para formar cadenas de alto peso molecular. MWD Iniciales de distribución de peso molecular (Molecular Weight Distribution). N NAFTA Nombre aplicado a diversos productos obtenidos del petróleo, el diluyente nafta es un líquido flamable y tóxico mezcla de varias substancias químicas. NAFTALENO Compuesto obtenido a partir de aceites de alquitrán, se disuelve en benceno y éter. Forma grumos blancos combustibles que se evaporan con facilidad, comercializados como esferas, escamas o polvo. NECK-IN Expresión empleada en extrusión de dado plano para indicar la diferencia de espesor en el material cuando abandona el dado y cuando se enfría. NEFELINA Silicato de sodio obtenido de algunas rocas ígneas, la manufactura del vidrio y la cerámica constituyen el campo de aplicación de este material cuyos colores varían entre el blanco y el gris con tonalidades amarillas. NEOPRENO Hule sintético disponible en forma sólida, flexible o de espuma, las tres presentaciones tienen aplicaciones muy variadas. También se denomina Policloropreno NITROBENCENO Derivado de la nitración del benceno con una mezcla de ácido sulfúrico y nítrico. Puede presentarse bajo la forma de cristales verdes o como líquido amarillo aceitoso. Es un ingrediente de las pastas para pulir metales, también se emplea en la fabricación de anilina. O OLEAMIDA Polvo color marfil ligeramente tóxico, Además de su uso como deslizante también es aditivo para tintas. Funde a 72Oc. OLEFINAS Familia de hidrocarburos caracterizados por tener al menos un doble enlace en su conformación. También se denominan alquenos y son el monómero de diversos materiales plásticos. Por extensión, una poliolefina es un alqueno polimerizado. OLIGOMERO Polímero de bajo peso molecular, se origina debido a la presencia de pocas moléculas unidas en una cadena pequeña, donde la unidad monomérica se repite de dos a diez veces. Los oligómeros se forman cuando un polímero empieza a formarse o degradarse. ORGANOMETALICO Nombre empleado para cualquier substancia que tenga una estructura orgánica como un hidrocarburo y un metal, unidos por enlaces químicos. ORGANOSOL Dispersión de cualquier sustancia insoluble en un líquido orgánico. El vocablo se aplica en la dispersión de una resina sintética y un disolvente volátil en mas del 5% del peso total, sobre un plastificante. OVILLAMIENTO Acción de ovillar, enrollar, plegar, envolver. P PALMITICO, ACIDO También llamado "acido cetílico" es un ácido graso saturado que se presenta en forma de cristales blancos solubles en éter y alcohol caliente. Sirve para sintetizar aditivos, sales y jabones. Presenta 16 átomos de carbono en su molécula. PAPEL KRAFT Papel fabricado a partir de pino, que se trata con hidróxido de sodio y otras sales obteniendo resistencia en el producto. PARISON Tubo de plástico, a partir del cual se soplan contenedores, juguetes o piezas en general. PCR Partes de aditivo a añadir por cada cien partes de resina PELLET Gránulos de plástico con tamaño regular, de forma esférica o cilíndrica, constituyen la presentación comercial del material. PELLETIZAR Proceso en el que se forman pellets, usando un extrusor cuyo dado tiene muchos orificios por donde sale el plástico con las dimensiones requeridas. Esta operación puede efectuarse en frío o caliente. PENTAERITRITOL Polvo blanco insoluble en benceno, sirve en la fabricación de plastificantes, resinas alquidálicas insecticidas, y pinturas. n-PENTANO Liquido hidrocarburo flamable, obtenido del petróleo. Además de su uso como agente de soplado en plásticos se usa como disolvente y pesticida. PERCLOROETILENO Líquido no flamable ni explosivo, presenta cuatro átomos de cloro unidos a dos de carbono. Puede mezclarse con alcohol, éter y aceites, resulta tóxico por ingestión absorción de la piel e inhalación, es buen desengrasante. PERILENO Pigmentos rojos de varios tonos, con 6 anillos bencénicos, 4 grupos carbonilo 2 átomos de nitrógeno y dos substituyentes, en arreglo simétrico. Los tonos varían en función del substituyente. PEROXIDO Elemento con fuertes propiedades oxidante al tener un enlace oxígeno-oxígeno. Pueden incendiarse al entrar en contacto con materiales combustibles. Se usan para iniciar la polimerización. PEROXIDO Substancia orgánica que presenta un enlace oxígeno-oxígeno en su estructura. Por esta razón los peróxidos son altamente oxidantes, generalmente incendian al contacto con combustibles. PEROXIDO DE BENZOILO Sólido blanco granular que se disuelve parcialmente en agua y alcoholes, incendia a 80°C. Puede explotar al secarse cuando presenta menos de 1% de agua, se usa como agente de blanqueo para grasas, aceites y ceras, además es catalizador en las polimerizaciones. PESO MOLECULAR En el caso de los plásticos, es una medida indirecta de la longitud de las cadenas de un polímero. A mayor peso molecular, mayor longitud en la misma. PESO MOLECULAR PROMEDIO EN NUMERO Se define como el peso total de las moléculas de un polímero, dividido entre el número total de ellas. PESO MOLECULAR PROMEDIO EN PESO Es el peso molecular de un polímero, donde las cadenas de mayor tamaño tienen mayor influencia. Ph Valor que indica la alcalinidad o acidez de cualquier substancia generalmente líquida. El agua pura sirve como referencia de éste parámetro con un valor de 7, una lectura menor implica naturaleza ácida mientras que un valor mayor significa que se tiene un álcali o base. PIN MIXING Término que designa una zona de mezclado en un husillo. PINCH OFF Punto del proceso de extrusión soplo en el que las paredes del párison se cierran y cortan cuando éste entra en el molde. PIRAZOLONA El colorante de pirazolona debe sus propiedades a los grupos cromóforos carbono-carbono y nitrógeno- nitrógeno que contiene, es de naturaleza ácida y se emplea en lana, seda y lacas. PIRIDINA Líquido de olor desagradable que presenta color transparente o amarillento, se disuelve en varias substancias entre ellas el agua, el éter y benceno. Hierve a 116°C e incendia a 693°C, resulta útil en la fabricación de vitaminas, fungicidas además de reacciones químicas. PIROMETRO Instrumento que permite medir temperaturas muy elevadas, como las de un horno de fundición. PITCH En un husillo, es la distancia existente entre un álabe y otro. PLASTICO Material formado por largas cadenas hidrocarbonadas, de naturaleza orgánica, susceptibles de ser moldeados. Sus propiedades varían en función de su conformación química y modificaciones de las que pueden ser objeto (mezclas y aditivos). PLASTIFICACION (1) Fundir un material por efecto de esfuerzo cortante o calentamiento, de manera que sea moldeable. (2) Acción de un plastificante sobre la resina, ésta absorbe al primero, de manera que las partículas resbalan unas sobre otras, suavizando el material. PLASTIFICACION Fusión del plástico por efecto de fricción y calentamiento. También se dice que un material está plastificado si tiene aditivos plastificantes, como en el caso del PVC. PLASTIFICANTE Agentes químicos agregados a las composiciones de plástico para proporcionar flujo y procesabilidad y para reducir su rigidez. Esto es alcanzado al bajar su temperatura de transición vítrea. PLASTISOL Dispersión fina de una resina sobre un plastificante. Comúnmente 50 partes de plastificante por cada 100 de resina forman una pasta que gelatiniza al calentarse a 150ºC. Los plastisoles se usan para moldear resinas termoplásticas, especialmente PVC. PLATE-OUT Mancha originada en las piezas o equipo de proceso debido a la migración de aditivos. POLAR Cualquier sustancia o radical que puede presentar carga eléctrica, las moléculas polares se ionizan en solución e imparten conductividad eléctrica a la solución formada. El ácido sulfúrico, el agua y el alcohol son de naturaleza polar, en tanto que la mayoría de los hidrocarburos no. POLIADICION Reacción de polimeerización donde los monómeros se enlazan sin que se presente la condensación de un subproducto, la poliadición se distingue entre las reacciones de poliomerización porque cada etapa de la reacción procede independientemente de la etapa previa. La migración de un átomo de hidrógeno en cada etapa es la base de la poliadición. POLIBUTADIENO Termoplástico obtenido al polimerizar 1,3-butadieno generándose dos isómeros, el cis y el trans. El primero de ellos se emplea en neumáticos por su resistencia a la abrasión, el segundo tiene menor utilidad comercial. POLICONDENSACION Reacción de polimerización donde se obtienen compuestos de moléculas pequeñas que condensan cuando se verifica el cambio químico. La obtención de Poliésteres se basa en una policondensación al igual que las Poliamidas, en el primer caso se hace reaccionar un diol con un diácido carboxílico para obtener agua como subproducto condensado y un éster como producto principal. Si la condensación se repite cada vez que se une otra unidad a la cadena se produce la “poli condensación”. El suproducto condensado depende de los reactivos utilizados en la reacción, en algunos casos es agua y en otros un alcohol. POLIETER Polímero en que la unidad repetitiva contiene el grupo (C=O). POLIGLICOLES Polímeros del etilenglicol con peso molecular variable entre 200 y 6000 como mínimo. Al variar esta propiedad cambian las demás, pueden ser líquidos densos o sólidos grasosos, son estables al calor, son aplicados como intermediarios químicos, plastificantes, lubricantes y en productos farmacéuticos. POLIMERO Palabra derivada del latín poli = muchos y meros = partes; utilizada para designar materiales formados por la unión de monómeros. Los polímeros pueden ser naturales (lana, algodón) o sintéticos. POLIOL Alcohol que tiene tres o más grupos hidróxido (OH), como los glicéridos y los alcoholes de azúcar POLISACARIDO Polímeros de azúcar formados por más de nueve estructuras sacáridas. POSTCLORADO Denominación que recibe un material que al tener cloro en su molécula, es sometido a un tratamiento secundario para adicionarle más cloro, el PVC puede postclorarse. ppm Abreviación de "Partes por millón" unidad de concentración para soluciones muy diluidas. PREFORMA Forma previa que se le da al plástico antes de moldearlo en forma definitiva. PREPOLIMERO Ver oligómero. PRESURIZACION Someter un recipiente a presión, aumentar la presión existente en un sistema. PSEUDOPLASTICO Materiales que aumentan su fluidez al agitarse, los polímeros de alto peso molecular se comportan de esta manera. Q QUELATO Material que contiene un átomo central metálico en su estructura molecular. Forma enlaces con otras substancias generando anillos, el agente quelante mas común es el EDTA. Los quelatos se usan médicamente contra las bacterias. QUERATINA Proteína localizada en el cabello humano, pezuñas y cuernos animales, no es tóxica pero es insoluble y combustible. QUINACRIDONAS Son pigmentos rojos, magentas y violetas con forma cristalina. Tienen alto costo y tienden al plate out. R RADICAL Conjunto de átomos que pueden unirse a otros modificando sus características químicas, también conocidos como grupos funcionales. El radical -OH está presente en alcoholes mientras que el -COOH concierne a los ácidos carboxílicos. RAFAGA Defecto de una pieza moldeada, donde se forman rayas de varios tonos en la superficie de la misma. REACTIVIDAD Capacidad que presenta un ingrediente o substancia de interactuar con otra, para formar uno o más compuestos diferentes a los iniciales. REBABA Exceso de plástico presente en una pieza a lo largo de la línea de partición. RECHUPE Hueco en un producto inyectado, pieza incompleta. REFRACCION Cambio de la dirección de la luz, al pasar de un medio a otro. Cuando un haz de luz incide sobre la superficie del agua, se refracta. REFUERZO Material fuerte e inerte, unido al plástico para darle fuerza, rigidez y resistencia al impacto. Los refuerzos son usualmente largas fibras de vidrio, aramídicas o de carbón. Para ser efectivo, el refuerzo debe adherirse fuertemente a la resina. REGRANULADO Nombre que recibe el plástico cuando se fragmenta por molienda, después de ser moldeado por algún proceso de transformación. También es conocido por remolido, material de reproceso. REOLOGIA Estudio del flujo de la materia en relación con el esfuerzo y la deformación, debe ser considerada en el moldeo de plásticos porque al fundir se transforman en líquidos viscosos. REOMETRO Equipo empleado para medir la viscosidad de los plásticos fundidos, es el aparato más empleado para determinar el comportamiento reológico de un plástico. El material es fundido en un cilindro provisto de un termómetro y resistencias eléctricas, después se hace pasar por un orificio gracias a la acción de un peso, también es llamado "plastómetro". REOPEXIA Propiedad de un material, que aumenta su viscosidad cuando se agita constantemente. Este comportamiento es opuesto a la tixotropía. Véase tixotrópico. REPROCESO Procesar por segunda vez. Usar el material excedente, rebabas, piezas defectuosas, y coladas, para moldear otros productos aprovechando la cualidad termoplástica de muchos polímeros. RESILENCIA Propiedad de un material, generalmente espumado, de recobrar su forma original después de someterse a cualquier distorsión. RESINA Fluido polimérico denso, viscoso, natural o sintético con alto peso molecular. RESINA REACTIVA Toda aquella resina que requiere de un agente externo para endurecer mientras toma forma en un molde. Entre estas resinas pueden mencionarse poliésteres insaturados, poliuretanos y sistemas epóxicos. RESISTIVIDAD Habilidad de un material para resistir el paso de corriente eléctrica a través de su volumen o superficie. La unidad de resistividad volumétrica es de ohm – cm o de resistividad superficial de ohm. RESORCINOL Cristales blancos que cambian a color rosa cuando tienen impurezas. Producto ligeramente soluble en cloroformo, es un agente de entrecruzamiento para el neopreno, base de algunos adhesivos. RETICULACION Reacción entre las moléculas de un plástico, mediante la cual se forma una estructura tipo red que confiere características definidas al material. RICINOLEATO Compuesto derivado del ácido ricinoléico que a su vez proviene del aceite de ricino, el ácido se usa para acabados textiles y jabones. ROLADO Procedimiento mecánico para dar forma cilíndrica a una lámina plana. Las placas adquieren la forma de un cilíndro incompleto para después ensamblarse y formar un tanque. ROTOMOLDEO Formación de una pieza mediante un molde rotatorio, que gira para distribuir material plastificado sobre sus paredes. RTV 1 Elastómero de silicón que vulcaniza a temperatura ambiente con un componente. El acrónimo se refiere a la notación ". RTV 2 A diferencia del RTV 1, éste elastómero requiere de dos componentes que le permiten vulcanizar a temperatura ambiente. RUTILO Forma natural del dióxido de titanio, con un color rojizo o negro por contener hasta un 10% de hierro. Se utiliza en pinturas, esmaltes y para retirar el óxido del acero. S SACAROSA Azúcar comestible bajo la forma de cristales blancos o terrones, llamada sucrosa sirve como edulcorante, también es importante en las reacciones químicas. SANDBLAST Tratamiento superficial que se fundamenta en el soplado de granos de arena en las cavidades de un molde. Confiere un acabado especial a los productos. SANGRADO Migración de un pigmento o colorante hacia la superficie de la pieza plástica. SCRAP Sobrante del moldeo que no forma parte de la pieza final como rebabas, coladas, piezas defectuosas, en los procesos de extrusión o inyección éste excedente es molido e incorporado al proceso como material remolido. SEBASICO, ACIDO Se presenta en forma sólida, que funden a 133°C solubles en alcohol y éter, el producto se vende con calidad técnica y laboratorio. Además de ser plastificante también es importante en la elaboración de varias resinas sintéticas. SELLADO ULTRASONICO Un método de sellado basado en vibraciones ultrasónicas, la frecuencia ultrasónica (20 a 90 kc). La energía eléctrica es convertida en vibraciones a través del uso de algún transductor magnético ó pieza eléctrica. La presión vibratoria en la interfase del área de sellado desarrolla calor que funde las superficies plásticas efectuando el sellado. SEMICRISTALINO Material polimérico que presenta zonas amorfas y cristalinas en su estructura. SILANOS Compuestos de silicio e hidrógeno, análogos a los hidrocarburos saturados. El más simple de ellos se denomina silano, hidruro de silicio (SiH4). Son flamables muy tóxicos y se emplean como agentes de acoplamiento. SILICATO Substancia que contiene silicio, oxígeno y por lo menos un metal. SILICO, ACIDO Gel de sílice (óxido de silicio hidratado) que se obtiene al acidular una solución de silicato sódico. Se usa como reactivo de laboratorio y como refuerzo del caucho. SILOXANO Compuesto que presenta una cadena de silicio y oxígeno, semejante a los hidrocarburos lineales porque el silicio tiene cuatro enlaces igual que el carbono. De esta forma, cada átomo de silicio está unido a cuatro átomos de oxígeno. SINDIOTACTICO Un polímero vinílico en el cual la estructura lateral está alternada regularmente arriba y abajo del plano del bloque. SINERGISMO Término aplicado a la obtención de óptimos resultados al unir dos compuestos. Alcanzando mejores características que las esperadas de la suma de tales substancias. SINTERIZACION Proceso donde se forma una pieza a través de la unión de polvo plástico o metálico que de difunde en algún medio. SLURRY Suspensión acuosa ligera, como la que se alimenta a un filtro-prensa. SOCLO Perfil plástico usualmente de PVC empleado en construcción, sobre pisos y paredes. SOLUTO Nombre que recibe cualquier componente sólido que se puede disolver en algún líquido. SOLVATAR Acción de los plastificantes sobre las dispersiones de resina, donde el plastificante se adhiere a las partículas dispersándolas. SOLVOLISIS Reacción de un solvente con una substancia para formar otra nueva. SOPLADO Proceso de transformación que genera productos huecos mediante la expansión de plástico reblandecido contra las paredes de un molde. Se clasifica en dos formas: La inyección soplo, que utiliza una preforma apoyada en un perno metálico y la extrusión soplo, que emplea un parison. SORBITOL El nombre de sorbita es sinónimo para éste compuesto, es un alcohol sólido formado por cristales blancos que no tienen olor. Tiene baja toxicidad y está presente en varios frutos. Sirve como plastificante y estabilizador. SULFATO DE HIDRACINA Polvo blanco que puede disolverse en agua caliente pero no en alcohol. Se emplea como catalizador de las fibras acetálica, adhesivo y reactivo de laboratorio. T TACTICIDAD Alineación regular de la estructura de algún polímero en el espacio. TEMPERATURA DE FUSION Es la temperatura, en la cual un material cambia del estado sólido al líquido. TEMPERATURA DE TRANSICION VITREA Conocida como Tg, es el punto en el que un plástico se vuelve semilíquido. Por encima de ésta, el material está fundido y antes de ella presenta rigidez, semejante al vidrio. TEMPERATURA VICAT Punto en el que, la punta de una aguja penetra en un plástico, bajo condiciones estandarizadas. TENSOACTIVO Nombre de cualquier substancia que altera la tensión superficial de un líquido. Esta ultima permite que los fluidos mojen las partículas inmersas en ellos. TENSOFISURACION Agrietamiento por tensión. TERMOFIJO Polímero que solidifica irreversiblemente cuando se calienta por primera vez debido al entrecruzamiento de las cadenas que lo constituyen. La pieza moldeada no fundirá al calentarse de nuevo, si la temperatura resulta excesiva, el plástico se carbonizará antes de fundir. TERMOFORMADO Formar por temperatura. Moldear por calor una lámina termoplástica utilizando presión o vacío de manera auxiliar. TERMOFUNDIBLE Que se vuelve líquido con el calor. TERMOFUSION Volver líquido a un sólido por efecto de la temperatura. TERMOGRAMA Conjunto de líneas que permiten identificar un plástico y su comportamiento frente a la temperatura. TERMOPAR Elemento de medición de la temperatura, que consta de un par de metales que al dilatarse por efecto del calor, envían una señal eléctrica proporcional a la temperatura a la que se encuentren. TERMOPLASTICO Plástico capaz de ser moldeado en repetidas ocasiones, ya que puede fundir y enfriarse. Los miembros típicos de esta familia son los polímeros estirénicos, acrílicos, vinílicos, olefínicos, entre otros. TERPOLIMERO Un sistema polimérico que contiene tres unidades monoméricas, por ejemplo el terpolímero ABS acrilonitrilo butadieno y estireno. TETRACLOROISOINDO-LINONAS Pigmentos amarillos y naranjas que se caracterizan por tener una molécula simétrica con dos anillos bencénicos que a su vez poseen cuatro átomos de cloro. TETRACLORURO DE CARBONO Líquido incoloro de olor característico, no es combustible ni disuelve en agua. Es utilizado como solvente, agente de refrigeración en aplicaciones industriales. TETRAHIDROFURANO Conocido por las siglas THF, es un líquido blanco parecido al agua, de olor etéreo, flamable, que incendia a 321°C. Es utilizado como solvente de varias resinas, tintas o adhesivos. TIEMPO DE TACK Período de tiempo en el que un material es pegajoso, este término se aplica en adhesivos. TIERRAS DIATOMACEAS Material con alto contenido de silicio, proviene de los fósiles de algas, se disuelve en la sosa o potasa por ser álcalis fuertes. Tiene varios usos en diferentes actividades industriales. TIODIPROPIONICO, ACIDO Aditivo aprobado por la FDA para alimentos y envases alimentarios, se utiliza también como antioxidante en grasas, aceites y productos farmacéuticos. TIODIPROPIONICO, ACIDO Sustancia empleada como conservador de alimentos envasados su estructura es S(CH2CH2CO2H)2, aprobada por la FDA, su uso está restringido al 0.02% del contenido en grasa. TIOGLICOLATO ISOOCTOL Tioglicolato de isooctilo, líquido transparente tóxico con débil olor a frutas, empleado en antioxidantes, fungicidas, plastificantes, estabilizadores y modificadores de la polimerización. TITANATO Elemento que genera puentes moleculares entre una carga inorgánica y el polímero, aunque su alcance no se limite a esta aplicación, forma capas reactivas compatibles sobre la superficie orgánica. TITULACION Es un método químico conocido también como “valoración”, empleado para determinar la cantidad de una sustancia en solución haciéndola reaccionar con otra de concentración conocida con exactitud. TIXOTROPICO Es aquél material que aumenta su fluidez cuando se agita, ejerciendo esfuerzo cortante entre las capas del mismo. Cuando la agitación termina, el fluido recobra su viscosidad inicial. TOBERA Sinónimo de orificio o abertura. TRANSDUCTOR Término empleado para cualquier aparato que se active mediante una señal transformando un tipo de energía a otra. Por ejemplo, la energía eléctrica en mecánica. TRANSESTERIFICACION Reacción química que consiste en la formación de un éster a partir de otros dos. TRANSLUCIDO Cuerpo o superficie que permite el paso de la luz, pero no se puede ver a través de él. TREPANAR Sinónimo de taladrar. (2) Perforar un hueso con fines médicinales. TRICLOROETILENO Líquido estable incoloro que reacciona con la luz, no es flamable ni ataca los metales, aún con la presencia de humedad. Tiene olor semejante al cloroformo. Se emplea como desengrasante, diluyente de pinturas y adhesivos. TRIETANOLAMINA Presente como líquido incoloro que hierve a 335°C es higroscópico con aroma de amoniaco, usado como plastificante y supresor de humo. La estructura química de éste compuesto consta de un átomo de nitrógeno unido a tres radicales etóxicos N(CH2 CH2 OH)3 TRIGLICERIDO Nombre que recibe una familia de compuestos que forman grasas y aceites. Son ésteres naturales de los ácidos grasos y la glicerina. TRIOXANO Molécula que consta de ocho o más unidades del formaldehído, se conoce también como triformol o metaformaldehído. Forma cristales blancos que funden a 62°C solubles en agua, alcohol y éter. Sus usos principales son las reacciones químicas y como desinfectantes. U U.M.A. Siglas de Unidades de Masa Atómica. UREA Polvo blanco que se descompone antes de hervir, presente en la orina y otros fluidos del organismo. Aplicado como intermediario químico, fertilizante, adhesivos y usado en algunos medicamentos. V VELOCIDAD DE CIZALLA Es la velocidad requerida por una capa de polímero fundido para cruzar las paredes de un canal con flujo laminar. VINIL TOLUENO Compuesto ligeramente tóxico flamable, se disuelve en éter y difícilmente en agua. Es un líquido incoloro conocido como metilestireno. VISCOELASTICO Denominación que recibe un material que tiene un comportamiento intermedio entre un líquido viscoso y un sólido elástico. Esta conducta es característica de todos los plásticos en mayor o menor grado. VISCOSIDAD Resistencia que presenta un líquido a fluir, generalmente debido a la fricción entre las moléculas del líquido. VULCANIZACION Reacción química que cambia las propiedades físicas de un hule ó plástico, haciendo reaccionar azufre, calor y material polimérico. Los cambios incluyen disminución del flujo plástico, reducción de dureza superficial, solubilidad, incremento en la elasticidad y resistencia a la tensión. W WOLLASTONITA Silicato natural que se encuentra en algunas rocas. Se utiliza para fabricar pinturas, caucho, papel, refuerzo de fibras para algunos plásticos. X XANTOFILA Materia orgánica que se encuentra en las hojas vegetales, acompañada de clorofila (véase). XILOGRAFO Aparato que emplea tipos de madera para imprimir. Z ZEOLITA Sal inorgánica que contiene óxido de aluminio, sodio, silicio y agua asociados, usada en el tratamiento de aguas residuales porque facilitan el intercambio de iones. Existen zeolitas naturales y sintéticas. ZIEGLER-NATTA Familia de catalizadores esteroespecíficos que deben su nombre a los científicos que los desarrollaron, Karl Ziegler y Giulio Natta. Básicamente son grupos alquil-aluminio o compuestos de titanio, el trietilaluminio, tetracloruro de titanio son ejemplos de estos catalizadores. Ziegler y Natta recibieron el premio Nobel de Química en 1963 por su descubrimiento. ZIRCOALUMINATOS Complejos organometálicos de aluminio y zirconio que modifican la superficie inorgánica, incrementando los niveles permitidos de carga o fibras en plásticos y resinas. Son análogos a los silanos. ZONA DE MEZCLADO Sección del husillo donde el plástico se somete a esfuerzos mediante un maquinado especial, existen diversos diseños de estas zonas de acuerdo a las necesidades del material a procesar y del producto. Acrónimos de Plásticos Acrónimos de los Principales Plástico por Consumo Termoplásticos Comodities PP – Polipropileno PET – Polietilén Teraftalato PEAD – Polietileno de Alta Densidad PEBD – Polietileno de Baja Densidad PELBD – Polietileno Lineal de Alta Densidad mPE – Polietilenos – Metalocenos PVC – Policloruro de Vinilo PS – Poliestireno EPS – Poliestireno Expansible “Unicel” PSI – Poliestireno Impacto EVA – Etil Vinil Acetal Termoplásticos de Ingeniería ABS –Acrilonitrilo Butadieno Estireno PC – Policarbonato PA – Poliamida “Nylon” PMMA – Polimetil Metacrilato “Acrilico” PBT – Polibutilén Tereftalato POM – Polióxido de Metileno “Acetal” SAN – Estireno Acrilonitrilo SB – Copolímero de Estireno Acrilato ASA – Acrilonitrilo Estireno Acrilato PETG – Polietilentereftalato Glicolado Termofijos UP – Resina Poliéster Insaturada SI – Silicón EP – Resina Epóxica PUR – Poliuretano Elastómeros Termoplásticos TPO – Hule Termoplástico Olefínico TPE – Hule Termoplástico Estirénico © Derechos Reservados Instituto Mexicano del Plástico Industrial 2010. .
 

 

Saltar menú
,,,ethanol,mulsionner,mulsion,lectrique,lastomère,lastique,lasticit,,jection,jecteur,chantillon,à,ölen,ölbremse,äthanol,zwischen,zweifarbig,zur,zones,zone,zona,yield,work,with,white,well,welding,weld,weight,water,warpage,warm,wall,vuoto,vulkanisiertes,vulkanisierte,vulcanizzato,vulcanized,vulcanis,von,volum,trique,volumique,volumetrische,volumetrica,volumetric,volume,volatili,voie,void,vitesse,vite,vita,viscous,viscosità,viscosity,viscoelasticità,virgin,vinylique,vinylidène,vinylidene,vinyle,vinyl,vinilidene,vinilico,vinile,vie,vide,vicat,vibrazioni,vibrazione,vetro,talco,carbonato,wollastonite,caolino,policarbonato,acrilonitrile butadiene stirene,verniciata,verniciante,verni,vergine,verbrannt,vents,venting,vented,velocità,velocity,vegetale,varnished,variazione,vapore,vapor,vapeur,valvola,valve,vacuum,v,utensili,usin,unter,unten,uno,unlösliches,unitario,unitaire,unit,undercut,under,una,un,umidità,essicatura,deumidificazione,ultrasuoni,ultimate,ugello,type,twotone,tutte,tunnel,tubi,trovaste,trou,trazione,movimento,traverse,travail,trasformazione,trasferimento,transition,transfert,transfer,tramoggia,trafilatura,trafila,sm,tra,tr,torque,torpedo,torch,top,tool,tonnellaggio,tonnage,toggle,break,to,tirata,tirage,tipo,tip,tinto,time,tiebars,tiebarless,tie,rods,tie,bar,ejection,throat,threeplate,thinner,thinwall,thickness,thickener,thermosetting,thermoset,thermoplastischer,thermoplastique,thermoplastic,thermodurcissable,thermocouple,thermische,thermique,thermal,texture,textiles,tessili,terza,terra,termoplastico,termoplastica,termoindurente,termocoppia,termico,termica,terephthalate,tensioni,tensione,tension,tensil,tempo,temperature,temperatura,tecnopolimero,tecnico.,tamis,take off,taglio,tab,s,paration,para,s,gr,gation,synth,tique,synthèse,synthetische,synthetic,svergolamento,surface,sup,rieur,superposition,superficiale,suck,submarine,sub,su,stroke,stresses,stress strain,stress,strength,streak,stratifi,s,stratificanti,strati,strates,strain,stockage,stiffness,sticking,steam,stationary,staticità,statiche,stampo,stampatura,stampato,stampata,stampaggio,staccio,stabilizzante,stabilizer,stabilità,stability,stabili,spurgo,spugnoso,spugna,sprue,spots,spongieux,sponge,spirit,spina,spessore,speed,speck,specifico,spazzola,spazio,spalmatrice,spalmata,spacer,space,sovrastampaggio,sovra,sous,sottosquadro,sottomarina,sotto,sottile,sono,solventi,solvant,soluzione,solution,soluble,solubile,solidificazione,solidificata,solforico,solfati,sm;smorzatore,slug,slate,skin,size,sito,sintetico,sintetica,sink,sieve,sia,shrinkage,shot,short,shoit,shhet,shelf,sheets,shear,sforzo,sformo,sfoghi,sfiati,sf,settore,setola,set,resistenza,invecchiamento,ageing,analisi,e,senza,semicristallino,semicrystalline,segregation,segni,secondo,secco,screw,screpolatura,scorrimento,scolorimento,scelta,scellement,sbiadimento,sandwich,sample,saline,saldatura,s,r,ticulation,r,ticulant,r,sine,r,g,n,r,e,r,glage,rupture,runners,runnerless,runner,rugiada,rubber,rpm,rottura,rotomolding,poltrusione,rotazione,rosin,rod,ritiro,ritardata,ritardanti,risucchio,ristagno,rispetto,riscaldante,riscaldamento,risalita,rinvio,ring,rinforzante,rinfluenzano,rimacinato,rigidità,rigenerata,riferimento,riempitivo,riempimento,richieste,richiede,rib,reversal,return,reticolazione,retard,e,retardants,resinoso,resina,resin bonded,resin,residual,residua,residence,repères,renvoi,renforçante,renforcement,release,relative,relativa,reinforcing,reinforcement,regrind,regenerierte,regenerated,reciprocating,ratio,rate,raschiaolio,rapporto,rapide,ram,rallentata,ralenti,raggrinzimento,raggi,raffreddatore,raffreddamento,racle,raccolta,rabboccatura,questo,qsolo,p,trole,purging,punzonante,punto,punti,puntale,punta,pulv,riser,puller,pudern,pr,formage,protezione,proprietà,processo,processing,pressure,presso,pressione,presse,pressa,press,premiscelati,premiscelate,preghiamo,preforming,preformatura,pozzolanico,pozzolanica,pozzetto,power,powder,povere,pour,poudre,potenza,pot,post ritiro,post moulding,post molding,portata,pond,rale,ponderale,polystyrene,polypropylene,polymère,polymethyl,polymer,polyethylene,polycarbonate,polyamide,poly,methyl,ethylene,polvere,polmonatura,polivinile,polistirolo,polistirene,polishing,polipropilene,polimetilmetacrilato,polimero,polimeri,polietilentereftalato,polietilene,poliammidi,poliammide,poli,metil,point,poe,mah,maleica,plywood,plunger,platens,platen,plateaux,plateau,plate,plastische,plastique,plastificazione,plastificante,plastifiant,plasticizing,plasticizer,plasticating,plastica,plastic,placage,più,piuma,pit,pistone,piston,pin,pigmento,pigment,piastra,piano,piani,ph,nolique,physique,physikalischer,physical,phenolic,phase,pezzo,peso,perte,perno,permittivity,permeabilità,permanenza,permanente,permanent,perdita,percorso,per,pelo,pellicola,pelle,peel,peau;croute,path,passando,passaggio,parting,particolari,parete,par,papier,paper,pad,packing,ph,overmoulding,overmolding,ouverture,ouverte,ottica,ottenuto,osmotiche,orifizio,orifice,orientation,orientamento,organici,orange,or,optische,optique,optical,opening,open,opaque,opaco,omopolimero,oli,oleodinamico,ogni,offene,of,oben,o,nucleazione,nozzle,nostri,normative,non,nitrico,nitrati,nichtelastische,nervatura,nero,nello,necessarie,naturali,natural,n,m,thanol,m,lange,multiples,multiple,multicomponente,multicolore,multicavità,multi gating,multi component,multi colour,multi color,multi cavity,muffa,moving,movable,mousse,moul,mouler,moule,moulding,moulded in,moulded,mould,moulage,motor,monomero,monomer,monocappa,mol,culaire,molto,molti,molecular,molecolare,molding,mold,moisture,modulo,modellabili,mobile,mixed,mit,minerali,mineral,mfr,mfi,allungamento,flessione,metro,metilico,methanol,methacrylate,metering,meteorica,metanolo,metalli,metacrilato,mescolanza,mescola,mento,melting,melt,medie,medicale,mechanical,matière,materozza,materie,materia,shore,durezza,densità,compression,materiale,material,matarozza,masse,maschio,mark,mantenimento,manque,mano,manifold,mancanza,malte,makromolekulare,f,main,magre,maggior,magazzino,macroporosi,macromol,culaire,macromoleculare,macromolecular,machined,machine,macchine,lunghezza,lumière,luce,loss,longueur,locking,localizzato,local,loading,load deflection,load,lin,aire,lino,linguetta,lineare,linear,linea,line,limite,light,life,lichte,les,lente,lengthwise,length,legno,legante,lega,le,lay up,lavoro,lavoazione,laterale,laser,larghezza,largeur,land,lampant,lampade,lamp capping,laminates,laboratori,la,l'applicazione,l'aggiunta,k,rosène,kurz,kunstharzverleimtes,kristallin,knockout,knit,knife,knapp,kerosine,kerosene,kaolin,kalt,kalibermässige,jonc,joints,jig,jauge,jaquette,isotropico,isotropic,inversione,inversion,intrinsic,intrinseca,interne,intalcare,installed,installata,insoluble,insolubile,inserti,inorganici,injection,iniezione,iniettabili,inghisaggio,informazioni,industria,indurimento,indurente,incurvatura,incompleto,incompleta,incollaggio,inching,in,impregnanti,il,igroscopico,idropneumatico,idromeccanica,idrogeno,idrofugate,idrauliche,idraulica,idonei,i,härtbarer,hygroscopic,hydro mechanical,hydraulic,hot setting,hot,hose,hopper,homopolymer,hole,holding,hold,high,height,heating,heater,heat,head,haut,hardness,hand,guaine,belts,automotive,guaina,gruppo,gravit,gravità,gravity,grassi,grasse,granulatore,granulator,gradiente,gomma,goffratura,gocciolamento,goccia,glue,gloss,glass,givrage,giunzione,giuntare,giri/minuto,ginocchiera,gewölbt,geschlossene,gepresster,geformter,gedrängt,gauges,gate,gas,gas assistito,gas assisted,gardner,gamma,fuso,fusione,fuoco,funghi,anti,frozen,frosting,fronte,front,froid,freezing,freddo,freddi,fredda,freccia,frame,fra,forza,forward,forti,formatura,forma,force,forata,for,fontana,fond,foglie,flèche,flusso,flow,flour,flocon,flock,flash,flame,fixture,fixed,fisso,fissaggio,fissa,fisico meccaniche,fisico,fiocchi,finish,filling,fillers,filler,fillpack,fill,filière,filiera,fili,fibres,fibre,fibrate,fiamma,feutre,feuilles,ferro,fermeture,fenolico,fenditura,feltro,felt,feed,fattori,fase,fascia,fading,f;verjüngung,f;charge,extrusion,extendeur,extender,expansion,expanded,excès,ex.,etilico,ethanol,etanolo,et,estrazione,estrattore,estensori,essiccazione,essiccatore,essiccamento,essa,espulsore,espulsione,espanso,espansive,espansa,es.,entr,es,entre,engineering,enduit,en,emulsione,emulsionare,emulsionamento,emulsion,emulsifier,emulsification,emulgieren,empreinte,elongation,elettrostatica,elettriche.eventualmente,elettriche,elettrica,elektrische,electric,elastomero,elastomer,elastische,elasticità,elasticity,elastica,elastic,ejector,eines,einer,einem,eindicken,efflorescenza,efflorescence,edilizia,elettrodomestico,tools,iso6722,r7,r8,r18.e,edile,edge jointing,edge,ed,eccesso,eau,d,t,rioration,d,shydratation,d,pressionen,d,pouille,d,moulage,d,gradation,d,gazage,d,formation,d,composition,d,coloration,duttilità,dur,e,duret,durcissable,durch,durata,ductilit,ductility,du,drying,dryer,dry,drooling,draft;draw,draft,dowel,dovuto,douille,dosaggio,domed,doctor,docteur,di,lectrique,distribuzione,distortion,distanziatore,distance,distacco,distaccante,disque,disposizione,dispositivo,dispositif,dispertion,dispersione,dispersion,disidratazione,discoloration,disco,disc,direzione,diretta,direction,direct,dimère,dimero,dimer,diluente,diluant,dilatazione,dilatation,diffusivit,diffusività,diffusivity,diffusione,diffusion,difetto,dielettrico,dielettrica,dielektrischer,dielectric,die,diaphragme,diaphragm,diagramme,diagramma,diaframma,di,deumidificata,deumidificanti,deteriorazione,deterioration,desiccant,des,der,density,den,dell’impasto,dell’acido,dello,delle,della,dell'ugello,dell'espulsore,dell'ambiente,dell'acqua,del,dei,dehydratation,degradazione,degradation,degradabili,degasaggio,deformazione,deformation,deflection,defect,decompression,decomposizione,decomposition,dead,daylight,dash,damping,dall'alto,dal,da,jection,jecteur,une,un,injection,iniezione,humidit,extrusion,eau,aria,arancio,apporto,apport,alimentazione,alimentation,acqua,cylindre,cylinder,cycle,cushion,cuscino,cuscinetto,curve,curva,cure,culot,culatta,cuisson,cr,sol,crystalline,crosta,crosswise,crosslinking,crosslinking,cristallino,crine,crin,cresolo,cresol,creep,crazing,craze,cratère,cratere,crater,cracking,crack,course,coul,e,couleur,coubre,cottura,cotton,cotto,cotone,coton,costruzioni,costante,costampaggio,cospargere,corsa,corrosione,corrosion,corps,corpo,core,coprente,coppia,copolym,risation,copolym,re,copolymerization,copolymer,copolycondensation,copolimero,copolimerizzazione,copolicondensazione,cooling,contropressione,controllato,contreplaqu,contrainte d,formation,contraibilità,contenimento,contatto,contattare,contact,constant,conservazione,connecting,conicità,conformatrice,conformatore,conformateur,confluenza,conductivit,conductivity,conducibilità,condensazione,condensation,condensa,con,compressione,compound,compoundare,compostabili,compensato,compattamento,compatibilizzante,fibra,compatibilit,compatibilità,compatibility,commutazione,come,column,coltella,colour,colore,colorante,colorant,colophony,colophane,colonne,colonna,colofonia,collier,colletta,colle,collare,collapse,colla,coleur,cold setting,cold,colata,colabili,coiniezione,coestrusione,coated,coagulazione,coagulation,co injection,closing,closed,cloruro,cloruri,cloroprene,cloro acetato,cloridrico,clearance,clay,classe,clamp,circolazione,ciment,cilindro,ciclo,châssis,chlorure,chloroprène,chloroprene,chloride,chlorac,tate,chiusura,chiusa,china,chimique,chimico,chimica,cherosene,chemischer,chemical,che,chaîne,chauffant,chauffage,chaud,chase,chargement,charge,channel,chambre,chamber,chalumeau,chain,centratura,cemento,cement,cellulose,cellulosa,cellule,cellulare,cellular,cellulaire,cellula,cell,cavit,cavità,cavity,cavi,catena,catalyst,catalyseur,catalizzatore,cas,ine,casting,cassa,caseina,casein,casalingo,cartuccia,cartridge,carta,carro,carriage,carotte,carota,carico deformazione,carico,cariche,caricamento,carica,carboxym,thyl,carboxymethyl,carbossimetilcellulosa,capillare,capacit,capacità,capacity,caoutchouc,cannello,canali,canale,canal,campione,camicia,camera,calore,calendering,calender,caldo,caldi,caldana,calda,gesso,calcio,calcestruzzo,calandre,calandratura,calandrage,calandra,but,e,butyrate,butyral,butirrale,bushing,bush,buse,burned,burn,bulle,buccia,bubbler,bubble,brûl,brunitura,bruciatura,bruciato,bristle,brinatura,brillantezza,brillance,breathing,breaker,bozza,bowl,boudineuse,bottom,bottle,bossage,boss,bomb,bombato,bolster,bolla,body,boccola,bocchettone,bocca,bob,blueing,bloom,blocs,blocking,blockcopolymerization,blockcopolymer,block,blocco,bloc,bleuissement,blend,bleibende,blau,blanket,blanc,black,biniezione,bicolore,between,beschichtetes,benzyl,benzine,benzilcellulosa,profili,beim,bearbeiteter,bavure;toile,bava,bastone,bastarde,basso,barrel,barre,barra,bar,band,baguette,bague,baffle,back,bacchetta,a,rohydraulique,avvallamento,avec,automatisches,automatischer,automatique,automatico,automatica,automatic,au,attrito,attrezzati,attraverso,attenuazione,atmosferici,atattico,ataktisch,atactique,atactic,assorbimento,assistito,assistita,ascendente,asbestos,aria,ardoise,ardesia,appui,apprêt,appretto,apparente,apertura,aperta,antistatico,antiritiro,antioxydant,antioxidant,antiossidante,anticarbonatazione,antiadesivo,antistatique,antistatic,antiadh,rent,anistropy,anistropie,anistropia,anisotropico,anisotropic,anima,angolo,angle,anello,and,anchor,anche,analysis,analyse,an,ampoules,amortisseur,amortissement,amorphous,amorphe,amorph;gestaltlos;nicht,amorfo,ammortizzatore,ammortizzamento,ammonio,amminoplasto,aminoplastic,aminoplaste,amianto,amiante,al,sage,alv,ole,alveolo,altri,alto,alpha cellulose,alpha,allungante,alluminoso,alloy,allongement,allo,alla,all'idrolisi,all'abrasione,alimentazione,alimentation,alimentare,alginato,alginate,alfa,alesaggio,alcool,alcohol,al,air hydraulic,air,ai,agli,agg,agente,agent,affaissement,aeree,adjuvant,adh,sivit,adh,sif,adh,rence,adhesiveness,adhesive;glue,adhesive,adesivo,adesività,adesiva,adesione,aderenza,additivo,additivi,additive,addensare,addensante,ad,ac,to butyrate,ac,tate,ac,tal,acrylonitrile butadiene stirene,acqueo,acquaragia,aceto butirrato,acetato,acetate,acetale,acetal,acc,l,rateur,accumulatore,accumulator,accumulateur,accostamento,accelerator,accelerante,absorption,abrasione,abrasion,abrasimetro,copoliestere,copes,compatibilizzanti,gomme,copoliammide,vinylbutyral,vinylalkohol,vinylacetat,vinylacetal,vichy,ventilato,vdo,v/p,uretano,uv,usp,tpa,astm,iec,ul,sae,fda,eec,turapori,trementina,traspirante,transfer,tixotropia,termoigrometro,termocappotto,tempera,tampone,tpc,tg,teee,t4,supporto,sughero,substrato,stucco,streuung,streichmesser,streckmittel,stratificazione,staggiatura,stab,squamatura,spruzzo,spolveratura,spessimetro,sperrholz,spazzolatura,spannungs,solvente,sollevamento,solidi,solfato,smalto,siliconi,silicone,silice,silicati,sigillante,scagliola,sbiancamento,sanguinamento,sali,sale,sabbie,sabbiatura,sabbia,rückdrückstift,rullo,ruggine,rubb out,rivestimento,ritenzione,ripristino,rinzaffo,rigature,richtvorrichtung,rialcalinizzante,retinamento,resine,residuo,resa,repellenza,reoplastica,reologia,reissfestigkeit,reazione,rasatura,rasante,rahmen,querrichtung,querhaupt,puntinatura,promotori,prodotto,primer,pozzolana,potere,pot life,portland,porosità,pore,polimerizzazione,polimerico,platten,plastificanti,plasticità,pittura,pistola,piombo,pigmenti,pigmentato,pietrischi,piana,phenol,ktw,statico,batterico,funghicida,hard,soft,segment,martindale,isolante,intumescenza,intonaco,intonaci,iniettabile,inibitore,ingiallimento,inerti,inerte,impolmonimento,impermeabilizzante,immersione,igroscopicità,ignifugo,idrosabbiatura,idrorepellenza,idropulitura,idropittura,idrofugazione,idrocarburi,iso,härtung,härte,gesso,formazione,folien,floating,finitura,filzscheibe,filmazione,film,fibrorinforzato,fessure,fessurazioni,evaporazione,essiccante,espansivo,epossidica,entlüften,entformungsmittel,emulsionstyp,emulsionsbildung,emulgierarbeit,elastomerica,elastomeri,termoplastici,tpo,tpv,sebs,sbs,tpu,tpee,tpe a,pvc,tpc et,tpe o,tpe s,tps,tpe v,tpe,elastomere,dispersore,dimere,diluenti,costretti,corporatura,copolymerisation,copolymerisat,copolykondensation,copertura,controspinta,consolidante,conglomerato,composti,colpi,colatura,coesione,coefficiente,cocciopesto,coating,cloro,caucciù,chroma,chloropren,chassis,cere,celluloseacetobutyrat,celluloseacetat,cavillature,caucciù,catrame,catalisi,carteggiatura,carbossimethylcellulose,carbonatazione,carbon,capocchie,capillari,buchse,bruch,bremszylinder,borste,bohrung,blockpolymerisat,blockmischpolymerisation,blocken,blase,benzylcellulose,azione,autolivellante,assorbitori,asfalto,asbest,argilla,appretur,applicabilità,appiccicosità,antyoxidans,antivegetativa,antistatikum,antischiuma,antiruggine,antimuffa,antiacido/a,anschnitt,anlaufen,angusszieher,angussverteiler,angussbuchse,anguss,ancoraggio,ammide,aminoplast,alginat,alchidica,airless,airmix,aggregato,agenti,affresco,aerosol,aerografo,acrilico,acetone,2k,estrusione,pom,pe,pipe,oxo,lama,l'allungamento,l'impatto,charpy,izod,bio,alle,ttir,din,dsc,vischiosa,superficie,ali,resistenza,potenziale,abs,acrilonitrilo,butadieno,estireno,cm,cauchos,polietileno,clorado,acm,elastómero,ster,acrílico,cloroetilvini,ter,cmg,carboxi,metilcelulosa,acs,polietilenoclorado,cn,nitrocelulosa,aes,acrílonítnlo,etilpropileno,co,epiclorhidrina,polímeros,amida,imida,cp,propionato,celulosa,amma,metilo,cpe,anm,copolímero,cpvc,policloruro,vinilo,arp,plástico,reforzado,cr,cloropreno,asa,cs,caseína,poliuretano,poli,ster,csm,dorosulfonado,biir,isobutileno,isopropeno,bromado,csr,bk,baquelita,ctfe,políclorotrifluoro,etileno,br,eco,epjclorhidrina,brp,boro,eea,acrilato,etilo,ca,ep,propileno,cab,acetobutirato,epoxi,cap,acetopropionato,epd,terpolímero,dieno,car,carbono,epdm,cel,celuloide,epe,ester,epoxídico,cf,formaldehído,epfv,vidrio,cfm,cloruro,trifluoretileno,epm,cfrp,epr,chr,eps,poliestireno,expandible,acrónimos,ept,terpolimero,polisulfuro,mdpe,media,densidad,etfe,tetrafluoroetileno,mf,melamina,eu,caucho,poli,teres,mfrp,metálica,eva,mpf,metamina,fenol,eval,vinílico,mwrp,whiskers,nbr,fep,hexafluoropropileno,ncr,fpm,fluoruro,vinilideno,y,hexafluoruro,nir,isopreno,fsi,silicona,grupos,fluorados,nr,elastómero,isopreno,gpps,cristal,opp,polipropileno,orientado,tg,opvc,osa,modificado,olefina,grp,pa,poliamida,pa11,polímero,ácido,amino,11,undecanóico,hdpe,alta,pa12,dodecanolactama,hips,impacto,εcaprolactama,iir,pa6/12,6,im,poliisobutileno,pa610,hexametilendiamina,sebácico,ir,sint,tico,pa612,dodecanóico,lcp,liquido,trimetil,tereftálico,lope,baja,adípico,lldpe,lineal,pa66/610,ácidos,mbs,paa,ácido,acrílico,pai,petg,politereftalato,pan,poliacrilonitrilo,pf,papi,polifenil,isocianato,polimetileno,pfep,polifluoroetilenpropileno,parfv,reforzada,pi,poliimida,pb,polibuteno,pib,polibutadieno,pir,isocianurato,pban,pmi,polimetacrilamida,pbi,polibecimidazol,pmma,metacrilato,metilo,pbr,piridina,pmp,metil,4,penteno,1,butileno,óxido,propileno,polioximetileno,poliformaldehído,poliacetal,pctfe,policlorotrifluoroetileno,pdap,ftalato,dialilo,ppc,ppo,óxido,fenileno,pead,ppox,polipropileno,pebd,pprfv,pec,polísulfuro,peek,polieteretercetona,ppso,polifenisulfona,pei,polieterimida,ppsu,fenil,n,sulfon,peo,etileno,prfv,peox,etileno,ps,pep,psgp,pes,ter,pshi,pet,psbr,pse,sl,siliconas,psi,si,psu,polisulfona,sir,pife,politetrafluoroetileno,sma,anhídrido,maleico,pu,sms,pur,sp,saturado,pvac,poliacetato,tfe,politrifluoromocloroefileno,pval,alcohol,vinílico,termoplástico,pvb,butirato,vinilo,tpx,metilpenteno,pvcc,dorado,uf,urea,pvdc,vinilideno,uhmwpe,ultra,pvdf,fluoruro,up,insaturado,plástico,uretano,pvf,vce,pvfm,vinil,formaldehído,vcema,pvk,polivinilcarbazo,vceva,pvp,polivinil,pirrolidona,vcma,rf,resorcina,vcmma,san,vcoa,octilo,sb,vcvac,sbr,vcvdc,vpe,reticulado,scr,fenílicos,vinílicos,sfrp,sint,tica,vsi,r18,abr,acrilicobutadieno, ácidos grasos, índice de refracción, índice tixotrópico, ,ster de celulosa, ópticas, óxido de zinc, 1.2 polibutadieno sindiotattico, sanitary ,standards, 5g, aba, ablación, abrasión del tpu, abrasion, abreviaturas plasticos, abrillantador ópticos, abrillantador de elastomeros, abs sma, abs tpu, abs, absorción de agua en 24 horas (24 h), absorción de agua por saturación, absorción de humedad, absorción de sonido, abs pbt, abs pest, abs pet, abs pvc, acabado del molde, aceite de cardanol, aceite de linaza epoxidado, aceite de ricino, aceite de soja, aceite vegetales, aceite, aceites, aceleradores para cauchos, aceleradores, acetal, aclararante, acm, acms, acondicionadores de aire, acoplamientos de inserción flexible, acoplante, acrónimos, acrilatos, acrilonitrilo butadieno estireno, acrilonitrilo, acs, adhesión a subestarto, adhesión de elastómeros, adhesión mecanica, adhesión, adhesion a los metales, adhesion al corte, adhesion corte, adhesivo, aditivos de curado de peróxido, aditivos, admin adyuvantes, aem, aes, agente antireversión, agente compostable, agente de acoplo, agente espumante, agente pro degradante, agentes antibloqueo, agentes antiempa¤antes, agentes de homogeneización, agentes de pegajosidad, agentes desgasificadores, agentes homogeneizantes, agentes humectantes, agentes matizante, agentes nucleantes, agrietamiento por tensión, agrietamiento, agua, alabeo, alambre, aleación, aletas, alfa olefinas lineales, alloy, almidón, almohadilla, almohadillas, alto grip, amarillamiento, amida en bloque, amida, amorfos, anelasticidad, anhídrido maleico estireno, anillo y bola, anillos rascadores, anisotropía, annealing, anti huella, anti olor, anti scratch, anti squeak, anti uv, antiadherentes, antiaglomerantes, anti bacterial, antibloqueantes, antidegradantes, antideslizante, anti estático permanente, antiestatico, antioxidantes, anti ozonante, anti slip, anti stick, antivaho, antivibración, apantallamiento electromagn,tico, apet, aplicaciónes biopolímeros, aplicaciones industriales, aplicaciones, ara¤azos, aretes de ganado, aretes de ganados, arizona uv, arquitecturas de bloques, arquitecturas de polímeros, as 9100, asa transparente, asa, asa pvc, asesoramiento, asiento de seguridad, asiento retr ctil, asientos de estadio, aspect ratio, aspecto tpe, astm d2000, astm d790 , iso 178, astm, aumentar fluidez sbs, aumentar fluidez sebs, aumentar fluidez seeps, autoignición, automotriz, autooxidación, ayudas de proceso, ball pressure test, bam, banda de tigres, bandas pu para el transporte, baquelita, barrera y permeación, batería, bellows, bentonita, betún modificado, bgvv, bi inyección, biir, bio pa, bio pc, bio pe, bio pet, bio plastificantes, bio pp, bio pta, bio ptt, bio pvc, biodegradabilidad, biomasa, biopolímeros, biosolventes, birrefringencia, blends mezclas, blindaje emi, blog blog, blooming, bloque, bloques, blow molding, bmc, bmi, bolas, bolsa de aire, bolsas de pl stico, bolso, bolsos, bombas de engranajes, boquillas de aire, bota de esquí, botas de granjero, botas de lluvia transparentes, botas de seguridad, botas no pvc, botas, br, bracket, br polibutadieno, bs6920, burbujas, burletes, c,sped artificial, cómo definirías el concepto de polimero, ca, cable segmento t4 150, cable, cables en espiral, cafe, caking, calidad, calorímetro de cono, calzado deportivo, canal de cables, caolín, caprolactama, captcha caravanas, carbon black, carbonato de propileno, carbonatos de calcio, carboxilación, carcasa del filtro, carcasa para palanca de cambios, carga y renfuerzos, cargas, cargas minerales, cart cas number, caseinato, catalizador, caucho de estireno, caucho sintetico, caucho, cauchos de halobutilo, cbt, cenizas, cepillo de dientes, cera de polietileno, cera montanica, ceras, chaleco antibalas, charpy vs izod, charpy, chiller, chopped strands, ciir, cilindros hidr ulicos, cinturón de seguridad, cizallamiento, clasificación de los biopolímeros, clasificación de los elastómeros, clasificación de los electrodom,sticos, clasificación de los polímeros, clasificación de polimeros, clasificacion del butadieno estireno, climatización, cm, co2 equivalente, coc, codigos de reciclaje, coeficiente de expansión lineal, coeficientes de fricción, co extrusión, cof, colada fría, colectores de aspiración, colectores solares, coloración, combustión, compatibilizar, componentes de coches el,ctricos, componentes el,ctricos, componentes sillas, comportamiento a la flama, composites, compostable versus reciclable, compound, compression set, compuestos alta densidad, concentracion y orientacion, condiciones de inyección del pa6, condiciones de inyección del pbt, conductividad t,rmica, congo test, consejos de formulacion, consejos de procesos, constante diel,ctrica, contactos, contrafuerte, conversión entre unidad de misura, conversione impacto, conversione modulus, conversione temperatura, cookies, copes, copolímero de bloque estir,nico, copolímero de bloques, copolímeros acrílicos, copolímeros de acrilo, copolímeros de bloque de estireno, copolímeros de bloque de estireno butadieno, copolímeros de bloque olefínicos, copolímeros de estireno, copolímeros de etileno, copolímeros de etileno alfa olefina, copolímeros de polietileno, copolímeros del estireno, copolímeros, copoli,steres arom ticos alif ticos, copoliamidas semi arom ticas, copolimerización de etileno, copolimero de etileno y acetato de vinilo, copoliŠster transparent, copoliŠster, corcho sintetico, core back, corona vs. plasma, corona, cortafuegos, cortar en cubitos, corte termico, covid 19, cowl grille, cp, cpe, cpk, cr, crazing, cristalinidad, cristalinos o amorfos, cristalización, cross linked density, csm, cti, ctle, cu les son las poliamidas, cu les son los diferentes tipos de tpe, cuarteadura, cubierta de motor, cubiertas de balancines, cumarona, cvj bota, cvj botas, damping, dap, dardo, de mattia flex, decoracion en molde imd, dedos desplumadores, defectos de moldeo, defectos en los polímeros, definiciones que se aplican específicamente a los pl sticos, deformación, degradación mec nica, degradación química, degradación, degradacion termica del poliestireno, degradante para polimeros, delaminación de capas, densidad aparente, densidad compactada, densidad del fundido, densidad reticulacion, densidad, densificador, desactivadores de metales, desarrollo de nuevo polímeros, descarga electrost tica, desgarre, desgarro, desgaste, deslizamiento, desplumadores, deta, devanado de filamentos, devulcanización, dióxido de cloro, dióxido de titanio, die drool, die swell, die swelling, diferencia entre eva y sbs espumado, diferencia entre hdpe y el ldpe, diferencia entre ldpe y el hdpe, diferencia entre pa6 y pa66, diferencia entre sbs y eva espumado, diferencia entre sbs y sbr, diferencia entre sbs y sebs, diferencia entre tpe y epdm, diferencia entre tpv y tpe, diferencia entre tpv y tpo, diferencias entre pa y pi, diferencias entre pa6 y pa6, diferencias entre tpe y pvc, diferencias entre tpe y silicona, diferencias entre tpe y tpu, difrencia entre pvc vs sebs, difrencia entre sbr y sbc, difrencia entre sebs vs. seeps, din, dis, dmso, dmta, dryer, dsc, ductos, dureza, dvgw, e&e, ebs, efecto disco, efecto gough joule, efecto invernadero, efecto jetting, efecto madreperla, elastómero lineal, elastómero radiales, elastómero ramificado, elastómeros estrella, elastómeros biodegradables, elastómeros de aramida, elastómeros de pp etileno, elastómeros termopl…sticos, elastómeros y aceites, elastómeros y gases, elasticidad, elastomero, elastomero lineal, elastomeros, elastomeros de aramida, Elenco.txt elf, emblanquecimiento, emisiones (voc), empaques para puertas de equipos de refrigeración, empaques, encapsulación, encogimiento, encogimientos, endurecedores, enfriamiento vs pared, engranajes, enlace químico, enlaces químicos, ensayo piel de tiburón, ensayo tensión superficial, ensayos de resistencia a líquidos, ensayos mec nicos, entrecruzados, entresuela, envases, envejecimiento acelerado uv, envejecimiento por calor, envejecimiento, ep(d)m, epdm sulfonado, epdm, epp, epr, eps, erosión ao, escotilla de puerta, espejos exteriores, espuma de poliuretano, espumado, espumas, estabilidad dimensional, estabilizadores, estereoisomería, estereolitogr fico, esterilización, estir,nico de alto calor, estirenicos transparentes, estirenicos, estireno acrilonitrilo, estireno butileno estireno, estireno etileno butileno estireno, estireno butileno estireno, estireno etileno butileno estireno, estructura elastómero, estructura polímeros, etfe, etileno vinil acetato, etilvinilacetato, etpv, e tpv, eva foamed, eva, evaluación de la degradación, evaluación sensorial, evoh, extensores de cadena, exterior vehículo, extrusión reactiva, extrusion pvc, extrusion, factores estructurales, falla por fatiga, falta de resistencia, fanales, faro delantero, faro trasero, fase gaseosa, fda, fem, fender, fibra de raquis, fibra larga lftr, fibras de carbono, fibras de vidrio cortas, fibras de vidrio largas, fibras de vidrio, fibras vegetales, files film casting, fkm, flash point, flexómetro, floración, florida uv, fluidez, flujo de los polímeros, fluoración, fluoropolímeros, fmvss 302, fmvss302, foaming agent, fogging test, fogging, folifosfacenos, formulario de contacto, forum, foto oxidación, fotocat lisis bactericida, fotodegradación, fractura de los polímeros, fricción, front end2, ftir, fuelles neum ticos, fuerza de desgarro, fuerza intermolecular, fuerzas intermoleculares, fundición de polímero, fusión, fusion, galvanoplastia, gels, geopolim,ros, glass encapsulation, glosario del pl stico, gloss, gmt, goma de silicona líquida, goma eva, gpc, grado de polimerización (dp), grafeno, grafting, granulación, granuladora de anillo de agua, granuladoras espagueti, granuladoras, granuladores subacu ticos, grieta y fisura, grip, grupo m, grupo o, grupo q, grupo r, grupo u, grupo z, guía de inyección de polipropileno, guantes, guardabarros, gutapercha, gwt, hai, halogenación, hardness, haze, hdl, hdpe, hdt, herramientas manuales, hidrólisis, hidróxidos met licos, hidrogeles, hidrogenación, higroscópico, hilo incandescente, hilo para impresion 3d, hinchazón, hips, hist,resis, historia de los elastómeros, historia de los polimeros, hnbr, home, hopkinson bar, hormas, hot runner, hpa, hule, hules, humedad en la poliamida, humedades, hwi, icp ms, iir, images imd, imemail imiv, imlogin, impacto de gardner, impacto, impresion 3d, improve abrasion tpu, improve hot air and oil swelling resistance in tpv, improve melt flow index, imsearch, imsitemap, incoterms, index, indice de amarillamiento, inhibidores de prevulcanización, inserto met lico, in shell lining process, interior vehículo, inyección multicomponente, inyeccion asistida con gas, inyeccion de proyectiles, inyeccion, ionómeros, ir, iso 1629, iso 9001, iso, iso75, isomería en polímeros, isotropía, izod iso 180 astm d256, izod, jungle test, juntas magn,ticas, kalahari uv, kink, ktw, l tex natural, línea de plata, línea de soldadura, líneas de combustible, líneas de tigre, laboratorio, latex, lavadora carga superior, lavadora, lavadoras, lcp, ldpe, lfi, libreria, lignina, linea de soldadura, litografía, litopón, lldpe, loderas, loi, los compuestos de fibra larga, los elastómeros, los pl sticos para vehículos el,ctricos, los pl sticos, los polimeros difusores, los polimeros, los primeros polimeros, lubricantes, luminiscencia, luz de cortesía, lvavajillas, m,todos para evaluar la degradación, m,xico, mabs, macromol,culas lineales y ramificadas, maleta, mamparas, manguera hidraulica, manguera, mangueras para rodillos, mangueras, maquiladora de bolsos, maquiladora de calzado, marcado laser, marcas de flujo, marcas de quemaduras, marcas de rechupe, masterbatch, master batch, material frío, materiales para suelas, materiales plasticós en el automotriz, materiales plasticos, materias primas de base bio, mb de silicona, mbs, mdpe, mecanismo char, mecanismo de fase gaseosa, mecanismo de goteo, mecanismo de intumescencia, mecanizado de pl stico, medición humedad, medidas de biodegradación, mejoras de formulacion, melt fracture, menu metacrilato butadiene estireno, metalización de pl sticos, metaloceno, metamerismo, meteorización acelerada, meteorización, mex, mexpol, mezclas acrílicas, mezclas con cpe, mezclas, mfi, mfr, mica, microesferas de vidrio, microesferas huecas, micropercusión, migración, mms, modificador de impacto, modificador de reologia, modulo a flexion, modulo de traccion, molde, moldeo de insertos met licos, moldeo por compresión de goma, moldeo por inyección de espuma, moldeo por inyección de pared delgada, moldeo por soplado, moldeo por succión, moldeo por transferencia, moldeo rotacional, moldeo científico, molienda criog,nica, molinos, mooney, morfología de tpe, mpr, muelles neum ticos, mvr, número abbe, naftenicos, nanocarga laminados, nanocelulosa, nanocompuestos, nanofillers laminados carbono, nanotecnología, nanotubos, natura de los biopolímeros, nbr, necking, negro de humo, neum tico, neutralización de olores, nigrosina, nmr, no polares, noise, nomenclatura de polimeros, nonwovens, norme, nsf 51, nsf 61, oem, off spec, oil swelling, oit, olor de los polímeros, orientación, origen de los polímeros, otr, otras, overmolding, oxidación termica, oxo degradable, ozono, p.v., pa 4.i, pa 4t, pa 5t, pa 6 aniónica, pa 6 ramificado, pa 6, pa 6.i, pa 6.t 6.6, pa 6t, pa 9t, pa m5t, pa mxd6, pa, pa1010, pa1012, pa10t, pa11, pa11 10t, pa12 macm, pa12, pa1212, pa12t, pa3, pa4.10, pa4, pa412, pa46, pa48, pa49, pa5, pa56, pa6, pa610, pa612, pa63, pa66, pa68, pa69, pa abs, paas, pa asa, packaging, pae, paes, pai, pam, pan, pantone, pa pp, papxd10, par, para, parachoques, parison sag, parrillas, partitioning agent, pa san, pb 1, pbat, pbe, pbe polimero base etileno, pbi, pbit, pbn, pbs, pbt asa, pbt, pc abs, pc asa, pc, pcd, pcl, pcm, pc pbt, pc pp, pc san, pcss pct, pc tpu, pdms, pea, peba, pe ba, pedal box, peek, peeling, pegamentos, pegar el pl stico, pei, película, películas sopladas, pen, pentóxido de antimonio, pep, peptizantes, peque¤a llama, peque¤os electrodom,sticos, perfil dados, perfil de tornillos, permeabilidad, pes, peso especifico, peso molecular vs, pet g, pet pe, pet, pex, pga, ph, pha, phvb, pib, piel de naranja, piel de tiburón, piezas incompletas, piezoelectricidad, pigmentos, pintado de pl stico, pinturas, pirólisis, piritiona de zinc, pit, plástico que se calienta en el microondas, plástico, plásticos commodities, plásticos detectables rayos x, plásticos reciclados, plásticos, pla, placa caliente, plantilla, plasma, plasticos de ingenieria mexico, plasticos resistentes a radiacion uv, plastificante, pmbl, pmi, pmma abs, pmma, pmp, pmvk, pnr, poe, poisson's ratio, polímeros conductores el,ctricos, polímeros de base biológica, polímeros difusores, polímeros electroactivos, polímeros expandido, polímeros funcionales, polímeros inorg nicos, polímeros org nicos, polímeros super absorbentes, polímeros, polmeros, polares, polaridad, poli (p xilileno) ppx, poliímida, poli,ster insaturado, poli,steres arom ticos, poli,steres alif ticos, poli,steres, poli,ter amida en bloque, poli,teres arom ticos, poliamida amorfa, poliamida termofija, poliamidas alifaticas, poliamidas arom ticas, poliamidas semi aromaticas, poliamidas, polibutadieno sindiotattico, polibutadieno, policarbodiimida, policarbonato, policarbonatos, policetonas arom ticos, policetonas alif ticas, policloruro de vinilo, polidimetilsiloxano, polielectrolito, poliepiclorhidrina, poliestannanos, poliestireno, poliestirenos, polietileno clorado, polietileno de alta densidad, polietileno de baja densidad, polietileno, polietilenoctene, polietilenos modificados, polietilenos, polifosfacenos, poligermanos, polimerización, polimeros conductores, poliolefinas, polioles de aceites vegetales, polirreacción, poliŠster, poliŠtere alif ticos, poliŠteres alif ticos, poliŠteres, polisulfonas, poliuretano a base de policarbonato, poliuretano en zapatos, poliuretano espumado, poliuretano termopl stico, poliuretano, poliuretanos, polypedia, pom, porta fusibles, portafusibles, portal mparas, portavasos, poss, post polimerización, power tools, pp fv, pp cargado, pp con carga, pp con fibra, pp e ppk, pp epdm vulcanizado, pp gf, pp, ppa, ppap, p pap, ppdo, ppe, ppo pa, ppo pp, ppo ps, pp poe vulcanizado, pp poe curado, pps, ppsu, ppx, presión volumen temperatura, probetas iso 527, proceso de vulcanización, proceso en fase slurry, proceso en solución, procesos esteticos, propiedades ópticas, propiedades acústicas, propiedades de los polímeros, propiedades de superficie, propiedades eléctricas, propiedades físicas, propiedades químicas, proposición de ley, protección de peatones, prube de intemperismo, prueba de agrietamiento, prueba de beilstein, prueba de fluencia lenta, prueba de flujo en espiral, prueba de lapiz, prueba de llama, pruebas de vibración, pruebas termicas, ps, psr, psu, ptfe, ptt, pu, puertas de inyección, pultrusion, punteras, purgas, procedimiento, pvc, pvc c, pvc pmma, pvc tpu, pvdc, pvdf, pvk, pvoh, pvt, qu, elastómero ofrece la mejor resistencia a la abrasión, qu, elastómero ofrece la mejor resistencia a la flexión, qu, elastómero ofrece la mejor resistencia a la intemperie, qu, elastómero ofrece la mejor resistencia al aceite y al combustible, compression set, es el material tpu, qu, es el moldeo cientifico, qu, es el poli,ster, qu, es la hist,resis, qu, es un elastomero termoplastico, qu, son los monómeros, qu, son los pl sticos biodegradable, qu, son los pl sticos biodegradables, qu, son los pl sticos, qu, son los polímeros y cómo se clasifican, qu, son los polímeros, qu, son los termopl sticos, qu, tipo de material es tpe, que es el tpe, quitosano, r fagas, radiación electromagn,tica, radiación ionizante, radiopaco, rafia, rail pad, ral, raporto l/d, rastrillo de afeitar, rayados, rebabas, reciclaje, reciclar el pl stico, recocido, recubrimientos ruedas, reemplazando a los metales, reemplazo de metales, reflejo de sonido, reforzado con fibra de vidrio, refrigeradores, regulaciones nacionales y de la ue, regulaciones y la legislación automóviles, relación l d, relacion de aspecto l d, relajación de estr,s, res resbalo, resiliencia, resina epoxica, resinas arom ticas y alif ticas c5 y c9, resinas de amina, resinas de hidrocarburo, resinas de poli,ster, resinas fenólicas, resinas novolak, resinas sbc en selladores, resinas, resistencia a la abrasión, resistencia a la flexión, resistencia a la punción, resistencia al aceite y al calor tpe, resistencia al arco, resistencia al desgaste, resistencia al fundido, resistencia al impacto de caída de peso, resistencia al ozono, resistencia de rebote, resistencia quimica, resistentes a radiacion, resistividad de volumen, resistividad superficial, resonador de conducto turbo, retardante de flama, retardante de llama eps, retardante de llama eps y xps, retardantes, reticulación de biopolímeros, reticulación, revestimiento de resina, revestimiento por extrusión, rigidez diel,ctrica, rim, rines de plastico, robots.txt roscas, rosin resina, r rim, rtm, ruido de los automóviles, sílice pirog,nica, sílice precipitada, sílice, súperpolímeros, sales de plata, sams, saturación, saturados e insaturados, sbbs, sbbs, sbc rígido, sbc, sbr caucho, sbr, sbs estireno butileno estireno, sbs, sb s, sbs, scratch, sebs alta resistencia termica, sebs alto brillo, sebs alto termo, sebs ers, sebs m,dico, sebs overmolding, 2k, sebs tpu, sebs transparente, sebs, seb s, s e b s, sebs, sebs ers, sebs transparente, secado, secadora, seeps, se ep s, s eep s, seeps, segmentos automotriz, semi cristalinos, seps, serigrafía, servicios inyección, shear rate, shear, shelf life, shrinkage, shrinkages, shroud, sibs, s i b s, sibs, silanos, silicona, sillas de jardin, sillas operativas, sillas sala de espera, sillas, sinterización, sinterizado l ser, sis, sis162602, sis, sistema de asientos, sitemap.xml slush molding, sma, smanh, smc, smma, sms, sobremolde, sociedad, soldadura de gas caliente, soldadura de p,ndulo, soldadura l ser, soldadura por aire caliente, soldadura por fricción (rotacional), soldadura por inducción, soldadura por infrarojos, soldadura por microonda, soldadura por vibración, soldadura ultrasónica, soldadura, soldadura por alta frecuencia, solubilidad polímeros, soplado, soporte bateria, soporte palanca de cambios, spheripol process, s rim, srp, staining, steering boots, stress cracking resistance, stress relaxation, stress relaxations, stress strain, style styrenic block copolymers tps, sublimación 3d, suela goma natural, suela tpr, suelas espumadas, suelas tpu mas ligero, suela tr, suitecase, sujetadores, sulfato de bario, sulfonación, surfactantes, swelling, tabla polímeros transparentes, tablero de instrumentos, tablero, tackifer, tacon, tacticidad, talón de gel, talco, tama¤o de partícula, tampilla de combustible, tampografía, taninos, tanque de expansion, tanques de combustible, tanques de gasolina, tapetes, tasa de transmisión de vapor mvtr, tear strength, tecnopolímeros, teee, telerruptor, temperatura de fragilidad, temperatura m xima de servicio, temperatura mínima de servicio, temperaturas de autoignición, tensión superficial, tensile set, termoendurecibles frente a termopl sticos, termoestable, termoformado al vacío, termopl stico estir,nico elastómeros, termopl sticos vulcanizados, termopl sticos, termo plastico, termoplasticos vs tpes, termosellado, test di robinson, texturizado, tfe, tfe p, tg, tga, thermoplastic polyurethane (tpu), thermoplastic vulcanizates (tpvs), tiempo ciclo de inyección, tiempo de residencia, tier, tinas de pl stico, tipos de procesos, tnr goma natural termoplastico, todt, tornillos autorroscantes, tornillos, tpc et, tpc, tpc es, tpc et propiedades, tpcet, tpc et, tpc et, tpe generacióntpe o, tpe v, tpe, t p e, tpee, tpe e, tpe o, tpes, tpe s, tpe u, tpev, tpe v, tpi, tpo, tpu fundas y protección, tpu, tpv alto termo, tpv generación, tpv nueva generación de polímeros termopl sticos, tpv, tr sbs, tr, transmitancia, trasparentes, tratamiento de llama, tratamiento de plasticos, tratamientos de modificación de superficie, trióxido de antimonio, troubleshooting, tubos corrugados, tubos de freno de vacío, tubos termopl sticos, tvi, uhmwpe, uhmw pe, ul94, ultrasonido, umts, under the hood, unión adhesiva, urea formaldehído, usp, variaciones de brillo, vehículos el,ctricos, ventajas del moldeo por inyección para aplicaciones automotrices, vicat, vidrio molido, vinilo, virus, viscoelasticidad polim,rica, viscosidad absoluta, viscosidad aparente, viscosidad intrínseca, viscosidad relativa, viscosidad, vitrificación, vldpe, vulcanización con óxido de metal, vulcanización con azufre, vulcanización con peróxido, vulcanización con radiación, vulcanización con silanos, vulcanización de caucho, vulcanización de uretano, vulcanización din mica, vulcanización fenólica, vulcanización iónica, vulcanización inducida por luz ultravioleta, vulcanización platinica, vulcanización, vulcanizacion tpv, warpage, water injection assisted, what is tpc et, wheel arch, wollastonite, xdur pbt, xnbr, xsbr, zapato, zapatos de seguridad, zeolitas, ziegler, natta,5g
 

 

Histats.com © 2005-2014 Privacy Policy - Terms Of Use - Check/do opt-out - Powered By Histats
Dirección

León GTO
México
Todas las marcas registradas ( ® - © - ™ ) son propiedad de sus respectivos propietarios y se utilizan únicamente con fines de información, de conformidad con las disposiciones vigentes sobre derechos de autor. Las letras son propiedad de sus respectivos autores y les damos las gracias por la oportunidad que nos brindan para conocer sus textos libres para fines ilustrativos y educativos. Si usted es el autor del texto que interesa y solicitar que se elimine el texto o la inclusión de otra información enviar un e-mail info@mexpolimeros.com después de controles apropiados vamos a satisfacer su solicitud tan pronto como sea posible. Los datos e ilustraciones en esta publicación no son vinculantes y pueden ser cambiados como resultado de cambios y / o mejoras que se consideren necesarias por el fabricante. Los resultados anteriormente mencionados cuidadosamente con el objetivo se llevaron a cabo para dar instrucciones al usuario final con respecto al uso de los productos en diversas etapas de su uso. Como hay diferentes condiciones de uso, el almacenamiento y la firma de la preservación mexpolimeros no se hace responsable de los daños causados al cliente y /o tercero.
Todas las marcas registradas ( ® - © - ™ ) son propiedad de sus respectivos propietarios y se utilizan únicamente con fines de información, de conformidad con las disposiciones vigentes sobre derechos de autor. Las letras son propiedad de sus respectivos autores y les damos las gracias por la oportunidad que nos brindan para conocer sus textos libres para fines ilustrativos y educativos. Si usted es el autor del texto que interesa y solicitar que se elimine el texto o la inclusión de otra información enviar un e-mail info@mexpolimeros.com después de controles apropiados vamos a satisfacer su solicitud tan pronto como sea posible. Los datos e ilustraciones en esta publicación no son vinculantes y pueden ser cambiados como resultado de cambios y / o mejoras que se consideren necesarias por el fabricante. Los resultados anteriormente mencionados cuidadosamente con el objetivo se llevaron a cabo para dar instrucciones al usuario final con respecto al uso de los productos en diversas etapas de su uso. Como hay diferentes condiciones de uso, el almacenamiento y la firma de la preservación mexpolimeros no se hace responsable de los daños causados al cliente y /o tercero.
mexpolímeros
Todas las marcas registradas ( ® - © - ™ ) son propiedad de sus respectivos propietarios y se utilizan únicamente con fines de información, de conformidad con las disposiciones vigentes sobre derechos de autor. Las letras son propiedad de sus respectivos autores y les damos las gracias por la oportunidad que nos brindan para conocer sus textos libres para fines ilustrativos y educativos. Si usted es el autor del texto que interesa y solicitar que se elimine el texto o la inclusión de otra información enviar un e-mail info@mexpolimeros.com después de controles apropiados vamos a satisfacer su solicitud tan pronto como sea posible. Los datos e ilustraciones en esta publicación no son vinculantes y pueden ser cambiados como resultado de cambios y / o mejoras que se consideren necesarias por el fabricante. Los resultados anteriormente mencionados cuidadosamente con el objetivo se llevaron a cabo para dar instrucciones al usuario final con respecto al uso de los productos en diversas etapas de su uso. Como hay diferentes condiciones de uso, el almacenamiento y la firma de la preservación mexpolimeros no se hace responsable de los daños causados al cliente y /o tercero.
Teléfono

+52 (562) 37.589.04


Regreso al contenido