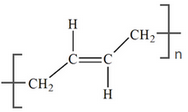
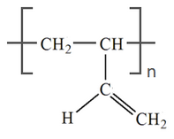
Polibutadieno

- Trans-1,4 adición
- Cis-1,4 adición
- Vinilo-1,2 sindiotáctico adición
- Vinilo-1,2 isotáctico adición
- Vinilo-1,2 heterotáctico o atáctico adición
- Nombre químico: Polibutadieno PB
- Nombre reglamentario: 1,2-polibutadieno sindiotáctico
- IUPAC : Poli (buta-1,3-dieno) y poli (but-1-eno-1 ,4-diilo)
- Baja resistencia a la llama
- Baja impermeabilidad a los gases
- Rangos de temperatura: - 55°C a + 100°C
- Se mantiene bien con ácidos y bases fríos, diluidos y agua
- Buena resistencia a la flexión, resistencia a la abrasión y juego de compresión
- Se mantiene menos bien con agentes atmosféricos, solventes alifáticos y saborizantes
- Se mantiene menos bien con productos de gasolina (hidrocarburos) y baja impermeabilidad a los gases
- Propiedades mecánicas: buena resistencia a la flexión, resistencia a la abrasión y juego de compresión


- mayor velocidad de extrusión
- mayor estabilidad dimensional
- mayor flujo durante el moldeo
- mayor resistencia a la reversión
- mayor posibilidad de aumentar la cantidad de negro de carbono y aceite
- reducción de la adhesión a los rodillos de los mezcladores abiertos en los compuestos de CR

Todas las marcas registradas ( ® - © - ™ ) son propiedad de sus respectivos propietarios y se utilizan únicamente con fines de información, de conformidad con las disposiciones vigentes sobre derechos de autor. Las letras son propiedad de sus respectivos autores y les damos las gracias por la oportunidad que nos brindan para conocer sus textos libres para fines ilustrativos y educativos. Si los derechos de autor de cualquier texto o imagen le pertenecen y quiere solicitar que se elimine el texto o la inclusión de otra información , por favor, enviar un e-mail info@mexpolimeros.com después de controles apropiados vamos a satisfacer su solicitud tan pronto como sea posible. Los datos e ilustraciones en esta publicación no son vinculantes y pueden ser cambiados como resultado de cambios y / o mejoras que se consideren necesarias por el fabricante. Los resultados anteriormente mencionados cuidadosamente con el objetivo se llevaron a cabo para dar instrucciones al usuario final con respecto al uso de los productos en diversas etapas de su uso. Como hay diferentes condiciones de uso, el almacenamiento y la firma de la preservación mexpolimeros no se hace responsable de los daños causados al cliente y /o tercero
Elastomeri,Termoplastici,TPO,TPV,SEBS,SBS,TPU,TPEE,TPE-A,PVC,TEEE,TPC-ET,TPE-O,TPE-S,TPS,TPE-V,TPE U,TPA,SO,ASTM,EN,IEC,UL,SAE,FDA,EEC,VDO, KTW,WRAS,NSF,61,2002/72,UV,abrasione, anti,statico,batterico,funghicida,USP,classe,VI,hard,soft,,t4,segment,abrasion,abrasione,martindale, abrasimetro,copoliestere,copes,alloy,blend,compatibilizzanti,gomme,rubber,gomma,sintetica,COPOLIAMMIDE, compound,compoundare, materie,materia,shore,durezza,densità,compression set,resistenza,invecchiamento,ageing,analisi, mfr,mfi,allungamento,modulo,flessione, trazione, umidità,essicatura,deumidificazione,ABR Elastómero de éster acrilicobutadieno CIIR Elastómero de isobutileno-isopreno clorado
ABS,Acrilonitrilo,butadieno,estireno,CM,Cauchos,de,polietileno,clorado
ACM,Elastómero,de,éster,acrílico,2,cloroetilvini,éter,CMG,Carboxi,Metilcelulosa
ACS,Acrilonitrilo,polietilenoclorado,estireno,CN,Nitrocelulosa
AES,Acrílonítnlo,etilpropileno,estireno,CO,Elastómero,de,epiclorhidrina
Al,Polímeros,de,amida,imida,CP,Propionato,de,celulosa
AMMA,Acrilonitrilo,metacrilato,de,metilo,CPE,Polietileno,clorado
ANM,Copolímero,de,éster,acrílico,acrilonitrilo,CPVC,Policloruro,de,vinilo,clorado
ARP,Plástico,reforzado,con,fibra,de,amianto,CR,Elastómero,de,cloropreno
ASA,Acrilonitrilo,estireno,éster,acrílico,CS,Caseína
AU,Elastómero,de,poliuretano,de,poliéster,CSM,Polietileno,dorosulfonado
BIIR,Elastómero,de,isobutileno,isopropeno,bromado,CSR,Polietileno,dorosulfonado
BK,Baquelita,CTFE,Políclorotrifluoro,etileno
BR,Elastómero,de,butadieno,ECO,Copolímero,de,epjclorhidrina
BRP,Plástico,reforzado,con,fibra,de,boro,EEA,Etileno,acrilato,de,etilo
CA,Acetato,de,celulosa,EP,Etileno,propileno
CAB,Acetobutirato,de,celulosa,EP,Epoxi
CAP,Acetopropionato,de,celulosa,EPD,Terpolímero,de,etileno,propileno,dieno
CAR,Fibra,de,carbono,EPDM,Terpolímero,de,etileno,propileno,dieno
CEL,Celuloide,EPE,Ester,epoxídico
CF,Cresol,formaldehído,EPFV,Epoxi,reforzado,con,fibra,de,vidrio
CFM,Poli,(cloruro,de,trifluoretileno),EPM,Copolímero,de,etileno,propileno
CFRP,Plástico,reforzado,con,fibra,de,carbono,EPR,Copolímero,de,etileno,propileno
CHR,Elastómero,de,epiclorhidrina,EPS,Poliestireno,expandible
Acrónimos,del,Plástico
EPT,Terpolimero,de,etileno,propileno,dieno,MC,Metilcelulosa
ET,Etileno,polisulfuro,MDPE,Polietileno,de,media,densidad
ETFE,Etileno,tetrafluoroetileno,MF,Melamina,formaldehído
EU,Caucho,de,poliuretano,de,poliéteres,MFRP,Plástico,reforzado,con,fibra,metálica
EVA,Etileno,acetato,de,vinilo,MPF,Metamina,fenol,formaldehído
EVAL,Etileno,alcohol,vinílico,MWRP,Plástico,reforzado,con,fibra,whiskers
EVRFV,Ester,vinílico,reforzado,con,fibra,de,vidrio,NBR,Elastómero,de,acrilonitrilo,butadieno
FEP,Tetrafluoroetileno,hexafluoropropileno,NCR,Elastómero,de,acrilonitrilo,cloropreno
FPM,Copolímero,de,fluoruro,de,vinilideno,y,hexafluoruro,de,propileno,NIR,Elastómero,de,acrilonitrilo,isopreno
FSi,Elastómero,metil,silicona,con,grupos,fluorados,NR,Caucho,Natural,(elastómero,de,isopreno)
GPPS,Poliestireno,cristal,OPP,Polipropileno,orientado
GR,I,Elastómero,de,isobutileno,isopreno,OPVC,Policloruro,de,vinilo,orientado
GR,N,Elastómero,de,acrilonitrilo,butadieno,OSA,Estireno,acrilonitrilo,modificado,con,olefina
GRP,Plástico,reforzado,con,fibra,de,vidrio,PA,Poliamida
GR,S,Elastómero,de,estireno,butadieno,PA11,Polímero,del,ácido,amino,11,undecanóico
HDPE,Polietileno,de,alta,densidad,PA12,Polímero,de,dodecanolactama,1,12
HIPS,Poliestireno,alto,impacto,PA6,Polímero,de,ε,caprolactama
IIR,Elastómero,de,isobutileno,isopreno,PA6/12,Copolímero,de,PA,6,y,PA,1,2
IM,Poliisobutileno,PA610,Polímero,de,hexametilendiamina,y,del,ácido,sebácico
IR,Elastómero,de,isopreno,(sintético),PA612,Polímero,de,hexametilendiamina,y,del,ácido,dodecanóico
LCP,Polímeros,de,cristal,liquido,PA6,3,T,Polímero,de,trimetil,hexametilendiamina,y,ácido,tereftálico
LOPE,Polietileno,de,baja,densidad,PA66,Polímero,de,hexametilendiamina,y,del,ácido,adípico
LLDPE,Polietileno,lineal,de,baja,densidad,PA66/610,Copolímero,de,hexametilendiamina,con,ácidos,adípico,y,sebácico
MBS,Metacrilato,de,metilo,butadieno,estireno,PAA,Poli,(ácido,acrílico)
Acrónimos,del,Plástico
PAI,Poliamida,imida,PETG,Politereftalato,de,etileno,modificado,con
PAN,Poliacrilonitrilo,PF,Fenol,formaldehído
PAPI,Polifenil,isocianato,de,polimetileno,PFEP,Polifluoroetilenpropileno
PARFV,Poliamida,reforzada,con,fibra,de,vidrio,PI,Poliimida
PB,1,Polibuteno,1,PIB,Poli,isobutileno
PB,Polibutadieno,PIR,Poli,isocianurato
PBAN,Elastómero,de,acrilonitrilo,butadieno,PMI,Polimetacrilamida
PBI,Polibecimidazol,PMMA,Poli,(metacrilato,de,metilo)
PBR,Elastómero,de,butadieno,piridina,PMP,Poli,(metil,4,penteno,1)
PBT,Politereftalato,de,butileno,PO,Elastómero,de,poli,(óxido,de,propileno)
PC,Policarbonato,POM,Polioximetileno,poliformaldehído,poliacetal
PCTFE,Policlorotrifluoroetileno,PP,Polipropileno
PDAP,Poli,(ftalato,de,dialilo),PPC,Polipropileno,clorado
PE,Polietileno,PPO,Poli,óxido,de,fenileno
PEAD,Polietileno,de,alta,densidad,PPOX,Poli,(óxido,de,polipropileno)
PEBD,Polietileno,de,baja,densidad,PPRFV,Polipropileno,reforzado,con,fibra,de,vidrio
PEC,Polietileno,clorado,PPS,Polísulfuro,de,fenileno
PEEK,Polieteretercetona,PPSO,Polifenisulfona
PEI,Polieterimida,PPSU,Poli,(fenilén,sulfona)
PEO,Poli,(óxido,de,etileno},PRFV,Plástico,reforzado,con,fibra,de,vidrio
PEOX,Poli,(óxido,de,etileno),PS,Poliestireno
PEP,Polímero,de,etileno,propileno,PSGP,Poliestireno,cristal
PES,Poli,(éter,sulfona),PSHI,Poliestireno,alto,impacto
PET,Politereftalato,de,etileno,PSBR,Elastómero,de,piridina,estireno,butadieno
Acrónimos,del,Plástico
PSE,Poliestireno,expandible,Sl,Siliconas
PSi,Elastómero,de,metil,silicona,Si,Elastómero,de,metil,silicona
PSU,Polisulfona,SIR,Elastómero,de,estireno,isopreno
PIFE,Politetrafluoroetileno,SMA,Estireno,anhídrido,maleico
PU,Poliuretano,SMS,Estireno,metil,estireno
PUR,Poliuretano,SP,Poliéster,saturado
PVAC,Poliacetato,de,vinilo,TFE,Politrifluoromocloroefileno
PVAL,Poli,(alcohol,vinílico),TPE,Elastómero,termoplástico
PVB,Poli,(butirato,de,vinilo),TPU,Poliuretano,termoplástico
PVC,Poli,(cloruro,de,vinilo),TPX,Poli,4,metilpenteno
PVCC,Poli,(cloruro,de,vinilo),dorado,UF,Urea,formaldehído
PVDC,Poli,(cloruro,de,vinilideno),UHMWPE,Polietileno,de,ultra,alto,peso,molecular
PVDF,Poli,(fluoruro,de,vinilideno),UP,Poliéster,insaturado,(plástico,de,uretano)
PVF,Fluoruro,de,vinilideno,VCE,Cloruro,de,vinilo,etileno
PVFM,Poli,(vinil,formaldehído),VCEMA,Cloruro,de,vinilo,etileno,acrilato,de,metilo
PVK,Polivinilcarbazo,vinílico,VCEVA,Cloruro,de,vinilo,etileno,acetato,de,vinilo
PVP,Polivinil,de,pirrolidona,VCMA,Cloruro,de,vinilo,acrilato,de,metilo
RF,Resorcina,formaldehído,VCMMA,Cloruro,de,vinilo,metacrilato,de,metilo
SAN,Estireno,acrilonitrilo,VCOA,Cloruro,de,vinilo,acrilato,de,octilo
SB,Estireno,butadieno,VCVAC,Cloruro,de,vinilo,acetato,de,vinilo
SBR,Elastómero,de,estireno,butadieno,VCVDC,Cloruro,de,vinilo,cloruro,de,vinilideno
SBS,Estireno,butadieno,estireno,VPE,Polietileno,reticulado
SCR,Elastómero,de,estireno,cloropreno,VPSi
Elastómero,de,metil,silicona,con,grupos,fenílicos,y,vinílicos
SFRP,Plástico,reforzado,con,fibra,sintética,VSi,Elastómero,de,metil,silicona,con,grupos,vinílicos
,PP,PA6,PA66,PBT,PPS,PC,PC/ABS,fibra,vetro,talco,carbonato,bario,sfere,cavi,guaine,tubi,hose,belts,automotive,edilizia,elettrodomestico,tools,6722,112,r7,r8,r18,E,TEEE,TPC,ET,TPC,ET,TPC,ET,poliammidi,PPA,ABR
Elastómero,de,éster,acrilicobutadieno
ABS
Acrilonitrilo,butadieno,estireno
ACM
Elastómero,de,éster,acrílico,2,cloroetilvini,éter
ACS
Acrilonitrilo,polietilenoclorado,estireno
AES
Acrílonítnlo,etilpropileno,estireno
Al
Polímeros,de,amida,imida
AMMA
Acrilonitrilo,metacrilato,de,metilo
ANM
Copolímero,de,éster,acrílico,acrilonitrilo
ARP
Plástico,reforzado,con,fibra,de,amianto
ASA
Acrilonitrilo,estireno,éster,acrílico
AU
Elastómero,de,poliuretano,de,poliéster
BIIR
Elastómero,de,isobutileno,isopropeno,bromado
BK
Baquelita
BR
Elastómero,de,butadieno
BRP
Plástico,reforzado,con,fibra,de,boro
CA
Acetato,de,celulosa
CAB
Acetobutirato,de,celulosa
CAP
Acetopropionato,de,celulosa
CAR
Fibra,de,carbono
CEL
Celuloide
CF
Cresol,formaldehído
CFM
Poli,(cloruro,de,trifluoretileno)
CFRP
Plástico,reforzado,con,fibra,de,carbono
CHR
Elastómero,de,epiclorhidrina
CIIR
Elastómero,de,isobutileno,isopreno,clorado
CM
Cauchos,de,polietileno,clorado
CMG
Carboxi,Metilcelulosa
CN
Nitrocelulosa
CO
Elastómero,de,epiclorhidrina
CP
Propionato,de,celulosa
CPE
Polietileno,clorado
CPVC
Policloruro,de,vinilo,clorado
CR
Elastómero,de,cloropreno
CS
Caseína
CSM
Polietileno,dorosulfonado
CSR
Polietileno,dorosulfonado
CTFE
Políclorotrifluoro,etileno
ECO
Copolímero,de,epjclorhidrina
EEA
Etileno,acrilato,de,etilo
EP
Etileno,propileno
EP
Epoxi
EPD
Terpolímero,de,etileno,propileno,dieno
EPDM
Terpolímero,de,etileno,propileno,dieno
EPE
Ester,epoxídico
EPFV
Epoxi,reforzado,con,fibra,de,vidrio
EPM
Copolímero,de,etileno,propileno
EPR
Copolímero,de,etileno,propileno
EPS
Poliestireno,expandible
EPT
Terpolimero,de,etileno,propileno,dieno
ET
Etileno,polisulfuro
ETFE
Etileno,tetrafluoroetileno
EU
Caucho,de,poliuretano,de,poliéteres
EVA
Etileno,acetato,de,vinilo
EVAL
Etileno,alcohol,vinílico
EVRFV
Ester,vinílico,reforzado,con,fibra,de,vidrio
FEP
Tetrafluoroetileno,hexafluoropropileno
FPM
Copolímero,de,fluoruro,de,vinilideno,y,hexafluoruro,de,propileno
FSi
Elastómero,metil,silicona,con,grupos,fluorados
GPPS
Poliestireno,cristal
GR,I
Elastómero,de,isobutileno,isopreno
GR,N
Elastómero,de,acrilonitrilo,butadieno
GRP
Plástico,reforzado,con,fibra,de,vidrio
GR,S
Elastómero,de,estireno,butadieno
HDPE
Polietileno,de,alta,densidad
HIPS
Poliestireno,alto,impacto
IIR
Elastómero,de,isobutileno,isopreno
IM
Poliisobutileno
IR
Elastómero,de,isopreno,(sintético)
LCP
Polímeros,de,cristal,liquido
LOPE
Polietileno,de,baja,densidad
LLDPE
Polietileno,lineal,de,baja,densidad
MBS
Metacrilato,de,metilo,butadieno,estireno
MC
Metilcelulosa
MDPE
Polietileno,de,media,densidad
MF
Melamina,formaldehído
MFRP
Plástico,reforzado,con,fibra,metálica
MPF
Metamina,fenol,formaldehído
MWRP
Plástico,reforzado,con,fibra,whiskers
NBR
Elastómero,de,acrilonitrilo,butadieno
NCR
Elastómero,de,acrilonitrilo,cloropreno
NIR
Elastómero,de,acrilonitrilo,isopreno
NR
Caucho,Natural,(elastómero,de,isopreno)
OPP
Polipropileno,orientado
OPVC
Policloruro,de,vinilo,orientado
OSA
Estireno,acrilonitrilo,modificado,con,olefina
PA
Poliamida
PA11
Polímero,del,ácido,amino,11,undecanóico
PA12
Polímero,de,dodecanolactama,1,12
PA6
Polímero,de,ε,caprolactama
PA6/12
Copolímero,de,PA,6,y,PA,1,2
PA610
Polímero,de,hexametilendiamina,y,del,ácido,sebácico
PA612
Polímero,de,hexametilendiamina,y,del,ácido,dodecanóico
PA,6,3,T
Polímero,de,trimetil,hexametilendiamina,y,ácido,tereftálico
PA,66
Polímero,de,hexametilendiamina,y,del,ácido,adípico
PA,66/610
Copolímero,de,hexametilendiamina,con,ácidos,adípico,y,sebácico
PAA
Poli,(ácido,acrílico)
PAI
Poliamida,imida
PAN
Poliacrilonitrilo
PAPI
Polifenil,isocianato,de,polimetileno
PARFV
Poliamida,reforzada,con,fibra,de,vidrio
PB,1
Polibuteno,1
PB
Polibutadieno
PBAN
Elastómero,de,acrilonitrilo,butadieno
PBI
Polibecimidazol
PBR
Elastómero,de,butadieno,piridina
PBT
Politereftalato,de,butileno
PC
Policarbonato
PCTFE
Policlorotrifluoroetileno
PDAP
Poli,(ftalato,de,dialilo)
PE
Polietileno
PEAD
Polietileno,de,alta,densidad
PEBD
Polietileno,de,baja,densidad
PEC
Polietileno,clorado
PEEK
Polieteretercetona
PEI
Polieterimida
PEO
Poli,(óxido,de,etileno}
PEOX
Poli,(óxido,de,etileno)
PEP
Polímero,de,etileno,propileno
PES
Poli,(éter,sulfona)
PET
Politereftalato,de,etileno
PETG
Politereftalato,de,etileno,modificado,con,glicol
PF
Fenol,formaldehído
PFEP
Polifluoroetilenpropileno
Pl
Poliimida
PIB
Poli,isobutileno
PIR
Poli,isocianurato
PMI
Polimetacrilamida
PMMA
Poli,(metacrilato,de,metilo)
PMP
Poli,(metil,4,penteno,1)
PO
Elastómero,de,poli,(óxido,de,propileno)
POM
Polioximetileno,poliformaldehído,poliacetal
PP
Polipropileno
PPC
Polipropileno,clorado
PPO
Poli,óxido,de,fenileno
PPOX
Poli,(óxido,de,polipropileno)
PPRFV
Polipropileno,reforzado,con,fibra,de,vidrio
PPS
Polísulfuro,de,fenileno
PPSO
Polifenisulfona
PPSU
Poli,(fenilén,sulfona)
PRFV
Plástico,reforzado,con,fibra,de,vidrio
PS
Poliestireno
PSGP
Poliestireno,cristal
PSHI
Poliestireno,alto,impacto
PSBR
Elastómero,de,piridina,estireno,butadieno
PSE
Poliestireno,expandible
PSi
Elastómero,de,metil,silicona
PSU
Polisulfona
PIFE
Politetrafluoroetileno
PU
Poliuretano
PUR
Poliuretano
PVAC
Poliacetato,de,vinilo
PVAL
Poli,(alcohol,vinílico)
PVB
Poli,(butirato,de,vinilo)
PVC
Poli,(cloruro,de,vinilo)
PVCC
Poli,(cloruro,de,vinilo),dorado
PVDC
Poli,(cloruro,de,vinilideno)
PVDF
Poli,(fluoruro,de,vinilideno)
PVF
Fluoruro,de,vinilideno
PVFM
Poli,(vinil,formaldehído)
PVK
Polivinilcarbazo,vinílico
PVP
Polivinil,de,pirrolidona
RF
Resorcina,formaldehído
SAN
Estireno,acrilonitrilo
SB
Estireno,butadieno
SBR
Elastómero,de,estireno,butadieno
SBS
Estireno,butadieno,estireno
SCR
Elastómero,de,estireno,cloropreno
SFRP
Plástico,reforzado,con,fibra,sintética
SI
Siliconas
Si
Elastómero,de,metil,silicona
SIR
Elastómero,de,estireno,isopreno
SMA
Estireno,anhídrido,maleico
SMS
Estireno,metil,estireno
SP
Poliéster,saturado
TFE
Politrifluoromocloroefileno
TPE
Elastómero,termoplástico
TPU
Poliuretano,termoplástico
TPX
Poli,4,metilpenteno
UF
Urea,formaldehído
UHMWPE
Polietileno,de,ultra,alto,peso,molecular
UP
Poliéster,insaturado,(plástico,de,uretano)
VCE
Cloruro,de,vinilo,etileno
VCEMA
Cloruro,de,vinilo,etileno,acrilato,de,metilo
VCEVA
Cloruro,de,vinilo,etileno,acetato,de,vinilo
VCMA
Cloruro,de,vinilo,acrilato,de,metilo
VCMMA
Cloruro,de,vinilo,metacrilato,de,metilo
VCOA
Cloruro,de,vinilo,acrilato,de,octilo
VCVAC
Cloruro,de,vinilo,acetato,de,vinilo
VCVDC
Cloruro,de,vinilo,cloruro,de,vinilideno
VPE
Polietileno,reticulado
VPSi
Elastómero,de,metil,silicona,con,grupos,fenílicos,y,vinílicos
VSi
Elastómero,de,metil,silicona,con,grupos,vinílicos,pom,pe,pp,poe,mah,maleica,compatibilizzante,fibra,di,vetro,talco,carbonato,wollastonite,caolino,carbonato,policarbonato,acrilonitrile,butadiene,stirene,lega,amorfo,ritiro,anisotropico,antiossidante,contropressione,diaframma,cilindro,punto,nero,lega,mescola,bolla,raffreddatore,a,fontana,bruciatura,resistenza,a,cartuccia,forza,di,chiusura,gruppo,di,chiusura,coiniezione,canali,freddi,pozzetto,di,raccolta,della,goccia,fredda,rapporto,di,compressione,zona,di,compressione,canale,di,raffreddamento,fase,di,raffreddamento,copolimero,anima,maschio,fenditura,screpolatura,creep,reticolazione,cristallino,cuscino;,cuscinetto,tempo,di,ciclo,punti,di,ristagno,risucchio,degradazione,densità,essiccatore,ad,aria,deumidificata,iniezione,a,diaframma,iniezione,diretta,variazione,di,colore,dry,blend,ciclo,a,vuoto,essiccamento;,essiccazione,iniezione,laterale,corsa,di,estrazione,estrattore;,espulsore,forza,estrattore,spina,di,estrazione,perno,espulsore,tecnopolimero,bocca,di,alimentazione,zona,di,alimentazione,tempo,di,riempimento,fase,di,riempimento,piano,fisso;,piastra,fissa,ritardanti,di,fiamma;,ritardanti,la,fiamma,bava,fronte,di,flusso,lunghezza,di,scorrimento,linea,di,flusso,percorso,di,flusso,guaina,solidificata,stampaggio,a,iniezione,assistito,da,gas;,stampaggio,a,iniezione,gas,assistito;,stampaggio,a,iniezione,assistita,da,gas,punto,di,iniezione;,iniezione,solidificazione,del,punto,di,iniezione,fibre,di,vetro,brillantezza,granulatore,stabilità,termica,resistenza,a,fascia,zone,di,riscaldamento,fase,di,mantenimento;,fase,di,mantenimento,in,pressione,tempo,di,mantenimento,in,pressione,omopolimero,tramoggia,canali,caldi,chiusura,idraulica,chiusura,idromeccanica,igroscopico,carro,di,iniezione,stampaggio,ad,iniezione,pressa,ad,iniezione,pressione,di,iniezione,portata,di,iniezione,velocità,di,iniezione,gruppo,iniezione;,gruppo,di,iniezione,velocità,di,iniezione,volume,di,iniezione,potenza,installata,viscosità,intrinseca,ritiro,isotropico,linea,di,giunzione,linea,di,confluenza,rapporto,L/D,blocco,di,distribuzione,(canali,caldi),chiusura,a,ginocchiera,fuso;,materiale,fuso,fronte,del,fuso,temperatura,del,fuso;,temperatura,del,materiale,fuso,punto,di,fusione,zona,di,dosaggio,cariche,minerali,monomero,stampo,spessore,stampo,tensioni,interne,ciclo,di,stampaggio,ritiro,allo,stampaggio,piano,mobile;,piastra,mobile,stampo,multicavità,stampaggio,multicolore,stampaggio,multicomponente,ugello,gocciolamento,dell'ugello,forza,di,accostamento,dell'ugello,accostamento,ugello,punta,dell'ugello,opaco,forza,di,apertura,corsa,di,apertura,buccia,d'arancio,orientamento,sovrastampaggio,fase,di,compattamento,pressione,di,compattamento,piano,di,chiusura,deformazione,plastica,plastificante,capacità,di,plastificazione,vite,di,plastificazione,piano;,piastra,pistone,polietilentereftalato,polimetilmetacrilato;,poli(metil),metacrilato,poliammide,policarbonato,polietilene,polimero,polipropilene,polistirene,polistirolo,post,ritiro,trasformazione,spurgo,vite,punzonante,rimacinato,distaccante,tempo,di,permanenza,tensione,residua,nervatura,canale,di,iniezione,stampaggio,senza,materozza,stampaggio,sandwich,coppia,vite,giri/minuto,della,vite,velocità,di,rotazione,della,vite,semicristallino,gradiente,di,velocità,sforzo,di,taglio,stampata,incompleta;,pezzo,incompleto,stampata,capacità,di,iniezione;,peso,stampata,risucchio,passaggio,tra,le,colonne;,luce,tra,le,colonne;,spazio,tra,le,colonne,materozza,carota,boccola,del,canale,di,iniezione,incollaggio,della,materozza,stabilizzante,rigidità,stress,cracking,iniezione,a,linguetta,goffratura,termocoppia,termoplastico,termoindurente,stampaggio,a,parete,sottile,stampo,a,terza,piastra,pressa,a,iniezione,senza,colonne,chiusura,a,ginocchiera,tonnellaggio,ugello,a,torpedo,iniezione,a,tunnel;,iniezione,sottomarina,sottosquadro,stabilizzante,UV,ugello,a,valvola,commutazione,V/P,cilindro,con,degasaggio,degasaggio,sfoghi,d'aria,sfiati,materiale,vergine,viscosità,vuoto,spessore,di,parete,deformazione,svergolamento,linea,di,giunzione,acrylonitrile,butadiene,stirene,alloy,amorphous,anisotropic,shrinkage,antioxidant,back,pressure,baffle,barrel;,cylinder,black,speck,blend,bubble,bubbler,burn,mark,cartridge,heater,clamp,force,clamp,unit,co,injection,cold,runners,cold,slug,well,compression,ratio,compression,zone;,transition,zone,(plasticizing,screw),cooling,channel;,cooling,line,cooling,phase,copolymer,core,crack,cracking,craze;,crazing,creep,crosslinking,crystalline,cushion;,pad,cycle,time,dead,spots,decompression;,suck,back,(screw),degradation,density,desiccant,dryer,diaphragm,gate,direct,gate,discoloration,dry,blend,dry,cycle,drying,edge,gate,ejection,stroke,ejector,ejector,force,ejector,pin,knockout,pin,engineering,resin,feed,throat,feed,zone,(plasticizing,screw),fill,time,filling,phase,fixed,platen;,stationary,platen,flame,retardants,flash,flow,front,flow,length,flow,line,flow,path,frozen,skin,gas,assisted,injection,moulding,(GB);,gas,assisted,injection,molding,(USA),gate,gate,freezing,glass,fibres,gloss,granulator,heat,stability,heater,band,heating,zones,hold,phase;,holding,phase,hold,time;,holding,time,homopolymer,hopper,hot,runners,hydraulic,clamp,hydro,mechanical,clamp,hygroscopic,injection,carriage,injection,moulding,(GB);,injection,molding,(USA),injection,moulding,machine,(GB);,injection,molding,machine,(USA),injection,pressure,injection,rate,injection,speed,injection,unit,injection,velocity,injection,volume,installed,power,intrinsic,viscosity,isotropic,shrinkage,knit,line,L/D,ratio,manifold,mechanical,clamp,melt,melt,front,melt,temperature,melting,point,metering,zone,(plasticizing,screw),mineral,fillers,monomer,mould,(GB);,mold,(USA),mould,height,moulded,in,stresses,moulding,cycle,moulding,shrinkage,(GB);,mould,shrinkage,(GB);,molding,shrinkage,(USA);,mold,shrinkage,(USA),moving,platen;,movable,platen,multi,cavity,mould,multi,colour,moulding,(GB);,multi,color,moulding,(USA),multi,component,moulding,(GB);,multi,component,molding,(USA),nozzle,nozzle,drooling,nozzle,force,nozzle,forward,nozzle,tip,opaque,opening,force,opening,stroke,orange,peel,orientation,overmoulding,(GB);,overmolding,(USA),packing,phase,packing,pressure,parting,line,plastic,deformation,plasticizer,plasticizing,capacity,plasticizing,screw;,plasticating,screw,platen,plunger,poly(ethylene),terephthalate;,polyethylene,terephthalate,poly(methyl,methacrylate);,polymethyl,methacrylate,polyamide,polycarbonate,polyethylene,polymer,polypropylene,polystyrene,post,moulding,shrinkage,(BG);,post,molding,shrinkage,(USA),processing,purging,reciprocating,screw,regrind,release,agent,residence,time,residual,stress,rib,runner,runnerless,moulding,(GB);,runnerless,molding,(USA),sandwich,moulding,(GB);,sandwich,molding,(USA),screw,motor,torque,screw,rpm,screw,speed,semi,crystalline,shear,rate,shear,stress,short,shot,shot,shot,weight,sink,mark,space,between,tiebars;,clearance,between,tie,rods;,distance,between,tie,rods,sprue,sprue,sprue,bushing,sprue,sticking,stabilizer,stiffness,stress,cracking,tab,gate,texture,thermocouple,thermoplastic,thermoset,thin,wall,moulding,(GB);,thin,wall,molding,(USA),three,plate,mould,tiebarless,injection,moulding,machine,toggle,clamp,tonnage,torpedo,nozzle,tunnel,gate;,submarine,gate;,sub,gate,undercut,UV,stabilizer,valve,nozzle,velocity,to,pressure,transfer;,fill/pack,transfer,vented,barrel,venting,vents,virgin,material,viscosity,void,wall,thickness,warpage,weld,line,acrilonitrile,butadiene,stirene,contropressione,cilindro,punto,nero,bolla,bruciatura,forza,di,chiusura,gruppo,di,chiusura,coiniezione,canali,freddi,pozzetto,di,raccolta,della,goccia,fredda,rapporto,di,compressione,canale,di,raffreddamento,fase,di,raffreddamento,fenditura,screpolatura,cuscino;,cuscinetto,tempo,di,ciclo,punti,di,ristagno,iniezione,a,diaframma,essiccamento;,essiccazione,iniezione,laterale,estrattore;,espulsore,tecnopolimero,fase,di,riempimento,piano,fisso;,piastra,fissa,ritardanti,di,fiamma;,ritardanti,la,fiamma,bava,fronte,di,flusso,linea,di,flusso,percorso,di,flusso,stampaggio,a,iniezione,assistito,da,gas;,stampaggio,a,iniezione,gas,assistito;,stampaggio,a,iniezione,assistita,da,gas,punto,di,iniezione;,iniezione,solidificazione,del,punto,di,iniezione,fibre,di,vetro,granulatore,fase,di,mantenimento;,fase,di,mantenimento,in,pressione,tempo,di,mantenimento,in,pressione,tramoggia,canali,caldi,chiusura,idraulica,stampaggio,ad,iniezione,pressa,ad,iniezione,pressione,di,iniezione,portata,di,iniezione,velocità,di,iniezione,gruppo,iniezione;,gruppo,di,iniezione,rapporto,L/D,fuso;,materiale,fuso,temperatura,del,fuso;,temperatura,del,materiale,fuso,cariche,minerali,stampo,tensioni,interne,ritiro,allo,stampaggio,piano,mobile;,piastra,mobile,stampo,multicavità,stampaggio,multicolore,stampaggio,multicomponente,ugello,gocciolamento,dell'ugello,punta,dell'ugello,buccia,d'arancio,sovrastampaggio,fase,di,compattamento,pressione,di,compattamento,piano,di,chiusura,plastificante,vite,di,plastificazione,piano;,piastra,polietilentereftalato,polimetilmetacrilato;,poli(metil),metacrilato,poliammide,policarbonato,polietilene,polipropilene,polistirene,polistirolo,post,ritiro,trasformazione,spurgo,vite,punzonante,rimacinato,tempo,di,permanenza,canale,di,iniezione,stampaggio,senza,materozza,stampaggio,sandwich,gradiente,di,velocità,sforzo,di,taglio,stampata,incompleta;,pezzo,incompleto,stampata,capacità,di,iniezione;,peso,stampata,risucchio,passaggio,tra,le,colonne;,luce,tra,le,colonne;,spazio,tra,le,colonne,materozza,carota,boccola,del,canale,di,iniezione,iniezione,a,linguetta,termoplastico,stampaggio,a,parete,sottile,chiusura,a,ginocchiera,tonnellaggio,iniezione,a,tunnel;,iniezione,sottomarina,ugello,a,valvola,degasaggio,vuoto,spessore,di,parete,back,pressure,barrel;,cylinder,black,speck,bubble,burn,mark,clamp,force,clamp,unit,co,injection,cold,runners,cold,slug,well,compression,ratio,cooling,channel;,cooling,line,cooling,phase,crack,cracking,craze;,crazing,cushion;,pad,cycle,time,dead,spots,diaphragm,gate,drying,edge,gate,ejector,engineering,resin,filling,phase,fixed,platen;,stationary,platen,flame,retardants,flash,flow,front,flow,line,flow,path,gas,assisted,injection,moulding,(GB);,gas,assisted,injection,molding,(USA),gate,gate,freezing,glass,fibres,granulator,hold,phase;,holding,phase,hold,time;,holding,time,hopper,hot,runners,hydraulic,clamp,injection,moulding,(GB);,injection,molding,(USA),injection,moulding,machine,(GB);,injection,molding,machine,(USA),injection,pressure,injection,rate,injection,speed,injection,unit,L/D,ratio,melt,melt,temperature,mineral,fillers,mould,(GB);,mold,(USA),moulded,in,stresses,moulding,shrinkage,(GB);,mould,shrinkage,(GB);,molding,shrinkage,(USA);,mold,shrinkage,(USA),moving,platen;,movable,platen,multi,cavity,mould,multi,colour,moulding,(GB);,multi,color,moulding,(USA),multi,component,moulding,(GB);,multi,component,molding,(USA),nozzle,nozzle,drooling,nozzle,tip,orange,peel,overmoulding,(GB);,overmolding,(USA),packing,phase,packing,pressure,parting,line,plasticizer,plasticizing,screw;,plasticating,screw,platen,poly(ethylene),terephthalate;,polyethylene,terephthalate,poly(methyl,methacrylate);,polymethyl,methacrylate,polyamide,polycarbonate,polyethylene,polypropylene,polystyrene,post,moulding,shrinkage,(BG);,post,molding,shrinkage,(USA),processing,purging,reciprocating,screw,regrind,residence,time,runner,runnerless,moulding,(GB);,runnerless,molding,(USA),sandwich,moulding,(GB);,sandwich,molding,(USA),shear,rate,shear,stress,short,shot,shot,shot,weight,sink,mark,space,between,tiebars;,clearance,between,tie,rods;,distance,between,tie,rods,sprue,sprue,sprue,bushing,tab,gate,thermoplastic,thin,wall,moulding,(GB);,thin,wall,molding,(USA),toggle,clamp,tonnage,tunnel,gate;,submarine,gate;,sub,gate,valve,nozzle,venting,void,wall,thickness,Caolino,Capillari,Capocchie,Carbon,back,Carbonatazione,Carbonatazione,del,calcestruzzo,Carbonato,di,calcio,Cariche,O,estensori,Carteggiatura,Caseina,Catalisi,Catalizzatore,Catrame,Caucciù,Cavillature,Cellulosa,Cemento,fuso,o,alluminoso,Cemento,Portland,Cemento,pozzolanico,Cere,Chroma,Clorocaucciù,Cloruro,di,polivinile,Cocciopesto,Coefficiente,di,permeabilità,al,vapore,Coesione,Colatura,Colorante,Colorante,tinto,metro,Colore,Colpi,di,spazzola,(cicli,gardner),Composti,organici,volatili,Condensazione,Conducibilità,termica,Conglomerato,Consolidante,Controspinta,Copertura,Corpo,Corrosione,Costretti,a,secco,Cure,indurimento,Deformazione,Densità,Deumidificante,Dilatazione,Diluenti,Dispersore,Durezza,Elasticità,Elastomerica,Emulsione,Epossidica,Espansivo,Essiccante,Essiccazione,Oil,Evaporazione,Extender,Abrasione,(resistenza,alla),Abrasivo,Acetone,Acquaragia,vegetale,Acrilico,Additivi,Adesione,Aerografo,Aerosol,Affresco,Agenti,atmosferici,Aggregato,Air,Cure,Air,mix,Airless,Alchidica,Ammide,Ancoraggio,Antiacido/a,Antimuffa,Antiruggine,Antischiuma,Antivegetativa,Appiccicosità,Applicabilità,Argilla,espansa,Asfalto,Assorbimento,Assorbitori,U,V,Autolivellante,Azione,dei,Sali,Fessurazioni,Fessure,da,spessore,Fessure,statiche,Fibrorinforzato,Filler,Ventilato,Film,Corporatura,Filmazione,Floating,Flow,Coating,Formazione,della,pellicola,Funghicida,Gesso,Ghiaie,Gloss,Gloss,Meter,Grafite,Granulometria,Idrocarburi,Idrofugazione,Idropittura,Idropulitura,Idrorepellenza,Idrosabbiatura,Ignifugo,Igroscopicità,Immersione,Impermeabilizzante,Impolmonimento,Indurente,Inerte,Inerti,Ingiallimento,Inibitore,Inibitore,di,corrosione,Iniettabile,Intonaci,Intonaci,deumidificanti,macroporosi,Intonaci,premiscelati,Intonaci,premiscelati,monocappa,Intonaco,Intonaco,termico,Intumescenza,Isolante,Macinazione,Malte,Malte,a,ritiro,controllato,Malte,aeree,Malte,antiritiro,Malte,bastarde,Malte,colabili,Malte,da,fissaggio,Malte,da,inghisaggio,Malte,espansive,Malte,grasse,Malte,idrauliche,Malte,idrofugate,Malte,magre,o,povere,Malte,modellabili,Malte,molto,grasse,o,malte,forti,Malte,premiscelate,Malte,premiscelate,di,colletta,mento,Malte,premiscelate,fibrate,Malte,rapide,medie,lente,Massetto,o,caldana,Miche,Micromalte,Micromalte,iniettabili,Micromalte,osmotiche,Monomero,Olio,cotto,Olio,di,lino,Opacità,Osmotico,Ossidazione,Ossido,di,ferro,Passivazione,Pelle,Penetrante,Finitura,Pennellabilità,Pennello,Perlite,espansa,Peso,specifico,pH,(potenziale,idrogeno),Piana,Pietrischi,Pigmentato,Pigmenti,Pigmenti,inorganici,Pigmenti,organici,Pigmento,Piombo,Pistola,Pistola,Air,Mix,(misto,aria),Pistola,Airless,Pistola,elettrostatica,Pittura,Plasticità,Plastificanti,Polimerico,Polimerizzazione,Polimero,Porosità,Pot,life,Potere,coprente,Pozzolana,Primer,Prodotto,verniciante,Promotori,di,adesione,Puntinatura,Punto,di,rugiada,raggrinzimento,Rasante,Rasante,anticarbonatazione,Rasatura,Reazione,pozzolanica,Reologia,Reoplastica,Repellenza,Resa,Residuo,secco,Resina,Resine,Resine,naturali,Resistenza,al,fuoco,Resistenza,termica,=,R,Reticolazione,Retinamento,Rialcalinizzante,Rigature,Rinzaffo,o,rabboccatura,Ripristino,puntale,Risalita,capillare,Ritenzione,del,colore,Ritiro,Ritiro,compensato,Rivestimento,Rubb,out,Ruggine,Rugiada,Rullo,Sabbia,Sabbiatura,Sabbie,Sale,di,Vichy,Sali,cloruri,(sali,dell’acido,cloridrico),Sali,di,ammonio,Sali,nitrati,(sali,dell’acido,nitrico),Sali,solfati,(sali,dell’acido,solforico),Sanguinamento,Sbiancamento,Scagliola,Screpolamento,Sedimentazione,Separazione,Setaccio,Sfarinamento,Sfiammatura,Sfogliamento,Sigillante,Silicati,Silice,Silicone,Siliconi,Smalto,Solfato,di,calcio/gesso,Solidi,volume,Sollevamento,Sollevamento,del,pelo,Soluzione,impregnanti,anti,saline,Solvente,Spazzolatura,Spessimetro,Spessore,Spolveratura,Spruzzo,Squamatura,Staggiatura,Stratificazione,Stucco,Substrato,Sughero,Supporto,Tampone,Tempera,Tempo,di,vita,dell’impasto,(pot,life),Termocappotto,Termoigrometro,Tixotropia,Tonachino,Traspirante,Trementina,Turapori,Umidità,ascendente,(di,risalita,capillare),Umidità,da,condensa,Umidità,meteorica,Umidità,residua,U,R,Uretano,abrasione,sf,accelerante,sm,accumulatore,idropneumatico,(aeroidraulico),sm,acetale,di,vinile,sm,acetato,di,cellulosa,sm,acetato,di,vinile,sm,aceto,butirrato,di,cellulosa,sm,acquaragia,sf,addensante,sm,addensare,v,tr,additivo,per,colle,sm,aderenza,di,contatto,sf,adesività,sf,adesivo,sm,agente,allungante,diluente,sm,agente,antistatico,sm,agente,di,condensazione,sm,agente,di,reticolazione,sm,alcool,etilico;,etanolo,sm,alcool,metilico;,metanolo,sm,alcool,vinilico,sm,alesaggio,sm,alfa,cellulosa,sf,alginato,sm,alimentazione,sf,alimentazione,a,più,vie,sf,alimentazione,boccola,d',,sf,alimentazione,orifizio,d',sm,alimentazione,ponderale,sf,alimentazione,volumetrica,sf,allungamento,a,rottura,sm,allungamento,tra,segni,di,riferimento,sm,allungamento,unitario,sm,alto,polimero,sm,alveolo,sm;,cellula,sf,amianto,sm;,carica,rinforzante,sf,amminoplasto,sm,ammortizzamento,sm,ammortizzatore,sm;smorzatore,di,vibrazioni,sm,amorfo,agg,analisi,allo,staccio,sf,anello,di,contenimento,(di,stampo),sm,anello,riscaldante,sm;,collare,sm,angolo,di,conicità,sm;,angolo,di,sformo,sm,angolo,di,fase,sm,angolo,di,perdita,sm,angolo,di,sformo,sm;,angolo,di,conicità,sm,anistropia,di,stratificanti,sf,antiadesivo,per,stampo,sm,antiossidante,sm,apertura,sf,;,luce,(distanza,fra,i,piani,di,una,pressa),sf,appretto,sm,appretto,(per,tessili,carta),sm,ardesia,sf,ardesia,polvere,di,sf,assorbimento,dell'acqua,sm,assorbimento,d'acqua,velocità,d',,sf,assorbimento,di,umidità,sm,assorbimento,di,vapore,acqueo,sm,atattico,agg,attenuazione,di,colore,sf;,sbiadimento,sm;,scolorimento,sm,avvallamento,superficiale,sm,bacchetta,di,materiale,d'apporto,sf,barra,dell'espulsore,sf,bastone,sm,bastone,ottenuto,per,lavoazione,su,macchine,utensili,sm,bastone,stampato,sm,bava,sf,benzilcellulosa,sf,bicolore,agg,bocchettone,con,piastra,forata,sm,bocchettone,(o,filiera,sf),della,trafila,sm,bocchettone,per,trafilatura,di,foglie,sm,boccola,sf,boccola,d'alimentazione,sf,boccola,di,centratura,sf,boccola,di,matarozza,sf,bolla,sf,bolla,aperta,sf,bombato,agg,bozza,sf,brillantezza,sf,brinatura,sf,bruciato,agg,brunitura,sf,butirrale,di,vinile,sm,calandra,sf,calandratura,sf,camera,di,caricamento,sf,camera,di,trasferimento,sf;,cilindro,di,trasferimento,sm,camicia,elettrica,sf,campione,sm,canale,d'iniezione,sm,canale,per,circolazione,d'acqua,sm,canale,per,circolazione,di,vapore,sm,cannello,per,saldatura,sm,caolino,sm,capacità,d'iniezione,sf,carbossimetilcellulosa,sf,carica,(di,materiale,da,stampatura),sf,carica,d'iniezione,sf,carica,sf;,riempitivo,(materiale,da,stampatura),sm,carica,rinforzante,sf,carico,di,rottura,per,trazione,sm,carta,spalmata,sf,carta,verniciata,sf,caseina,sf,cassa,dello,stampo,sf,catalizzatore,sm,catalizzatore,chimico,sm,catalizzatore,fisico,sm,catena,(lineare),molecolare,sf,cavità,sf,cavità,(es,di,colata),sf,cellula,sf;,alveolo,sm,cellula,chiusa,sf,cellulosa,sf,cellulosa,rigenerata,sf,cemento,(adesivo),sm,cemento,fenolico,sm,cemento,per,lampade,elettriche,sm,cemento,per,sotto,vuoto,(adesivo),sm,cemento,sintetico,sm,cherosene,sm,chiusura,a,gravità,sf,chiusura,dello,stampo,(superficie,di),sf,chiusura,rallentata,di,uno,stampo,sf,ciclo,automatico,sm,ciclo,di,stampatura,sm,cilindro,sm,cilindro,di,calandra,sm,cilindro,d'iniezione,sm,cilindro,di,riscaldamento,sm,cilindro,di,trasferimento,sm;,camera,di,trasferimento,sf,cloro,acetato,di,vinile,sm,cloroprene,sm,cloruro,di,vinile,sm,cloruro,di,vinilidene,sm,coagulazione,sf,colata,sf,colla,(adesiva),sf,colla,di,mescolanza,sf,colla,indurente,a,caldo,sf,colla,indurente,a,freddo,sf,colla,in,polvere,sf,colla,in,soluzione,sf,colla,per,contatto,sf,colla,per,giuntare,sf,colla,per,legno,compensato,sf,collare,sm;,anello,riscaldante,sm,colla,sintetica,sf,colla,termoindurente,sf,colla,termoplastica,sf,colofonia,sf,colonna,sf,colorante,sm,colorante,insolubile,sm,colorante,solubile,sm,colore,insolubile,sm;,pigmento,sm,coltella,(della,spalmatrice),sf,compatibilità,(p,es,di,un,plastificante,e,di,una,resina),sf,compensato,(legno),sm,compensato,con,legante,resinoso,sm,compressione,del,pistone,sf,condensazione,sf,conducibilità,termica,sf,conformatore,sm,conformatore,sm;,forma,di,raffreddamento,sf,conicità,sf,contraibilità,sf,copolicondensazione,sf,copolimerizzazione,sf,copolimerizzazione,blocco,sf,copolimerizzazione,con,reticolazione,sf,copolimero,sm,copolimero,blocco,sm,corpo,della,pressa,sm,corrosione,sf,corsa,sf,cospargere,di,polvere,(per,intalcare),v,tr,costante,dielettrica,(permittività),ACETALDEHIDO
Líquido,incoloro,de,aroma,a,frutas,derivado,de,la,oxidación,del,etileno,Es,flamable,narcótico,y,presenta,riesgo,de,explosión,Su,utilización,está,centrada,en,la,fabricación,de,varios,compuestos,químicos,y,saborizantes,artificiales,
ACETATO,DE,VINILO
Es,un,líquido,incoloro,que,se,emplea,para,obtener,resinas,vinílicas,es,flamable,y,se,vende,con,inhibidores,para,evitar,la,polimerización,prematura,
ACETILACION
Adición,de,un,radical,acetilo,(CH3,CO,),en,la,molécula,de,una,substancia,orgánica,
ACRILAMINA
Cristales,incoloros,sin,aroma,que,funden,a,84°C,y,hierven,a,125°C,Son,insolubles,en,benceno,estables,a,temperatura,ambiente,pero,pueden,polimerizar,violentamente,al,fundir,La,fabricación,de,tintes,papel,y,adhesivos,son,algunas,de,sus,aplicaciones,aunque,también,funge,como,agente,de,entrecruzamiento,
ACRILATO,DE,ALILO
Líquido,que,hierve,entre,122,y,134°C,Sirve,como,un,monómero,para,resinas
ACRILATOS
Monómeros,usados,para,resinas,termofijas,pinturas,y,acabados,de,papel,
ACRILONITRILO
Líquido,incoloro,de,olor,débil,flamable,explosivo,en,el,aire,se,absorbe,por,la,piel,y,es,tóxico,por,inhalación,Parcialmente,miscible,en,agua,se,disuelve,en,cualquier,solvente,orgánico,es,usado,en,la,manufactura,de,fibras,sintéticas,copolímeros,y,diversas,síntesis,orgánicas,Un,monómero,con,la,estructura,(CH2=CH,CN),Este,copolímero,con,butadieno,es,un,hule,nitrilo,y,existen,algunos,copolímeros,con,estireno,que,son,tan,duros,como,el,poliestireno,Este,homopolímero,es,algunas,veces,usado,como,fibra,sintética,
ACRONIMO
Conjunto,de,siglas,que,abrevian,el,nombre,de,un,plástico,
ACUMULADOR
Extrusor,auxiliar,utilizado,para,proporcionar,una,distribución,extremadamente,rápida,del,párison,en,el,moldeo,por,soplado,El,cilindro,acumulador,es,cargado,con,material,plastificado,del,extrusor,que,se,distribuye,entre,el,párison,o,“disparo”,y,el,almacenado,o,“acumulado”,en,el,cilindro,requerido,para,el,próximo,párison,
ADIPICO,ACIDO
Se,conoce,también,como,"ácido,hexanodióico",es,un,sólido,cristalino,blanco,derivado,de,la,oxidación,de,la,ciclohexanona,con,ácido,nítrico,Empleado,en,la,síntesis,de,poliamidas,y,espuma,de,poliuretano,
ADITIVO
Substancia,que,modifica,las,propiedades,del,plástico,en,diferentes,formas,
ADSORCION
Adherencia,de,átomos,o,iones,de,una,substancia,a,la,superficie,de,otra,llamada,adsorbente,bajo,condiciones,favorables,los,materiales,finamente,divididos,tienen,mayor,superficie,activa,Este,proceso,se,emplea,en,la,eliminación,de,olores,y,colores,en,aceites,grasas,o,sustancias,semejantes,
ADUCTO
Asociación,de,dos,moléculas,que,no,presentan,enlaces,reales,También,llamado,"complejo,de,inclusión",
AGENTE,ENTRECRUZANTE
Se,denomina,así,a,los,compuestos,que,son,agregados,a,las,resinas,reactivas,para,solidificarlas,
AGENTE,NUCLEANTE
Nombre,que,recibe,cualquier,substancia,que,favorece,la,formación,de,núcleos,moleculares,en,un,material,,Por,lo,general,limitan,la,transparencia,de,los,plásticos,a,excepción,del,Polipropileno,
ALABEO
Falla,en,una,pieza,que,se,deforma,después,de,moldearse,la,forma,original,se,tuerce,de,manera,curva,esto,es,debido,a,los,esfuerzos,residuales,en,el,material,transformado,
ALCANOLAMINA
Compuesto,que,tiene,un,átomo,de,nitrógeno,unido,a,un,alcohol,lineal,como,la,trietanolamina,
ALCOHOL,ISOPROPILICO
Conocido,como,isopropanol,es,un,líquido,flamable,que,incendia,a,453°C,Es,un,solvente,para,la,preparación,de,aceites,esenciales,alcaloides,resinas,y,gomas,También,se,emplea,en,los,procesos,de,extracción,y,como,desnaturalizante,
ALCOHOL,POLIVINILICO
Polímero,sintético,hidrosoluble,que,se,presenta,como,polvo,blanco,con,peso,molecular,entre,35000,y,250000,gramos,por,mol,Las,propiedades,del,material,dependerán,del,grado,de,polimerización,presente,
ALCOHOLES,SUPERIORES
Término,empleado,para,los,alcoholes,de,alto,peso,molecular,
ALCOHOLISIS
Rompimiento,de,una,molécula,debido,a,la,acción,de,un,alcohol,análogo,a,la,hidrólisis,donde,el,rompimiento,se,efectúa,mediante,agua,
ALDEHIDOS
Compuesto,orgánico,que,tiene,como,estructura,básica,RCHO,donde,R,puede,ser,cualquier,radical,Los,aldehídos,forman,una,familia,de,compuestos,que,se,obtienen,de,la,deshidrogenación,de,alcoholes,
ALFA,METIL,ESTIRENO
Entre,sus,propiedades,se,encuentra,la,de,polimerizar,con,el,calor,o,un,catalizador,por,esta,razón,se,vende,con,un,inhibidor,Es,un,líquido,combustible,que,incendia,a,573°C,
ALFA,OLEFINA
Olefina,particularmente,reactiva,que,contiene,doble,enlace,en,el,primer,carbono,
ALICICLICO
Sustancias,orgánicas,que,se,caracterizan,por,tener,un,anillo,cerrado,en,su,estructura,el,anillo,no,debe,confundirse,con,el,bencénico,La,mayoría,de,estos,compùestos,provienen,del,petróleo,aún,cuando,pueden,sintetizarse,en,los,laboratorios,
ALQUIDALICA
Recubrimiento,sintético,de,naturaleza,termofija,semejante,a,un,poliéster,útil,en,la,formulación,de,pinturas,exteriores,o,marítimas,También,conocidos,como,alquídicos,se,moldean,para,encapsular,componentes,electrónicos,
ALUMINA
Nombre,de,un,compuesto,que,consta,de,sales,hidratadas,de,aluminio,se,obtiene,a,partir,de,minerales,de,éste,metal,No,es,combustible,y,comercialmente,se,encuentra,como,polvo,
AMIDA
Nombre,genérico,de,los,compuestos,nitrogenados,que,se,derivan,del,amoniaco,pueden,ser,orgánicos,o,inorgánicos,como,la,amida,de,sodio,y,la,formamida,respectivamente,
AMINA
Material,orgánico,con,nitrógeno,en,su,composición,Puede,considerarse,derivado,del,amoniaco,todas,las,aminas,son,alcalinas,
AMORFO
Característica,de,algunos,materiales,plásticos,cuyas,cadenas,están,desordenadas,en,el,espacio,,permitiendo,el,paso,de,la,luz,Este,concepto,es,contrario,a,la,cristalinidad,
ANATASA
Forma,natural,de,los,cristales,del,dióxido,de,titanio,
ANHIDRIDO,MALEICO
Sólido,incoloro,en,forma,de,agujas,que,disuelven,en,acetona,agua,y,alcohol,Se,obtiene,al,oxidar,benceno,,sirve,para,sintetizar,resinas,plásticas,y,pinturas,
ANHIDRIDOS
Substancias,que,provienen,de,un,ácido,carboxílico,al,que,se,ha,retirado,agua,el,ácido,ftálico,produce,anhídrido,ftálico,
ANIDRIDO,FTALICO
Cristales,blancos,que,funden,a,131°C,se,disuelven,en,alcohol,o,disulfuro,de,carbono,Se,emplea,en,síntesis,orgánicas,tintas,e,insecticidas,
ANTIESPUMANTES
En,el,caso,del,silicón,son,agentes,que,tienen,la,función,de,eliminar,las,espumas,que,se,forman,en,diferentes,procesos,y,reacciones,
ANTIESTATICO
(1),Método,o,substancia,que,evita,la,estática,(2),Agentes,adicionados,a,una,formulación,para,evitar,que,se,acumulen,cargas,estáticas,sobre,la,pieza,terminada,
ANTRAQUINONICOS
Serie,de,colorantes,que,se,derivan,de,la,antraquinona,son,muy,usados,en,la,industria,textil,y,poseen,baja,toxicidad,
ATACTICO
Arreglo,molecular,en,el,que,la,cadena,principal,tiene,grupos,metilo,que,cuelgan,aleatoriamente,de,ella,
AUTOEMULGENTES
Líquidos,con,elevada,solubilidad,que,forman,una,emulsión,por,sí,mismos,No,requieren,de,un,emulsificante,
AUTOEXTINGUIBLE
Característica,que,poseen,algunos,materiales,plásticos,su,estructura,evita,la,propagación,de,la,flama,cuando,éstos,se,queman,Una,vez,que,la,fuente,de,calor,es,retirada,el,polímero,extingue,la,flama,
AUTOIGNICION
Característica,de,algunas,substancias,que,producen,flama,o,explosión,bajo,ciertas,condiciones,de,temperatura,y,presión,
AZO
Prefijo,con,el,que,se,designa,a,los,compuestos,que,tienen,un,doble,enlace,nitrógeno,nitrógeno,(N=N),Este,enlace,origina,una,gran,variedad,de,substancias,
AZODICARBONAMIDA
Polvo,amarillo,que,sirve,como,agente,de,soplado,Se,descompone,a,altas,temperaturas,en,dióxido,de,carbono,amoniaco,y,nitrógeno,
AZOICO
Que,tiene,grupos,azo,
B
BANBURY
Aparato,para,la,combinación,de,materiales,que,consta,de,un,par,de,rotores,que,mezclan,los,componentes,en,forma,homogénea,
BEBEDERO
Orificio,del,molde,que,entra,en,contacto,con,la,boquilla,de,la,inyectora,El,bebedero,recibe,el,material,plastificado,y,lo,transporta,a,las,ramificaciones,del,molde,o,bien,a,la,cavidad,del,mismo,
BEHENAMIDA
Amida,derivada,del,ácido,behénico,que,a,su,vez,se,encuentra,en,el,aceite,de,cacahuate,o,del,nabo,silvestre,en,bajas,cantidades,
BENCENO
Compuesto,químico,de,gran,importancia,comercial,que,posee,6,átomos,de,carbono,en,su,molécula,enlazados,a,6,hidrógenos,mediante,un,anillo,hexagonal,Es,cancerígeno,flamable,y,se,emplea,en,la,fabricación,del,etil,benceno,que,a,su,vez,es,el,monómero,del,estireno,
BENZALDEHIDO
Es,un,aceite,volátil,con,un,color,variable,entre,amarillo,y,transparente,su,estructura,es,C6H5CHO,presenta,un,olor,característico,semejante,al,de,las,almendras,amargas,Se,emplea,principalmente,en,síntesis,orgánicas,de,colorantes,resinas,perfumes,productos,de,secado,fotografía,y,jabones,
BENZOFENONA
Presenta,diversos,usos,además,de,ser,absorbedor,de,luz,ultravioleta,también,inhibe,la,polimerización,del,estireno,permitiendo,almacenarlo,y,sirve,como,fijador,de,aromas,en,fragancias,comerciales,o,jabones,El,compuesto,puro,forma,cristales,blancos,de,aroma,dulce,semejante,al,de,las,rosas,hierve,a,305°C,es,combustible,e,insoluble,al,agua,
BENZOFENONAS
Diversos,compuestos,derivados,de,la,difenilcetona,se,usan,como,agentes,de,curado,para,resinas,epóxicas,y,absorbedores,UV,
BENZOICO,ACIDO
Sólido,blanco,combustible,en,forma,de,escamas,o,agujas,cristalinas,Sublima,a,100°C,insoluble,en,agua,,soluble,en,alcohol,éter,cloroformo,y,benceno,Se,usa,para,producir,benzoatos,plastificantes,aromas,,dentífricos,y,germicidas,
BENZOTRIAZOLES
Sales,metálicas,derivadas,de,un,compuesto,llamado,bencenoazimida,se,usan,principalmente,como,absorbedores,ultravioleta,Solubles,en,alcohol,y,benceno,
BIAXIAL
Referente,a,dos,ejes,Cuando,una,película,se,estira,biaxialmente,a,lo,largo,y,ancho,
BIODEGRADABLE
Que,se,descompone,bajo,la,acción,de,agentes,biológicos,como,insectos,o,microorganismos,
BIOPOLIMERO
Polímero,soluble,en,agua,generado,por,la,acción,de,una,bacteria,sobre,un,hidrocarburo,la,viscosidad,del,compuesto,es,semejante,a,la,del,agua,pero,puede,incrementarse,añadiendo,un,ión,de,cromo,
BIORIENTACION
Arreglo,que,toman,las,moléculas,de,un,plástico,cuando,son,forzadas,a,estirarse,biaxialmente,
Nombre,común,del,isopropilén,difenol,forma,escamas,blancas,no,solubles,en,agua,pero,disuelven,en,alcohol,y,álcalis,diluidos,como,la,sosa,o,potasa,Sus,principales,usos,son,la,síntesis,de,resinas,como,la,epóxica,y,policarbonato,
BLISTER,PACK
Voz,inglesa,que,designa,empaques,termoformados,
BLOW,FILL,SEAL
Particularidad,de,la,extrusión,soplo,en,la,que,un,envase,plástico,es,moldeado,se,llena,con,el,líquido,a,contener,y,finalmente,se,sella,sin,necesidad,de,una,tapa,adicional,Soplar,llenar,y,sellar,
BONDEADO
Procedimiento,para,unir,material,textil,con,lámina,de,poliuretano,
BOQUILLA
Pieza,de,la,unidad,de,inyección,que,aglomera,al,material,donde,termina,el,cilindro,para,ser,enviado,al,molde,
BUMPER
Pieza,automotriz,que,funge,como,defensa,
BUSHING
En,la,extrusión,es,el,anillo,externo,del,dado,que,moldea,la,superficie,externa,de,un,tubo,En,inyección,es,un,cilindro,en,las,contrapartes,de,los,pernos,y,tornillos,
BUTANO
Gas,incoloro,estable,en,el,aire,no,reacciona,con,la,humedad,ni,corroe,los,metales,Producto,de,la,destilación,del,petróleo,explota,al,contacto,con,el,aire,en,porcentajes,de,1,9,a,8,5,%,de,gas,Tiene,efectos,narcóticos,cuando,se,presenta,en,altas,concentraciones,
BUTILBENCILFTALATO
Fluido,aceitoso,claro,combustible,usado,como,intermedio,químico,en,algunas,reacciones,y,plastificante,de,resinas,vinílicas,y,celulósicas,
C
CABEZAL
Sección,final,de,un,extrusor,donde,el,polímero,fundido,toma,la,forma,del,producto,por,formar,
CABRESTANTE
Torno,vertical,que,tira,de,un,cable,
CAJA,DE,PETRI
Plato,de,vidrio,con,tapa,empleado,para,el,cultivo,de,bacterias,con,fines,médicos,o,de,investigación,biológica,
CALANDREADO
Producto,obtenido,por,el,proceso,de,calandreo,
CALANDREO
Proceso,para,generar,láminas,o,películas,plásticas,por,medio,de,una,serie,de,rodillos,calientes,colocados,adecuadamente,
CAMBIAMALLAS
Dispositivo,mecánico,o,hidráulico,que,permite,cambiar,una,malla,cuando,ésta,se,satura,de,contaminantes,
CAPACIDAD,CALORIFICA
Es,la,cantidad,de,calor,que,se,requiere,para,incrementar,la,temperatura,en,1°C,
CARBONILO
Grupo,formado,por,un,átomo,de,carbono,unido,a,uno,de,oxígeno,por,un,doble,enlace,(C=O),es,característico,en,varios,compuestos,químcos,como,las,cetonas,
CARBOXILATO
En,general,cualquier,sal,derivada,de,una,amplia,serie,de,ácidos,orgánicos,que,se,distinguen,entre,sí,por,el,número,de,átomos,de,carbono,existentes,en,la,cadena,que,puede,ir,desde,1,hasta,26,
CARBOXILICO,ACIDO
Nombre,genérico,que,reciben,diversos,compuestos,que,terminan,con,un,radical,carboxilo,(COOH),son,la,base,de,los,carboxilatos,
CARGA
Elemento,inerte,barato,adicionado,al,plástico,para,hacerlo,menos,costoso,mejorando,las,propiedades,mecánicas,en,particular,dureza,y,resistencia,al,impacto,Generalmente,las,partículas,de,cargas,son,pequeñas,a,diferencia,de,los,refuerzos,
CATALIZADOR
Cualquier,sustancia,que,en,pequeñas,cantidades,aumenta,la,velocidad,de,una,reacción,sin,intervenir,directamente,en,la,misma,por,lo,que,no,se,consume,Un,catalizador,puede,ser,sólido,líquido,o,gaseoso,su,tiempo,de,vida,media,varía,entre,1,000,o,10,000,horas,después,de,las,cuales,debe,ser,reemplazado,o,regenerado,
CENTIPOISE
Submúltiplo,del,poise,unidad,de,viscosidad,que,equivale,a,una,dina,por,segundo,por,centímetro,cuadrado,
CETONAS
Familia,de,compuestos,orgánicos,que,tienen,un,grupo,carbonilo,(C=O),entre,dos,átomos,de,carbono,las,cetonas,son,usadas,como,solventes,en,lacas,pintura,y,manufactura,textil,
CIANHIDRICO,ACIDO
Posee,la,estructura,HCN,originalmente,es,un,gas,que,se,disuelve,en,agua,para,ser,comercializado,La,solución,resultante,puede,llegar,hasta,el,97%,de,pureza,Es,un,ácido,corrosivo,y,tóxico,por,esta,razón,debe,manejarse,con,precaución,se,emplea,en,la,fabricación,de,acrilatos,
CIANOACRILATO
Base,de,adhesivos,acrílicos,se,vende,con,inhibidores,porque,polimeriza,al,contacto,con,el,aire,el,más,
CIANURICO,ACIDO
También,llamado,"ácido,triciánico",se,presenta,en,forma,de,cristales,blancos,carentes,de,aroma,muy,tóxico,por,ingestión,e,inhalación,Se,utiliza,en,síntesis,orgánicas,
CICLOHEXANO
Líquido,incoloro,de,olor,característico,formado,por,seis,átomos,de,carbono,unidos,a,12,de,hidrógeno,Es,ligeramente,tóxico,por,inhalación,y,contacto,con,la,piel,se,disuelve,en,acetona,alcohol,o,benceno,
CICLOHEXANOL
Líquido,incoloro,oleoso,miscible,con,muchos,solventes,orgánicos,y,aceites,es,combustible,e,incendia,a,300°C,Es,la,fuente,del,ácido,adípico,para,las,poliamidas
CICLOHEXANONA
Líquido,de,color,blanco,a,amarillento,combustible,soluble,al,agua,Incendia,a,420°C,es,tóxico,por,inhalación,y,se,emplea,en,la,producción,de,varios,materiales,sintéticos,entre,ellos,el,PVC,y,sus,copolímeros,
CICLOOCTADIENO
Existen,dos,compuestos,con,este,nombre,el,primero,de,ellos,es,1,3,ciclooctadieno,es,un,intermedio,en,la,producción,de,otros,compuestos,El,segundo,es,1,5,ciclooctadieno,líquido,obtenido,al,producir,resinas,que,destila,a,151°C,
CICLOOLEFINA
Hidrocarburo,alicíclico,con,dos,o,más,enlaces,dobles,como,el,ciclopentadieno,o,el,ciclooctadieno,
CIZALLAMIENTO
Cortadura,esfuerzo,cortante,
CLOROBENCENO
También,llamado,cloruro,de,fenilo,es,un,líquido,que,se,evapora,en,el,aire,tiene,su,origen,en,la,reacción,entre,el,benceno,y,una,corriente,seca,de,gas,cloro,Básicamente,se,emplea,como,disolvente,
CLOROFILA
Substancia,presente,en,la,mayoría,de,los,vegetales,es,responsable,de,la,coloración,verde,de,los,mismos,No,es,tóxica,forma,una,cera,de,tonos,verdes,según,el,tipo,de,clorofila,que,se,trate,se,conocen,tres,variedades,
CLOROPRENO
Se,presenta,como,un,líquido,incoloro,que,hierve,a,59°C,es,soluble,en,alcohol,y,ligeramente,soluble,al,agua,,Su,aplicación,principal,radica,en,la,elaboración,de,neopreno,
CLORURO,DE,METILENO
Líquido,volátil,de,olor,penetrante,semejante,al,éter,no,es,flamable,pero,es,narcótico,y,carcinógeno,,también,conocido,como,dicloro,metano,Es,útil,como,desengrasante,agente,de,soplado,y,removedor,de,pinturas,
CLORURO,DE,VINILO
Gas,de,olor,etéreo,monómero,del,PVC,Puede,explotar,al,contacto,con,el,aire,por,eso,se,maneja,en,forma,líquida,en,las,plantas,de,polimerización,mediante,sistemas,a,presión,
COEXTRUSION
Técnica,en,extrusión,que,permite,unir,dos,o,más,capas,de,plástico,recién,salidas,del,extrusor,cuando,aún,no,son,totalmente,sólidas,en,ocasiones,se,utiliza,una,capa,intermedia,de,material,como,adhesivo,
COLADA
En,un,molde,de,inyección,ó,transferencia,el,canal,usualmente,circular,que,conecta,la,esprea,con,la,compuerta,de,la,cavidad,del,molde,
COLAPSAMIENTO
Contracción,de,un,mecanismo,por,reducción,de,fuerza,
COMMODITE
Voz,inglesa,Nombre,que,reciben,los,materiales,de,alto,consumo,
COMONOMERO
Monómero,alterno,que,se,adiciona,al,reactor,de,polimerización,con,objeto,de,modificar,las,características,del,producto,obtenido
COMPATIBILIZAR
Facilitar,la,unión,de,dos,o,más,polímeros,que,inicialmente,son,dificiles,de,incorporar,debido,a,su,naturaleza,,Generalmente,la,compatibilización,requiere,de,una,sustancia,que,trabaje,como,intermedio,entre,los,materiales,a,unir,
COMPOSITE
Recibe,este,nombre,todo,el,plástico,que,está,reforzado,con,fibra,de,vidrio,o,de,carbono,
COMPOSTA
Mezcla,de,basura,orgánica,que,se,deja,fermentar,
CONTRAFLUJO
En,inyección,se,denomina,así,al,flujo,de,material,plástico,que,intenta,regresar,al,cañón,de,la,máquina,
COPOLIMERO
Si,en,la,reacción,de,obtención,de,un,polímero,intervienen,dos,monómeros,se,obtiene,un,copolímero,Los,hules,termoplásticos,son,ejemplos,de,copolímeros,como,el,EPDM,copolímero,de,etileno,propileno,
COPOLIMERO,RANDOM
Copolímero,etileno,propileno,El,término,random,se,debe,a,que,el,etileno,se,inserta,al,azar,en,la,cadena,del,polipropileno
CRAQUEO
Efecto,que,se,presenta,cuando,una,molécula,de,polímero,se,rompe,
CRESOL
Líquido,amarillento,o,rosáceo,con,olor,fenólico,que,hierve,entre,191,y,203°C,Es,irritante,ataca,la,piel,que,puede,absorberlo,cuando,está,en,el,aire,se,emplea,como,desinfectante,intermedio,en,diversas,reacciones,,manufactura,de,resinas,sintéticas,y,herbicidas,
CRIOGENIA
Rama,de,la,ciencia,que,estudia,la,materia,por,debajo,de,los,200°C,como,el,oxígeno,líquido,
,
CRISOLITA
,
Silicato,de,hierro,y,magnesio,que,se,encuentra,en,forma,mineral,en,algunas,rocas,meteoritos,y,escoria,de,altos,hornos,Su,importancia,radica,en,la,manufactura,de,cementos,y,refractarios,
,
CRISTALINIDAD
Arreglo,estructural,donde,las,cadenas,de,un,polímero,se,acercan,unas,a,otras,formando,"zonas,cristalinas",que,impiden,el,paso,de,la,luz,
CROMATOGRAFIA
Procedimiento,de,laboratorio,empleado,en,la,sepaaración,e,identificación,de,sustancias,presentes,en,una,muestra,que,se,somete,al,análisis,Existen,varios,métodos,cromatográficos,sobre,papel,en,fase,gaseosa,o,líquida,
CROMOFOROS
Grupo,funcional,que,imparte,color,en,algún,compuesto,aromático,en,ocasiones,los,colorantes,se,clasifican,de,acuerdo,al,cromóforo,
CUMENO
Soluble,en,alcohol,éter,y,benceno,Insoluble,en,agua,es,combustible,por,lo,que,presenta,riesgo,de,incendio,Se,emplea,en,la,producción,de,acetona,fenol,a,metil,estireno,y,como,solvente,
CURADO
Cambio,de,fase,en,un,material,que,pasa,de,líquido,a,sólido,por,efecto,de,una,reacción,de,polimerización,o,entrecruzamiento,
CHILLER
,Equipo,de,enfriamiento,que,mantiene,los,fluidos,de,refrigeración,a,determinada,temperatura,Su,funcionamiento,se,basa,en,un,depósito,y,una,bomba,
DECAPADO
Procedimiento,para,eliminar,la,capa,superficial,de,alguna,superficie,gracias,a,la,acción,de,ácidos,minerales,como,el,sulfúrico,o,fosfórico,La,concentración,y,la,temperatura,del,ácido,determinan,la,profundidad,del,decapado,
DEGRADACION
Deterioro,en,las,propiedades,del,polímero,pérdida,de,transparencia,amarillamiento,alteración,del,peso,molecular,por,la,acción,de,solventes,decremento,de,las,propiedades,mecánicas,por,fatiga,oxidación,por,calor,excesivo,y,degradación,biológica,
DEHUMIDIFICACION
Retirar,el,vapor,de,agua,(humedad),presente,en,el,aire,
,
DEPOLIMERIZACION
Degradación,de,un,material,plástico,o,polimérico,en,el,que,las,cadenas,moleculares,rompen,sus,enlaces,
DESHIDROGENACION
Proceso,donde,químicamente,se,retira,hidrógeno,de,un,compuesto,
DESMOLDANTE
Película,de,alguna,substancia,que,facilita,la,extracción,de,la,pieza,Usualmente,se,esprea,desmoldante,de,silicón,sobre,la,cavidad,del,molde,
DESMOLDEO
Etapa,de,un,proceso,como,inyección,o,termoformado,donde,la,pieza,se,retira,del,molde,después,de,tomar,la,forma,deseada,
DESORCION
Operación,contraria,a,la,adsorción,que,elimina,los,átomos,de,una,substancia,enlazados,a,otra,Puede,efectuarse,elevando,la,temperatura,bajando,la,presión,o,por,la,presencia,de,una,sustancia,adsorbida,con,mayor,intensidad,
DEVOLATILIZACION
Eliminación,de,materiales,volátiles,en,algún,proceso,generalmente,extrusión,donde,se,permite,que,los,oligómeros,y,otros,gases,sean,eliminados,mediante,adaptaciones,en,los,equipos,
DIAMINA
Compuesto,químico,que,tiene,dos,radicales,amino,en,su,estructura,molecular,
DIATOMACEA
Material,con,88%,de,sílice,obtenido,de,fósiles,de,algas,Soluble,en,ácido,clorhídrico,y,álcalis,fuertes,como,la,sosa,Tiene,propiedades,clarificantes,decolorantes,y,filtrantes,además,de,ser,un,agente,espesante,para,plásticos,y,caucho,
DIAZOMETANO
También,llamado,“Azilmetileno”,es,un,gas,amarillo,que,puede,explotar,al,agitarse,o,al,contactar,metales,alcalinos,presenta,una,toxicidad,elevada,Su,estructura,es,CH2=N=N
DIAZOTACION
Reacción,química,entre,una,amina,aromática,con,ácido,nitroso,para,obtener,un,compuesto,diazóico,
DIBUTILFTALATO
Líquido,oleoso,incoloro,sin,olor,insoluble,en,agua,Se,obtiene,al,hacer,reaccionar,alcohol,butílico,con,anhídrido,ftálico,Flamable,incendia,a,398°C,empleado,en,la,fabricación,de,adhesivos,tintas,también,como,plastificante,y,agente,lubricante
DICARBOXILICO
Denominación,para,algún,compuesto,orgánico,que,tiene,dos,radicales,COOH,en,su,estructura,éste,término,se,emplea,comúnmente,para,los,ácidos,orgánicos,como,el,ortoftálico,
DICER
Voz,inglesa,que,designa,una,herramienta,de,corte,empleada,en,la,producción,de,pellets,
DICICLOPENTADIENO
Sustancia,empleada,en,pinturas,resinas,barnices,y,compuestos,del,ferroceno,soluble,en,alcohol,Es,inflamable,con,riesgo,de,incendio,
DICLOROETILENO
Líquido,incoloro,que,se,descompone,lentamente,al,entrar,en,contacto,con,el,aire,la,luz,y,la,humedad,Es,flamable,tóxico,e,irritante,generalmente,se,emplea,como,solvente,en,la,extracción,de,tintes,polimerizaciones,u,otras,reacciones,químicas,
DICLORURO,DE,ETILO
Es,un,líquido,incoloro,también,conocido,como,dicloroetano,de,aroma,semejante,al,cloroformo,No,es,corrosivo,y,puede,mezclarse,con,diversos,solventes,orgánicos,ligeramente,soluble,en,agua,es,usado,en,la,producción,de,cloruro,de,vinilo,pinturas,barnices,y,desengrasante,de,metales,entre,otros,usos,
DIE,LAND
Labios,de,la,boquilla,en,una,máquina,de,inyección,
DIENO
Compuesto,que,tiene,dos,dobles,enlaces,el,más,conocido,es,el,butadieno,
DIHIDROXIBENCENO
Compuesto,que,presenta,un,anillo,bencénico,con,dos,radicales,hidroxilo,se,forman,tres,isómeros,que,tienen,diferentes,usos,Entre,ellos,destaca,el,resorcinol,y,la,hidroquinona,
DIISOCIANATO
Nombre,genérico,de,los,compuestos,que,tienen,dos,grupos,isocianato,(,NCO),en,su,estructura,se,generan,a,partir,de,diaminas,Principalmente,se,usan,para,producir,espumas,de,poliuretano,y,elastómeros,
DILATANTE
Material,que,disminuye,su,fluidez,al,agitarse,incrementando,su,viscosidad,Este,comportamiento,es,contrario,al,concepto,de,pseudoplástico,
DILUCION
Disminuir,la,concentración,de,un,compuesto,en,otro,agregando,más,solvente,
DIMERO
Molécula,donde,la,unidad,estructural,llamada,monómero,se,repite,dos,veces,Puede,considerarse,un,oligómero,
DIMETIL,FORMAMIDA
Solvente,miscible,con,agua,y,otros,diluyentes,orgánicos,se,conoce,con,las,siglas,DMF,es,un,fuerte,irritante,a,la,piel,
DISULFURO,DE,MOLIBDENO
Polvo,negro,cristalino,su,estructura,lleva,un,átomo,de,molibdeno,por,dos,de,azufre,(MoS2),soluble,en,ácidos,fuertes,como,el,agua,regia,y,el,ácido,sulfúrico,se,usa,en,lubricantes,y,dispersiones,grasas,
DUREZA
La,resistencia,de,un,material,plástico,a,la,compresión,y,al,mellado,Los,métodos,de,prueba,más,importantes,para,ésta,propiedad,son:,Brinell,Rockwell,y,Shore,
DUREZA,BRINELL
Prueba,de,dureza,en,la,que,una,esfera,se,presiona,contra,una,superficie,bajo,condiciones,conocidas,para,medir,el,diámetro,de,la,impresión,
DUREZA,ROCKWELL
Un,método,común,de,prueba,de,materiales,plásticos,para,resistencia,al,mellado,en,el,cual,un,diamante,o,bola,de,acero,bajo,presión,es,usada,para,penetrar,el,espécimen,de,prueba,La,carga,usada,es,expresada,en,kilogramos,y,el,peso,de,10,Kg,
EFLUORESCENCIA
,
,
(Chalking),Residuo,de,polvo,que,aparece,en,la,superficie,de,un,material,generalmente,a,consecuencia,de,la,degradación
,
ELASTOMERICO
,
Parecido,a,un,elastómero,que,recobra,su,forma,después,de,estirarse,
,
ELASTOMERO
,
Son,materiales,capaces,de,recuperar,su,forma,después,de,someterse,a,un,esfuerzo,o,tensión,generalmente,son,hules,
,
ELECTROLISIS
,
Fragmentar,una,substancia,en,iones,a,través,de,una,corriente,eléctrica,Los,iones,producidos,se,depositan,en,los,electrodos,utilizados,
,
ELONGACION
,
Incremento,en,la,longitud,de,una,muestra,debido,a,una,tensión,que,se,aplica,sobre,ella,Generalmente,se,expresa,como,un,porcentaje,de,la,longitud,original,
,
EMPAQUETAMIENTO
,
Llenar,la,cavidad,del,molde,con,plástico,fundido,
,
EMULSIFICANTE
,
Agente,que,genera,una,emulsión,mezcla,entre,substancias,que,no,se,incorporan,sin,éste,elemento,La,característica,de,una,emulsión,es,la,formación,de,microesferas,Sinónimo,emulgente,
,
ENDOTERMICO
,
El,término,se,aplica,a,las,reacciones,o,procesos,que,absorben,calor,del,ambiente,que,los,rodea,(2),Que,absorbe,calor,del,medio,que,lo,rodea,cuando,en,el,reactor,se,está,efectuando,una,reacción,endotérmica,,éste,se,enfría,
,
ENTALPIA
,
Cantidad,de,calor,que,se,calcula,al,sumar,la,energía,interna,y,el,producto,de,la,presión,por,el,volúmen,de,un,sistema,donde,se,ha,efectuado,un,calentamiento,es,decir:,H=U,+,PV,donde,H,es,la,entalpía,
,
ENTRECRUZAMIENTO
,
Es,una,característica,de,las,estructuras,químicas,de,los,plásticos,reconocida,por,la,formación,de,enlaces,entre,las,cadenas,moleculares,La,estructura,entrecruzada,impide,al,plástico,fundir,particularidad,de,los,termofijos,
,
ENTROPIA
,
Cantidad,de,energía,no,disponible,en,un,sistema,es,una,medida,del,desorden,existente,entre,las,moléculas,de,una,substancia,
,
EPDM
,
Abreviatura,inglesa,de,los,elastómeros,obtenidos,del,etil,propildieno,(Ethylene,Propylene,Diene,Monomer)
,
EPOXICO
,
Basado,en,óxido,de,etileno,las,resinas,epóxicas,son,derivados,de,la,condensación,del,bistenol,A,y,la,epiclorhidrina,
,
EPR
,
Siglas,del,hule,etileno,propileno,(Ethylene,Propylene,Rubber)
,
ERUCAMIDA
,
Sólido,combustible,que,funde,entre,75,y,80°C,se,disuelve,en,alcohol,isopropílico,y,se,emplea,para,disolver,resinas,y,ceras,Es,un,agente,antibloqueo,para,las,películas,de,Polietileno,
,
ESCR
,
Siglas,en,inglés,para,Enviromental,Stress,Cracking,Resitance,es,la,resistencia,a,las,fisuras,causadas,por,un,medio,químico,sobre,un,cuerpo,bajo,tensión,
,
ESFERULITAS
,
Están,presentes,en,la,mayoría,de,los,plásticos,cristalinos,y,son,aglomeraciones,esféricas,de,cristales,su,diámetro,varía,desde,algunas,decenas,de,micrómetro,hasta,varios,milímetros,
,
ESPECTRO
,
Gráfica,obtenida,mediante,instrumentos,de,análisis,se,genera,por,la,vibración,de,los,radicales,de,una,substancia,la,imagen,producida,permite,identificar,o,diferenciar,componentes,
,
ESPINERETA
,
Tipo,de,dado,de,extrusión,consiste,en,un,plato,metálico,con,múltiples,orificios,por,donde,pasa,el,material,plástico,Con,éste,dado,se,producen,filamentos,
,
ESTEARATO
,
Sal,derivada,del,ácido,esteárico,generalmente,metálica,usada,como,lubricante,
,
ESTEARICO,ACIDO
,
También,llamado,ácido,n,octadecanóico,no,tiene,olor,ceroso,al,tacto,soluble,en,alcohol,éter,cloroformo,,insoluble,en,agua,Combustible,no,tóxico,
,
ESTER
,
Nombre,que,reciben,los,compuestos,con,un,grupo,funcional,(,COO,),Se,obtienen,a,partir,de,un,ácido,carboxílico,y,un,alcohol,siendo,el,metanol,el,mas,usado,por,producir,ésteres,de,metilo,que,son,destilados,fácilmente,
,
ESTEREOESPECIFICO
,Característica,de,un,polímero,que,se,da,cuando,diversos,grupos,de,átomos,tienen,un,orden,fijo,y,definido,en,el,espacio,con,respecto,a,otros,Un,catalizador,estereoespecífico,es,aquél,que,favorece,la,formación,de,estos,materiales,
,
ESTEREOLITOGRAFIA
,
Proceso,para,crear,piezas,plásticas,tridimensionales,a,partir,de,los,datos,provenientes,del,diseño,asistido,por,computadora,y,un,láser,que,reacciona,químicamente,sobre,un,polímero,sensible,a,él,Esta,tecnología,permite,obtener,prototipos,con,mayor,rapidez,que,los,procedimientos,artesanales,
,
ESTEREOQUIMICA
,
Rama,de,la,química,que,estudia,el,arreglo,de,las,moléculas,en,el,espacio,tridimensional,
,
ESTERES,MONTANICOS
,
Compuestos,oxigenados,derivados,de,la,cera,montana,de,origen,mineral,con,diversos,usos:,pastas,adhesivas,cera,para,muebles,y,calzado,
,
ESTERICO
,
Efecto,que,confiere,un,arreglo,a,las,moléculas,en,el,espacio,o,impide,la,reacción,con,otra,molécula,
,
ETILENO
,
Gas,explosivo,que,al,polimerizar,produce,polietileno,bajo,condiciones,de,presión,y,temperatura,
,
EXOTERMICO
,
Que,desprende,calor,Es,un,comportamiento,característico,de,ciertas,reacciones,químicas,que,al,mezclarse,para,formar,un,compuesto,nuevo,calientan,el,recipiente,donde,se,efectúa,la,reacción,
,
EXTINGUIDOR
,
Equipo,utilizado,para,detener,un,incendio,
,
EXTINTOR
,
Sustancia,contenida,en,un,extinguidor,para,sofocar,el,fuego,
,
EXTRUSION
,
Método,de,transformación,donde,un,plástico,es,forzado,a,pasar,a,través,de,una,abertura,con,forma,definida,previa,fusión,del,mismo,
,
EXTRUSOR,RAM
,
Tipo,de,extrusión,en,el,que,se,empleaba,un,pistón,reciprocante,para,materiales,con,muy,bajo,índice,de,fluidez,actualmente,en,desuso,
,
EYECTOR
,
Cualquier,pieza,o,elemento,que,facilite,la,expulsión,de,algo,En,inyección,existen,pernos,que,empujan,al,producto,fuera,del,molde,son,llamados,botadores,
,
F
,
FADOMETRO
,
Equipo,donde,se,efectúan,pruebas,de,envejecimiento,acelerado,empleando,luz,ultravioleta,y,agua,Se,conoce,también,como,"weatherometer",
FENOL
Cristales,blancos,que,cambian,a,color,rojo,o,rosa,bajo,la,influencia,de,la,luz,o,impurezas,Se,torna,líquido,cuando,absorbe,agua,del,aire,ambiente,es,tóxico,por,ingestión,e,irritante,a,la,piel,funciona,como,biocida,,desinfectante,y,en,la,fabricación,de,materias,primas,para,diversas,resinas,plásticas,
,
,
FERROCENO
,
Complejo,de,hierro,y,dos,moléculas,de,ciclopentadieno,sólido,anaranjado,tóxico,al,calentarse,insoluble,al,agua,Se,utiliza,como,recubrimiento,en,satélites,y,cohetes,aditivo,en,aceites,de,combustión,para,minimizar,el,humo,generado,
,
FIBRA,DE,ARAMIDA
,
Tejido,de,Poliamida,que,se,distingue,por,soportar,altas,temperaturas,algunas,de,estas,fibras,soportan,impactos,balísticos,
,
FLASH
,
Voz,inglesa,usada,para,referirse,a,las,rebabas,
,
FLUJO,NEWTONIANO
,
Corresponde,a,un,líquido,que,no,cambia,su,viscosidad,cuando,es,agitado,por,ejemplo,el,agua,responde,uniformemente,a,la,fuerza,aplicada,sin,cambiar,su,viscosidad,
,
FLUJO,NO,NEWTONIANO
,
Fluido,que,altera,su,viscosidad,al,agitarse,ya,sea,para,aumentar,o,disminuir,según,la,naturaleza,del,líquido,,Los,plásticos,son,fluidos,no,newtonianos,porque,su,viscosidad,baja,al,agitarse,en,estado,fundido,
,
FLUOROCARBONO
,
Nombre,genérico,que,designa,a,los,hidrocarburos,que,tienen,átomos,de,flúor,en,vez,de,hidrógeno,Aunque,no,son,flamables,reaccionan,violentamente,con,bario,sodio,y,potasio,su,uso,radica,en,los,solventes,,refrigerantes,y,extinguidores,También,se,emplean,como,agentes,de,soplado,
,
FLUOROELASTOMERO
,
Polímeros,de,naturaleza,elastomérica,que,contienen,flúor,pueden,ser,homopolímeros,o,copolímeros,Son,amorfos,estables,al,calor,resisten,el,ataque,de,solventes,y,substancias,químicas,
,
FORMALDEHIDO
,
Gas,conocido,como,metanal,es,el,primero,del,grupo,de,los,aldehídos,se,presenta,comercialmente,en,solución,de,agua,y,alcohol,Encuentra,aplicaciones,en,las,resinas,uréicas,melamínicas,fenólicas,y,acetálicas,
,
FORMAMIDA
,
Líquido,oleoso,higroscópico,por,lo,que,se,disuelve,en,agua,o,alcohol,Además,de,emplearse,como,absorbedor,de,luz,ultravioleta,sirve,como,solvente,e,intermediario,en,síntesis,orgánicas,
,
FORMICO,ACIDO
,
También,llamado,ácido,metanóico,es,el,primero,de,la,serie,de,ácidos,orgánicos,es,un,líquido,incoloro,de,olor,penetrante,que,ataca,la,piel,Se,emplea,en,el,teñido,textil,fabricación,de,insecticidas,además,de,plastificante,de,materiales,vinílicos,
,
FOSFATO,DE,TRICRESILO
,
Líquido,estable,incoloro,hierve,a,420°C,y,cristaliza,a,35°C,también,es,combustible,e,incendia,a,410°C,Sirve,como,plastificante,y,retardante,a,la,flama,es,tóxico,por,ingestión,o,absorción,cutánea,
FOSGENO
Puede,presentarse,como,líquido,o,gas,de,incoloro,a,ligeramente,amarillo,es,muy,tóxico,por,inhalación,e,irritante,a,los,ojos,Sus,aplicaciones,principales,son,las,reacciones,químicas,y,la,síntesis,de,resinas,poliuretano,policarbonato,e,isocianato,
,
,
FOTOPOLIMERO
,
Material,polimérico,sensible,a,la,luz,de,manera,que,reacciona,al,ser,expuesto,a,ella,Se,emplean,en,placas,litográficas,y,de,imprenta,
,
FOTOQUIMICA
,
Rama,de,la,química,que,estudia,las,reacciones,que,tienen,lugar,bajo,el,efecto,de,la,luz,además,de,la,influencia,de,ésta,en,el,comportamiento,de,diversas,sustancias,
,
FOTOSENSIBLE
,
Que,reacciona,o,cambia,por,efecto,de,la,luz,formando,nuevas,substancias,o,modificando,su,estado,de,sólido,a,líquido,
,
FRACTURA,DEL,MELT
,
Inestabilidad,en,el,flujo,que,se,manifiesta,con,la,formación,de,estrías,superficiales,en,el,extruído,
,
FREON
,
Nombre,comercial,de,varios,productos,refrigerantes,fluorocarbonados,su,uso,ha,disminuido,por,dañar,la,capa,de,ozono,Se,emplean,como,aerosoles,equipo,contra,incendios,y,agentes,de,soplado,
,
FTALICO,ACIDO
,
Es,un,ácido,orgánico,que,tiene,dos,radicales,carboxilo,unidos,a,un,anillo,bencénico,forma,cristales,blancos,que,disuelven,en,alcohol,empleados,en,reacciones,de,laboratorio,y,farmacéutica,
,
FTALOCIANINA
,
Pigmento,verde,o,azul,la,molécula,es,muy,simétrica,y,lleva,un,átomo,de,cobre,en,el,centro,
,
FTALOFCIANINAS
,
Nombre,genérico,de,los,compuestos,que,pigmentan,materiales,de,color,verde,o,azul,
,
FUMARATO
,
Sal,derivada,del,ácido,fumárico,véase,
,
FURANO
,También,conocido,como,tetrol,o,furfurano,es,un,líquido,soluble,en,éter,o,alcohol,su,color,puede,cambiar,de,transparente,a,pardo,al,paso,del,tiempo,Es,tóxico,inflamable,y,forma,peróxidos,con,el,aire,del,ambiente,se,emplea,en,síntesis,orgánicas,
G
GASKETS
Perfil,plástico,que,puede,o,no,reforzarse,sirve,como,sello,para,fuga,de,fluidos,líquidos,o,gases,
GAYLORD
Voz,inglesa,empleada,para,designar,un,recipiente,donde,se,contiene,plástico,usualmente,con,un,volúmen,aproximado,de,un,metro,cúbico,El,contenedor,consta,de,una,bolsa,donde,el,material,reside,y,una,caja,que,a,su,vez,soporta,la,bolsa,
,
,
GEL,COAT
,
Voz,inglesa,que,implica,una,preparación,de,resina,poliéster,insaturada,que,se,aplica,sobre,el,molde,,endurece,y,se,adiciona,el,material,reforzado,para,conformar,una,pieza,La,capa,de,gel,coat,formará,parte,del,producto,final,por,esta,razón,suele,ir,pigmentado,
,
GELAR
,
Estado,intermedio,de,la,fase,líquida,a,sólida,que,se,presenta,en,diversos,materiales,plásticos,cuando,están,polimerizando,o,entrecruzando,sus,cadenas,moleculares,
,
GEOMEMBRANA
,
Recubrimiento,empleado,en,los,rellenos,sanitarios,para,evitar,la,permeación,de,los,contaminantes,al,suelo,,formando,una,barrera,protectora,
,
GLICERINA
,
Alcohol,formado,por,tres,grupos,OH,sinónimo,de,propanotriol,es,un,subproducto,de,la,preparación,de,jabones,y,tiene,múltiples,aplicaciones,
,
GLICEROL
,
Subproducto,de,la,formación,del,jabón,también,llamado,“propanotriol”,líquido,claro,soluble,en,agua,y,alcohol,Sirve,para,fabricar,resinas,alquidálicas,gomas,humectantes,y,explosivos,
,
GLICOL
,
Compuesto,orgánico,semejante,a,un,alcohol,se,diferencía,de,éste,por,tener,dos,grupos,hidroxilo,en,vez,de,uno,
,
GLICOLISIS
,
Romper,una,molécula,mediante,la,acción,de,un,glicol,
,
GLICOLISIS
,
Degradación,mediante,azucares,que,no,requiere,de,aire,para,efectuarse,
,
GRANULOMETRIA
,Medición,del,tamaño,de,un,gránulo,o,partícula,
H
,
HALOGENACION
,
Reacción,química,mediante,la,cual,se,adiciona,un,átomo,de,halógeno,a,un,compuesto,generalmente,orgánico,siendo,dichos,átomos,de,cloro,bromo,yodo,y,flúor,Cualquiera,de,los,elementos,químicos,del,grupo,VII,A,de,la,tabla,periódica:,Cloro,bromo,yodo,flúor,y,astato,La,halogenación,implica,incorporar,alguno,de,ellos,en,otra,substancia,
,
,
HDT
,
Siglas,empleadas,para,designar,la,temperatura,de,deflexión,bajo,carga,
,
HETEROCICLICO
,
Característica,de,varias,substancias,que,tienen,un,anillo,usualmente,con,uno,o,más,atomos,distintos,al,carbono,
,
HIDRACINA
,
Líquido,transparente,que,desprende,vapores,arde,a,52Oc,Obtenido,mediante,la,reacción,de,sosa,cloro,y,amoniaco,Interviene,en,la,fabricación,de,drogas,contra,la,hipertensión,como,catalizador,y,agente,de,soplado,Peligro,de,incendio,al,calentarse,Muy,tóxico,por,inhalación,e,irritante,a,la,piel,
,
HIDROCARBURO
,
Substancia,química,compuesta,sólo,de,átomos,de,hidrógeno,y,carbono,de,ahí,su,nombre,Se,considera,al,petróleo,como,la,mayor,fuente,actual,de,estos,compuestos,
,
HIDROCARBURO,SATURADO
,
Se,llama,así,al,compuesto,que,sólo,tiene,enlaces,simples,en,su,conformación,
,
HIDROCARBUROS,ALIFATICOS
,
Son,substancias,saturadas,porque,no,tienen,dobles,enlaces,ni,anillos,bencénicos,La,gasolina,y,el,propano,son,buenos,ejemplos,de,estos,materiales,
,
HIDROCARBUROS,AROMATICOS
,
Denominación,común,que,reciben,las,cadenas,hidrocarbonadas,que,presentan,uno,o,más,anillos,bencénicos,en,su,estructura,Un,compuesto,de,6,átomos,de,carbono,con,6,de,hidrógeno,
,
HIDROCLORICO,ACIDO
,
El,término,es,un,sinónimo,para,el,ácido,clorhídrico,formado,por,un,átomo,de,hidrógeno,y,otro,de,cloro,,este,producto,es,un,gas,que,se,disuelve,en,agua,para,manejarlo,con,mayor,facilidad,Cuando,se,encuentra,en,fase,gaseosa,se,denomina,cloruro,de,hidrógeno,Comercialmente,es,un,líquido,transparente,o,ligeramente,amarillo,
,
HIDROFILICO
,
Que,tiene,afinidad,al,agua,
,
HIDROFOBICO
,
Compuesto,o,substancia,repelente,al,agua,incompatible,con,ésta,característica,de,las,aceites,grasas,,resinas,y,algunos,polvos,Contrario,a,hidrofílico,
,
HIDROFOBO
,
Que,repele,el,agua,o,la,evita,
,
HIDROQUINONA
,
Cristales,blancos,solubles,en,alcohol,agua,y,éter,funden,a,170°C,y,son,combustibles,Se,usan,como,revelador,fotográfico,inhibidor,de,algunas,polimerizaciones,estabilizante,de,pinturas,y,barnices,
HALOGENO
,
Cualquiera,de,los,elementos,químicos,del,grupo,VII,A,de,la,tabla,periódica:,Cloro,bromo,yodo,flúor,y,astato,La,halogenación,implica,incorporar,alguno,de,ellos,en,otra,substancia,
,
HDT
,
Siglas,empleadas,para,designar,la,temperatura,de,deflexión,bajo,carga,
,
HETEROCICLICO
,
Característica,de,varias,substancias,que,tienen,un,anillo,usualmente,con,uno,o,más,atomos,distintos,al,carbono,
,
HIDRACINA
,
Líquido,transparente,que,desprende,vapores,arde,a,52Oc,Obtenido,mediante,la,reacción,de,sosa,cloro,y,amoniaco,Interviene,en,la,fabricación,de,drogas,contra,la,hipertensión,como,catalizador,y,agente,de,soplado,Peligro,de,incendio,al,calentarse,Muy,tóxico,por,inhalación,e,irritante,a,la,piel,
,
HIDROCARBURO
,
Substancia,química,compuesta,sólo,de,átomos,de,hidrógeno,y,carbono,de,ahí,su,nombre,Se,considera,al,petróleo,como,la,mayor,fuente,actual,de,estos,compuestos,
,
HIDROCARBURO,SATURADO
,
Se,llama,así,al,compuesto,que,sólo,tiene,enlaces,simples,en,su,conformación,
,
HIDROCARBUROS,ALIFATICOS
,
Son,substancias,saturadas,porque,no,tienen,dobles,enlaces,ni,anillos,bencénicos,La,gasolina,y,el,propano,son,buenos,ejemplos,de,estos,materiales,
,
HIDROCARBUROS,AROMATICOS
,
Denominación,común,que,reciben,las,cadenas,hidrocarbonadas,que,presentan,uno,o,más,anillos,bencénicos,en,su,estructura,Un,compuesto,de,6,átomos,de,carbono,con,6,de,hidrógeno,
,
HIDROCLORICO,ACIDO
,
El,término,es,un,sinónimo,para,el,ácido,clorhídrico,formado,por,un,átomo,de,hidrógeno,y,otro,de,cloro,,este,producto,es,un,gas,que,se,disuelve,en,agua,para,manejarlo,con,mayor,facilidad,Cuando,se,encuentra,en,fase,gaseosa,se,denomina,cloruro,de,hidrógeno,Comercialmente,es,un,líquido,transparente,o,ligeramente,amarillo,
,
HIDROFILICO
,
Que,tiene,afinidad,al,agua,
,
HIDROFOBICO
,
Compuesto,o,substancia,repelente,al,agua,incompatible,con,ésta,característica,de,las,aceites,grasas,,resinas,y,algunos,polvos,Contrario,a,hidrofílico,
,
HIDROFOBO
,
Que,repele,el,agua,o,la,evita,
,
HIDROQUINONA
,
Cristales,blancos,solubles,en,alcohol,agua,y,éter,funden,a,170°C,y,son,combustibles,Se,usan,como,revelador,fotográfico,inhibidor,de,algunas,polimerizaciones,estabilizante,de,pinturas,y,barnices,
,
HIDROSULFURO,DE,SODIO
,
También,llamado,bisulfuro,de,sodio,es,un,compuesto,soluble,en,agua,éter,y,alcohol,Se,presenta,bajo,la,forma,de,agujas,con,color,variable,transparentes,verdes,o,amarillas,formando,vapores,tóxicos,al,contacto,con,ácidos,Los,cristales,funden,a,55°C,encontrando,uso,en,la,fabricación,de,papel,además,de,textiles,
,
2,HIDROXIBENZOFENONA
,
Sólido,que,hierve,a,41°C,y,hierve,a,210°C,insoluble,en,agua,es,un,absorbedor,de,luz,ultravioleta,
,
HIDROXILO
,
Radical,compuesto,por,un,átomo,de,oxígeno,y,otro,de,hidrógeno,es,característico,de,los,alcoholes,,También,llamado,oxhidrilo,
,
HIGROSCOPICO
,
Material,que,absorbe,agua,
,
HIPOACUSIA
,
Término,empleado,para,describir,a,la,sordera,causada,por,las,actividades,laborales,de,una,persona,
,
HOMOPOLIMERO
,
Un,polímero,consistente,de,sólo,una,especie,monomérica,
,
HOT,MELT
,
Adhesivo,termoplástico,sólido,a,temperatura,ambiente,Cuando,se,calienta,funde,y,puede,ser,aplicado,
,
HOT,STAMPING
,
Técnica,de,decorado,que,se,basa,en,una,impresión,sobre,el,plástico,mediante,calor,y,presión,No,requiere,de,solventes,secado,o,tratamientos,preliminares,se,denomina,estampado,en,caliente,
,
HTV
,
Elastómeros,de,silicón,que,requieren,calor,para,vulcanizar,
,
HUSILLO
,
Elemento,metálico,de,geometría,helicoidal,que,plastifica,los,polímeros,girando,en,un,cilindro,hueco,llamado,barril,o,cañón,Los,diseños,empleados,en,los,husillos,varían,en,función,de,los,requerimientos,del,material,plástico,y,del,proceso,de,transformación,
,
HUSILLO,DEVOLATILIZADOR
,
Variante,del,husillo,convencional,de,proceso,basa,su,funcionamiento,en,una,sección,del,tornillo,que,presenta,un,diámetro,menor,De,esta,forma,no,hay,presión,sobre,el,plástico,fundido,y,se,permite,la,salida,de,materia,volátil,del,proceso,
,
HUSILLO,RECIPROCANTE
,
Un,sistema,de,extrusor,donde,el,husillo,es,empujado,hacia,delante,por,el,polímero,fundido,Cuando,se,ha,acumulado,suficiente,material,fundido,el,husillo,se,mueve,hacia,atrás,
I
IMPREGNANTE
,
,
Agente,adhesivo,para,unir,películas,de,diferentes,materiales,
,
INHIBIDOR
,
Cualquier,substancia,que,impide,o,retarda,una,reacción,generalmente,usada,para,evitar,la,polimerización,prematura,de,alguna,resina,reactiva,
,
INICIADOR
,
Agente,que,promueve,la,polimerización,de,un,monómero,a,diferencia,de,un,catalizador,el,iniciador,se,consume,en,la,reacción,Los,peróxidos,y,otros,compuestos,similares,se,usan,a,menudo,para,formar,radicales,libres,
,
INOCUIDAD
,
Inocuo,producto,que,no,reacciona,o,hace,daño
,
INSATURACIONES
,
Un,polímero,puede,tener,dobles,enlaces,en,sus,cadenas,después,de,haber,polimerizado,a,esos,materiales,se,les,conoce,como,insaturados,y,las,insaturaciones,reaccionan,al,momento,de,transformar,al,plástico,,volviendose,enlaces,simples,Una,estructura,insaturada,genera,polímeros,termofijos,
,
INTEMPERISMO
,
Exposición,a,la,intemperie,o,sus,efectos,por,determinado,tiempo,
,
INYECCION
,
Técnica,de,moldeo,en,la,que,se,pueden,formar,piezas,plásticas,de,geometría,compleja,El,proceso,se,basa,en,un,husillo,que,inyecta,plástico,fundido,dentro,de,un,molde,donde,el,material,toma,la,forma,deseada,
,
ION
,
Se,denomina,así,al,átomo,o,grupo,de,átomos,que,se,carga,eléctricamente,al,perder,o,ganar,uno,o,más,electrones,
,
IONIZABLE
,
Significa,que,las,moléculas,se,pueden,separar,en,iones,Esto,sucede,en,algunas,sales,al,disolverlas,en,agua,
,
IONIZADOR
,
Instrumento,que,despide,partículas,con,carga,eléctrica,llamadas,iones,para,neutralizar,la,electricidad,estática,
,
IONOMERO
,
Resina,polimérica,en,la,que,los,enlaces,son,iónicos,(ver,ion),son,transparentes,y,elásticos,Ningún,solvente,común,puede,disolverlos,totalmente,resisten,la,ruptura,por,esto,se,emplean,en,películas,o,envases,
,
ISOBUTILENO
,
Llamado,también,isobuteno,proviene,de,la,destilación,de,gas,de,petróleo,razón,por,la,cual,es,muy,volátil,,Altamente,flamable,y,explosivo,al,aire,sirve,para,producir,gasolina,de,alto,octanaje,copolímeros,y,resinas,acrílicas
,
ISOCIANATO
Denominación,empleada,sobre,los,compuestos,que,presenten,la,estructura,(,,N,=,C,=,O),y,por,consecuencia,también,para,las,resinas,obtenidas,al,reaccionar,con,alcoholes,(,,OH),Los,reactivos,se,unen,mediante,enlaces,tipo,uretano,(,,N,–,C,–,O,),y,de,ahí,que,a,ese,campo,de,la,tecnología,es,conocido,como,química,del,uretano,
ISOCRONICO
Proceso,donde,no,hay,variaciones,del,tiempo,es,decir,a,tiempo,constante,
ISOTACTICO
Denominación,que,reciben,los,plásticos,y,en,general,todos,los,polímeros,donde,los,grupos,de,átomos,que,no,forman,parte,de,la,cadena,principal,están,situados,por,encima,o,por,debajo,de,dicha,cadena,
IZOD
Valor,que,representa,la,resistencia,al,impacto,de,un,plástico,Es,una,prueba,que,se,efectúa,bajo,condiciones,controladas,
J
JETTING
Voz,inglesa,defecto,superficial,en,las,piezas,inyectadas,característica,de,flujo,turbulento,en,el,plástico,fundido,Se,conoce,como,“cola,de,cometa”
L
LACTAMA
Amina,cíclica,que,procede,de,la,deshidratación,de,aminoácidos,
LAURATO
Producto,derivado,del,ácido,láurico,presente,en,el,aceite,de,laurel,nuez,y,coco,
LAURICO,ACIDO
Acido,graso,presente,en,muchas,grasas,vegetales,especialmente,en,el,laurel,También,se,conoce,como,ácido,dodecanóico,por,tener,12,átomos,de,carbono,en,su,molécula,que,termina,con,el,radical,carboxilo,
LIGANTE
Ingrediente,de,un,esmalte,que,cubre,las,partículas,sólidas,y,las,une,al,sustrato,por,recubrir,
LITHOLES
Grupo,de,pigmentos,de,sodio,bario,y,calcio,baja,resistencia,a,la,intemperie,
LSR
Acrónimo,del,hule,de,silicón,en,fase,líquida,por,su,nombre,en,inglés,“Líquid,Silicone,Rubber”,
M
MALEATOS
Sales,del,ácido,maléico,maleato,de,sodio,maleato,de,etilo,
MALEICO,ACIDO
Cristales,incoloros,de,aroma,débil,solubles,en,agua,alcohol,y,acetona,Sirve,como,conservador,para,aceites,o,grasas,y,teñido,de,algodón,
MALLA
Filtro,colocado,en,las,máquinas,de,extrusión,para,retener,las,impurezas,presentes,en,el,material,plastificado,
MANDRIL
Núcleo,usado,en,procesos,de,extrusión,para,formar,tubería,película,o,perfiles,
MANIFOLD
Anglicismo,correspondiente,a,distribuidor,
MANITOL
Alcohol,de,seis,radicales,(,OH),que,forma,cristales,blancos,que,sirve,como,base,para,tabletas,y,endulzante,dietético,
MASTER,BATCH
Compuesto,de,plástico,con,alta,concentración,de,uno,o,varios,aditivos,está,diseñado,para,usar,las,cantidades,apropiadas,del,aditivo,sobre,la,resina,base,los,master,batch,de,color,son,ampliamente,usados,para,varios,plásticos,como,método,para,obtener,tonos,uniformes,de,color,
MAZAROTA
Sinónimo,de,colada,Material,plástico,excedente,resultado,del,recorrido,del,mismo,por,las,ramificaciones,y,bebedero,del,molde,
MEDIA
Término,estadístico,que,significa,el,promedio,de,una,serie,de,datos,o,mediciones,Un,promedio,se,obtiene,al,sumar,las,mediciones,y,dividir,el,resultado,entre,la,cantidad,de,lecturas,tomadas,
MELT
Voz,inglesa,denominación,común,del,plástico,fundido,
MELT,INDEX
Vocablo,inglés,del,índice,de,fluidez,que,expresa,la,cantidad,de,un,material,que,fluye,cada,diez,minutos,a
MEMORIA,TERMICA
Alteración,de,la,estructura,molecular,de,un,plástico,por,efecto,de,la,temperatura,consecuencia,de,cualquier,proceso,de,transformación,
MERCAPTAENOL
Líquido,de,color,blanco,de,olor,desagradable,moderadamente,tóxico,por,ingestión,Empleado,en,disolventes,insecticidas,colorantes,plastificantes,y,reactivo,bioquímico,
MERCAPTANOS
Grupo,de,compuestos,que,contienen,azufre,en,su,estructura,flamables,y,tóxicos,por,inhalación,Se,aplican,como,aromatizantes,debido,a,su,aroma,particularmente,desagradable,para,detectar,fugas,del,gas,doméstico,que,carece,de,olor,
MESH
Número,de,aperturas,por,pulgada,cuadrada,de,una,malla,Es,el,cuadrado,del,número,de,hebras,de,metal,o,plástico,por,pulgada,lineal,
MESOMORFICO
Estado,intermedio,entre,cristalino,y,amorfo,
METACRILICO,ACIDO
Es,la,base,de,las,resinas,acrílicas,que,se,emplean,como,plásticos,pinturas,y,adhesivos,Es,un,líquido,incoloro,que,hierve,a,162°C,soluble,en,agua,alcohol,éter,y,solventes,orgánicos,Polimeriza,con,facilidad,es,combustible,
METALOCENO
Catalizador,organo,metálico,de,composición,definida,usado,en,la,polimerización,de,algunos,plásticos,para,cambiar,el,arreglo,de,las,macromoléculas,en,el,espacio,
METIL,CELULOSA
Polvo,grisáceo,derivado,de,la,celulosa,que,se,hace,reaccionar,con,cloruro,de,metilo,o,metanol,Resiste,aceites,grasas,y,es,estable,a,la,luz,
METAMERISMO
Efecto,que,se,presenta,cuando,alguna,substancia,cambia,de,color,de,acuerdo,con,la,luz,
M,F,I,
Siglas,en,inglés,para,el,índice,de,fluidez,“Melt,Flow,Index”,
MICROPELLET
Se,refiere,a,una,presentación,del,plástico,bajo,la,forma,de,gránulos,pequeños,semejantes,a,polvo,
MIRISTICO,ACIDO
Sólido,cristalino,grasoso,soluble,en,alcohol,éter,y,agua,Se,emplea,en,la,elaboración,de,jabones,y,en,la,síntesis,de,aditivos,plásticos,
MISCIBLE
Que,se,puede,mezclar,formando,una,combinación,homogénea
MOHS
Escala,empírica,para,conocer,la,dureza,de,un,mineral,donde,se,asigna,el,valor,de,1,al,talco,y,10,al,diamante,llamada,así,en,honor,de,su,creador,Friederich,Mohs,Dada,la,existencia,de,materiales,sintéticos
con,una,dureza,mayor,la,escala,se,ha,extendido,hasta,el,valor,15,
NAFTA
Nombre,aplicado,a,diversos,productos,obtenidos,del,petróleo,el,diluyente,nafta,es,un,líquido,flamable,y,tóxico,mezcla,de,varias,substancias,químicas,
NAFTALENO
Compuesto,obtenido,a,partir,de,aceites,de,alquitrán,se,disuelve,en,benceno,y,éter,Forma,grumos,blancos,combustibles,que,se,evaporan,con,facilidad,comercializados,como,esferas,escamas,o,polvo,
NECK,IN
Expresión,empleada,en,extrusión,de,dado,plano,para,indicar,la,diferencia,de,espesor,en,el,material,cuando,abandona,el,dado,y,cuando,se,enfría,
NEFELINA
Silicato,de,sodio,obtenido,de,algunas,rocas,ígneas,la,manufactura,del,vidrio,y,la,cerámica,constituyen,el,campo,de,aplicación,de,este,material,cuyos,colores,varían,entre,el,blanco,y,el,gris,con,tonalidades,amarillas,
NEOPRENO
O
OLEAMIDA
Polvo,color,marfil,ligeramente,tóxico,Además,de,su,uso,como,deslizante,también,es,aditivo,para,tintas,,Funde,a,72Oc,
OLEFINAS
Familia,de,hidrocarburos,caracterizados,por,tener,al,menos,un,doble,enlace,en,su,conformación,También,se,denominan,alquenos,y,son,el,monómero,de,diversos,materiales,plásticos,Por,extensión,una,poliolefina,es,un,alqueno,polimerizado,
OLIGOMERO
Polímero,de,bajo,peso,molecular,se,origina,debido,a,la,presencia,de,pocas,moléculas,unidas,en,una,cadena,pequeña,donde,la,unidad,monomérica,se,repite,de,dos,a,diez,veces,Los,oligómeros,se,forman,cuando,un,polímero,empieza,a,formarse,o,degradarse,
ORGANOMETALICO
Nombre,empleado,para,cualquier,substancia,que,tenga,una,estructura,orgánica,como,un,hidrocarburo,y,un,metal,unidos,por,enlaces,químicos,
ORGANOSOL
Dispersión,de,cualquier,sustancia,insoluble,en,un,líquido,orgánico,El,vocablo,se,aplica,en,la,dispersión,de,una,resina,sintética,y,un,disolvente,volátil,en,mas,del,5%,del,peso,total,sobre,un,plastificante,
OVILLAMIENTO
Acción,de,ovillar,enrollar,plegar,envolver,
P
PALMITICO,ACIDO
También,llamado,"acido,cetílico",es,un,ácido,graso,saturado,que,se,presenta,en,forma,de,cristales,blancos,solubles,en,éter,y,alcohol,caliente,Sirve,para,sintetizar,aditivos,sales,y,jabones,Presenta,16,átomos,de,carbono,en,su,molécula,
MOL
Cantidad,de,una,substancia,pura,igual,al,peso,molecular,en,gramos,Por,ejemplo,el,peso,molecular,del,agua,es,18,entonces,18,gramos,de,agua,serán,una,mol,
%,MOL
Unidad,de,concentración,química,que,permite,conocer,la,cantidad,de,una,substancia,en,una,mezcla,o,solución,
MOLDE
Molde,cuyas,cavidades,se,acoplan,con,objeto,de,fabricar,más,piezas,en,cada,ciclo,
MONOAXIAL
En,un,solo,eje,en,dirección,vertical,u,horizontal,
MONOFILAMENTO
Hilo,de,material,obtenido,a,través,de,la,extrusión,
MONOMERO
Molécula,relativamente,simple,que,contiene,carbono,e,hidrógeno,puede,también,tener,otros,elementos,como,oxígeno,cloro,flúor,y,azufre,Al,repetirse,varias,veces,la,molécula,forma,el,polímero,a,través,de,una,reacción,conocida,como,polimerización,Ejemplos,de,estas,moléculas,son,el,cloruro,de,vinilo,y,metacrilato,de,metilo,En,general,toda,molécula,capaz,de,STACKenlazarse,para,formar,cadenas,de,alto,peso,molecular,
MWD
Iniciales,de,distribución,de,peso,molecular,(Molecular,Weight,Distribution),
Hule,sintético,disponible,en,forma,sólida,flexible,o,de,espuma,las,tres,presentaciones,tienen,aplicaciones,muy,variadas,También,se,denomina,Policloropreno
N
NITROBENCENO
Derivado,de,la,nitración,del,benceno,con,una,mezcla,de,ácido,sulfúrico,y,nítrico,Puede,presentarse,bajo,la,forma,de,cristales,verdes,o,como,líquido,amarillo,aceitoso,Es,un,ingrediente,de,las,pastas,para,pulir,metales,también,se,emplea,en,la,fabricación,de,anilina,
P
PAPEL,KRAFT
Papel,fabricado,a,partir,de,pino,que,se,trata,con,hidróxido,de,sodio,y,otras,sales,obteniendo,resistencia,en,el,producto,
PARISON
Tubo,de,plástico,a,partir,del,cual,se,soplan,contenedores,juguetes,o,piezas,en,general,
PCR
Partes,de,aditivo,a,añadir,por,cada,cien,partes,de,resina
PELLET
Gránulos,de,plástico,con,tamaño,regular,de,forma,esférica,o,cilíndrica,constituyen,la,presentación,comercial,del,material,
PELLETIZAR
Proceso,en,el,que,se,forman,pellets,usando,un,extrusor,cuyo,dado,tiene,muchos,orificios,por,donde,sale,el,plástico,con,las,dimensiones,requeridas,Esta,operación,puede,efectuarse,en,frío,o,caliente,
PENTAERITRITOL
Polvo,blanco,insoluble,en,benceno,sirve,en,la,fabricación,de,plastificantes,resinas,alquidálicas,insecticidas,,y,pinturas,
n,PENTANO
Liquido,hidrocarburo,flamable,obtenido,del,petróleo,Además,de,su,uso,como,agente,de,soplado,en,plásticos,se,usa,como,disolvente,y,pesticida,
PERCLOROETILENO
Líquido,no,flamable,ni,explosivo,presenta,cuatro,átomos,de,cloro,unidos,a,dos,de,carbono,Puede,mezclarse,con,alcohol,éter,y,aceites,resulta,tóxico,por,ingestión,absorción,de,la,piel,e,inhalación,es,buen,desengrasante,
PERILENO
Pigmentos,rojos,de,varios,tonos,con,6,anillos,bencénicos,4,grupos,carbonilo,2,átomos,de,nitrógeno,y,dos,substituyentes,en,arreglo,simétrico,Los,tonos,varían,en,función,del,substituyente,
PEROXIDO
Substancia,orgánica,que,presenta,un,enlace,oxígeno,oxígeno,en,su,estructura,Por,esta,razón,los,peróxidos,son,altamente,oxidantes,generalmente,incendian,al,contacto,con,combustibles,Elemento,con,fuertes,propiedades,oxidante,al,tener,un,enlace,oxígeno,oxígeno,Pueden,incendiarse,al,entrar,en,contacto,con,materiales,combustibles,Se,usan,para,iniciar,la,polimerización,
PEROXIDO,DE,BENZOILO
Sólido,blanco,granular,que,se,disuelve,parcialmente,en,agua,y,alcoholes,incendia,a,80°C,Puede,explotar,al,secarse,cuando,presenta,menos,de,1%,de,agua,se,usa,como,agente,de,blanqueo,para,grasas,aceites,y,ceras,además,es,catalizador,en,las,polimerizaciones,
PESO,MOLECULAR
En,el,caso,de,los,plásticos,es,una,medida,indirecta,de,la,longitud,de,las,cadenas,de,un,polímero,A,mayor
peso,molecular,mayor,longitud,en,la,misma,
PESO,MOLECULAR,PROMEDIO,EN,NUMERO
Se,define,como,el,peso,total,de,las,moléculas,de,un,polímero,dividido,entre,el,número,total,de,ellas,
PESO,MOLECULAR,PROMEDIO,EN,PESO
Es,el,peso,molecular,de,un,polímero,donde,las,cadenas,de,mayor,tamaño,tienen,mayor,influencia,
Ph
Valor,que,indica,la,alcalinidad,o,acidez,de,cualquier,substancia,generalmente,líquida,El,agua,pura,sirve,como,referencia,de,éste,parámetro,con,un,valor,de,7,una,lectura,menor,implica,naturaleza,ácida,mientras,que,un,valor,mayor,significa,que,se,tiene,un,álcali,o,base,
PIN,MIXING
Término,que,designa,una,zona,de,mezclado,en,un,husillo,
PINCH,OFF
Punto,del,proceso,de,extrusión,soplo,en,el,que,las,paredes,del,párison,se,cierran,y,cortan,cuando,éste,entra,en,el,molde,
PIRAZOLONA
El,colorante,de,pirazolona,debe,sus,propiedades,a,los,grupos,cromóforos,carbono,carbono,y,nitrógeno,,nitrógeno,que,contiene,es,de,naturaleza,ácida,y,se,emplea,en,lana,seda,y,lacas,
PIRIDINA
Líquido,de,olor,desagradable,que,presenta,color,transparente,o,amarillento,se,disuelve,en,varias,substancias,entre,ellas,el,agua,el,éter,y,benceno,Hierve,a,116°C,e,incendia,a,693°C,resulta,útil,en,la,fabricación,de,vitaminas,fungicidas,además,de,reacciones,químicas,
PIROMETRO
Instrumento,que,permite,medir,temperaturas,muy,elevadas,como,las,de,un,horno,de,fundición,
PITCH
En,un,husillo,es,la,distancia,existente,entre,un,álabe,y,otro,
PLASTICO
Material,formado,por,largas,cadenas,hidrocarbonadas,de,naturaleza,orgánica,susceptibles,de,ser,moldeados,Sus,propiedades,varían,en,función,de,su,conformación,química,y,modificaciones,de,las,que,pueden,ser,objeto,(mezclas,y,aditivos),
PLASTIFICACION
Fundir,un,material,por,efecto,de,esfuerzo,cortante,o,calentamiento,de,manera,que,sea,moldeable,(2),Acción,de,un,plastificante,sobre,la,resina,ésta,absorbe,al,primero,de,manera,que,las,partículas,resbalan,unas,sobre,otras,suavizando,el,material,Fusión,del,plástico,por,efecto,de,fricción,y,calentamiento,También,se,dice,que,un,material,está,plastificado,si,tiene,aditivos,plastificantes,como,en,el,caso,del,PVC,
PLASTIFICANTE
Agentes,químicos,agregados,a,las,composiciones,de,plástico,para,proporcionar,flujo,y,procesabilidad,y,para,reducir,su,rigidez,Esto,es,alcanzado,al,bajar,su,temperatura,de,transición,vítrea,
PLASTISOL
Dispersión,fina,de,una,resina,sobre,un,plastificante,Comúnmente,50,partes,de,plastificante,por,cada,100,de,resina,forman,una,pasta,que,gelatiniza,al,calentarse,a,150ºC,Los,plastisoles,se,usan,para,moldear,resinas,termoplásticas,especialmente,PVC,
PLATE,OUT
Mancha,originada,en,las,piezas,o,equipo,de,proceso,debido,a,la,migración,de,aditivos,
POLAR
Cualquier,sustancia,o,radical,que,puede,presentar,carga,eléctrica,las,moléculas,polares,se,ionizan,en,solución,e,imparten,conductividad,eléctrica,a,la,solución,formada,El,ácido,sulfúrico,el,agua,y,el,alcohol,son,de,naturaleza,polar,en,tanto,que,la,mayoría,de,los,hidrocarburos,no,
POLIADICION
Reacción,de,polimeerización,donde,los,monómeros,se,enlazan,sin,que,se,presente,la,condensación,de,un,subproducto,la,poliadición,se,distingue,entre,las,reacciones,de,poliomerización,porque,cada,etapa,de,la,reacción,procede,independientemente,de,la,etapa,previa,La,migración,de,un,átomo,de,hidrógeno,en,cada,etapa,es,la,base,de,la,poliadición,
POLIBUTADIENO
Termoplástico,obtenido,al,polimerizar,1,3,butadieno,generándose,dos,isómeros,el,cis,y,el,trans,El,primero,de,ellos,se,emplea,en,neumáticos,por,su,resistencia,a,la,abrasión,el,segundo,tiene,menor,utilidad,comercial,
POLICONDENSACION
Reacción,de,polimerización,donde,se,obtienen,compuestos,de,moléculas,pequeñas,que,condensan,cuando,se,verifica,el,cambio,químico,La,obtención,de,Poliésteres,se,basa,en,una,policondensación,al,igual,que,las,Poliamidas,en,el,primer,caso,se,hace,reaccionar,un,diol,con,un,diácido,carboxílico,para,obtener,agua,como,subproducto,condensado,y,un,éster,como,producto,principal,Si,la,condensación,se,repite,cada,vez,que,se,une,otra,unidad,a,la,cadena,se,produce,la,“poli,condensación”,El,suproducto,condensado,depende,de,los,reactivos,utilizados,en,la,reacción,en,algunos,casos,es,agua,y,en,otros,un,alcohol,
POLIETER
Polímero,en,que,la,unidad,repetitiva,contiene,el,grupo,(C=O),
POLIGLICOLES
Polímeros,del,etilenglicol,con,peso,molecular,variable,entre,200,y,6000,como,mínimo,Al,variar,esta,propiedad,cambian,las,demás,pueden,ser,líquidos,densos,o,sólidos,grasosos,son,estables,al,calor,son,aplicados,como,intermediarios,químicos,plastificantes,lubricantes,y,en,productos,farmacéuticos,
POLIMERO
Palabra,derivada,del,latín,poli,=,muchos,y,meros,=,partes;,utilizada,para,designar,materiales,formados,por,la,unión,de,monómeros,Los,polímeros,pueden,ser,naturales,(lana,algodón),o,sintéticos,
POLIOL
Alcohol,que,tiene,tres,o,más,grupos,hidróxido,(OH),como,los,glicéridos,y,los,alcoholes,de,azúcar
POLISACARIDO
Polímeros,de,azúcar,formados,por,más,de,nueve,estructuras,sacáridas,
POSTCLORADO
Denominación,que,recibe,un,material,que,al,tener,cloro,en,su,molécula,es,sometido,a,un,tratamiento,secundario,para,adicionarle,más,cloro,el,PVC,puede,postclorarse,
ppm
Abreviación,de,"Partes,por,millón",unidad,de,concentración,para,soluciones,muy,diluidas,
PREFORMA
Forma,previa,que,se,le,da,al,plástico,antes,de,moldearlo,en,forma,definitiva,
PREPOLIMERO
Ver,oligómero,
PRESURIZACION
Someter,un,recipiente,a,presión,aumentar,la,presión,existente,en,un,sistema,
PSEUDOPLASTICO
Materiales,que,aumentan,su,fluidez,al,agitarse,los,polímeros,de,alto,peso,molecular,se,comportan,de,esta,manera,
Q
QUELATO
Material,que,contiene,un,átomo,central,metálico,en,su,estructura,molecular,Forma,enlaces,con,otras,substancias,generando,anillos,el,agente,quelante,mas,común,es,el,EDTA,Los,quelatos,se,usan,médicamente,contra,las,bacterias,
QUERATINA
Proteína,localizada,en,el,cabello,humano,pezuñas,y,cuernos,animales,no,es,tóxica,pero,es,insoluble,y,combustible,
QUINACRIDONAS
Son,pigmentos,rojos,magentas,y,violetas,con,forma,cristalina,Tienen,alto,costo,y,tienden,al,plate,out,
R
RADICAL
Conjunto,de,átomos,que,pueden,unirse,a,otros,modificando,sus,características,químicas,también,conocidos,como,grupos,funcionales,El,radical,OH,está,presente,en,alcoholes,mientras,que,el,COOH,concierne,a,los,ácidos,carboxílicos,
Defecto,de,una,pieza,moldeada,donde,se,forman,rayas,de,varios,tonos,en,la,superficie,de,la,misma,
REACTIVIDAD
Capacidad,que,presenta,un,ingrediente,o,substancia,de,interactuar,con,otra,para,formar,uno,o,más,compuestos,diferentes,a,los,iniciales,
REBABA
Exceso,de,plástico,presente,en,una,pieza,a,lo,largo,de,la,línea,de,partición,
RECHUPE
Hueco,en,un,producto,inyectado,pieza,incompleta,
REFRACCION
Cambio,de,la,dirección,de,la,luz,al,pasar,de,un,medio,a,otro,Cuando,un,haz,de,luz,incide,sobre,la,superficie,del,agua,se,refracta,
REFUERZO
Material,fuerte,e,inerte,unido,al,plástico,para,darle,fuerza,rigidez,y,resistencia,al,impacto,Los,refuerzos,son,usualmente,largas,fibras,de,vidrio,aramídicas,o,de,carbón,Para,ser,efectivo,el,refuerzo,debe,adherirse,fuertemente,a,la,resina,
REGRANULADO
Nombre,que,recibe,el,plástico,cuando,se,fragmenta,por,molienda,después,de,ser,moldeado,por,algún,proceso,de,transformación,También,es,conocido,por,remolido,material,de,reproceso,
REOLOGIA
Estudio,del,flujo,de,la,materia,en,relación,con,el,esfuerzo,y,la,deformación,debe,ser,considerada,en,el,moldeo,de,plásticos,porque,al,fundir,se,transforman,en,líquidos,viscosos,
REOMETRO
Equipo,empleado,para,medir,la,viscosidad,de,los,plásticos,fundidos,es,el,aparato,más,empleado,para,determinar,el,comportamiento,reológico,de,un,plástico,El,material,es,fundido,en,un,cilindro,provisto,de,un,termómetro,y,resistencias,eléctricas,después,se,hace,pasar,por,un,orificio,gracias,a,la,acción,de,un,peso,,también,es,llamado,"plastómetro",
REOPEXIA
Propiedad,de,un,material,que,aumenta,su,viscosidad,cuando,se,agita,constantemente,Este,comportamiento,es,opuesto,a,la,tixotropía,Véase,tixotrópico,
REPROCESO
Procesar,por,segunda,vez,Usar,el,material,excedente,rebabas,piezas,defectuosas,y,coladas,para,moldear,otros,productos,aprovechando,la,cualidad,termoplástica,de,muchos,polímeros,
RESILENCIA
Propiedad,de,un,material,generalmente,espumado,de,recobrar,su,forma,original,después,de,someterse,a,cualquier,distorsión,
RESINA
Fluido,polimérico,denso,viscoso,natural,o,sintético,con,alto,peso,molecular,
RESINA,REACTIVA
Toda,aquella,resina,que,requiere,de,un,agente,externo,para,endurecer,mientras,toma,forma,en,un,molde,,Entre,estas,resinas,pueden,mencionarse,poliésteres,insaturados,poliuretanos,y,sistemas,epóxicos,
RESISTIVIDAD
Habilidad,de,un,material,para,resistir,el,paso,de,corriente,eléctrica,a,través,de,su,volumen,o,superficie,La,unidad,de,resistividad,volumétrica,es,de,ohm,–,cm,o,de,resistividad,superficial,de,ohm,
RESORCINOL
Cristales,blancos,que,cambian,a,color,rosa,cuando,tienen,impurezas,Producto,ligeramente,soluble,en,cloroformo,es,un,agente,de,entrecruzamiento,para,el,neopreno,base,de,algunos,adhesivos,
RETICULACION
Reacción,entre,las,moléculas,de,un,plástico,mediante,la,cual,se,forma,una,estructura,tipo,red,que,confiere,características,definidas,al,material,
RICINOLEATO
Compuesto,derivado,del,ácido,ricinoléico,que,a,su,vez,proviene,del,aceite,de,ricino,el,ácido,se,usa,para,acabados,textiles,y,jabones,
ROLADO
Procedimiento,mecánico,para,dar,forma,cilíndrica,a,una,lámina,plana,Las,placas,adquieren,la,forma,de,un,cilíndro,incompleto,para,después,ensamblarse,y,formar,un,tanque,
ROTOMOLDEO
Formación,de,una,pieza,mediante,un,molde,rotatorio,que,gira,para,distribuir,material,plastificado,sobre,sus,paredes,
RTV,1
Elastómero,de,silicón,que,vulcaniza,a,temperatura,ambiente,con,un,componente,El,acrónimo,se,refiere,a,la,notación,",
RTV,2
A,diferencia,del,RTV,1,éste,elastómero,requiere,de,dos,componentes,que,le,permiten,vulcanizar,a,temperatura,ambiente,
RUTILO
Forma,natural,del,dióxido,de,titanio,con,un,color,rojizo,o,negro,por,contener,hasta,un,10%,de,hierro,Se,utiliza,en,pinturas,esmaltes,y,para,retirar,el,óxido,del,acero,
S
SACAROSA
Azúcar,comestible,bajo,la,forma,de,cristales,blancos,o,terrones,llamada,sucrosa,sirve,como,edulcorante,,también,es,importante,en,las,reacciones,químicas,
SANDBLAST
Tratamiento,superficial,que,se,fundamenta,en,el,soplado,de,granos,de,arena,en,las,cavidades,de,un,molde,,Confiere,un,acabado,especial,a,los,productos,
SANGRADO
Migración,de,un,pigmento,o,colorante,hacia,la,superficie,de,la,pieza,plástica,
SCRAP
Sobrante,del,moldeo,que,no,forma,parte,de,la,pieza,final,como,rebabas,coladas,piezas,defectuosas,en,los,procesos,de,extrusión,o,inyección,éste,excedente,es,molido,e,incorporado,al,proceso,como,material,remolido,
SEBASICO,ACIDO
Se,presenta,en,forma,sólida,que,funden,a,133°C,solubles,en,alcohol,y,éter,el,producto,se,vende,con,calidad,técnica,y,laboratorio,Además,de,ser,plastificante,también,es,importante,en,la,elaboración,de,varias,resinas,sintéticas,
SELLADO,ULTRASONICO
Un,método,de,sellado,basado,en,vibraciones,ultrasónicas,la,frecuencia,ultrasónica,(20,a,90,kc),La,energía,eléctrica,es,convertida,en,vibraciones,a,través,del,uso,de,algún,transductor,magnético,ó,pieza,eléctrica,La,presión,vibratoria,en,la,interfase,del,área,de,sellado,desarrolla,calor,que,funde,las,superficies,plásticas,efectuando,el,sellado,
SEMICRISTALINO
Material,polimérico,que,presenta,zonas,amorfas,y,cristalinas,en,su,estructura,
SILANOS
Compuestos,de,silicio,e,hidrógeno,análogos,a,los,hidrocarburos,saturados,El,más,simple,de,ellos,se,denomina,silano,hidruro,de,silicio,(SiH4),Son,flamables,muy,tóxicos,y,se,emplean,como,agentes,de,acoplamiento,
SILICATO
Substancia,que,contiene,silicio,oxígeno,y,por,lo,menos,un,metal,
SILICO,ACIDO
Gel,de,sílice,(óxido,de,silicio,hidratado),que,se,obtiene,al,acidular,una,solución,de,silicato,sódico,Se,usa,como,reactivo,de,laboratorio,y,como,refuerzo,del,caucho,
SILOXANO
Compuesto,que,presenta,una,cadena,de,silicio,y,oxígeno,semejante,a,los,hidrocarburos,lineales,porque,el,silicio,tiene,cuatro,enlaces,igual,que,el,carbono,De,esta,forma,cada,átomo,de,silicio,está,unido,a,cuatro,átomos,de,oxígeno,
SINDIOTACTICO
Un,polímero,vinílico,en,el,cual,la,estructura,lateral,está,alternada,regularmente,arriba,y,abajo,del,plano,del,bloque,
SINERGISMO
Término,aplicado,a,la,obtención,de,óptimos,resultados,al,unir,dos,compuestos,Alcanzando,mejores,características,que,las,esperadas,de,la,suma,de,tales,substancias,
SINTERIZACION
Proceso,donde,se,forma,una,pieza,a,través,de,la,unión,de,polvo,plástico,o,metálico,que,de,difunde,en,algún,medio,
SLURRY
Suspensión,acuosa,ligera,como,la,que,se,alimenta,a,un,filtro,prensa,
SOCLO
Perfil,plástico,usualmente,de,PVC,empleado,en,construcción,sobre,pisos,y,paredes,
SOLUTO
Nombre,que,recibe,cualquier,componente,sólido,que,se,puede,disolver,en,algún,líquido,
SOLVATAR
Acción,de,los,plastificantes,sobre,las,dispersiones,de,resina,donde,el,plastificante,se,adhiere,a,las,partículas,dispersándolas,
SOLVOLISIS
Reacción,de,un,solvente,con,una,substancia,para,formar,otra,nueva,
SOPLADO
Proceso,de,transformación,que,genera,productos,huecos,mediante,la,expansión,de,plástico,reblandecido,contra,las,paredes,de,un,molde,Se,clasifica,en,dos,formas:,La,inyección,soplo,que,utiliza,una,preforma,apoyada,en,un,perno,metálico,y,la,extrusión,soplo,que,emplea,un,parison,
SORBITOL
El,nombre,de,sorbita,es,sinónimo,para,éste,compuesto,es,un,alcohol,sólido,formado,por,cristales,blancos,que,no,tienen,olor,Tiene,baja,toxicidad,y,está,presente,en,varios,frutos,Sirve,como,plastificante,y,estabilizador,
SULFATO,DE,HIDRACINA
Polvo,blanco,que,puede,disolverse,en,agua,caliente,pero,no,en,alcohol,Se,emplea,como,catalizador,de,las,fibras,acetálica,adhesivo,y,reactivo,de,laboratorio,
T
TACTICIDAD
Alineación,regular,de,la,estructura,de,algún,polímero,en,el,espacio,
TEMPERATURA,DE,FUSION
Es,la,temperatura,en,la,cual,un,material,cambia,del,estado,sólido,al,líquido,
TEMPERATURA,DE,TRANSICION,VITREA
Conocida,como,Tg,es,el,punto,en,el,que,un,plástico,se,vuelve,semilíquido,Por,encima,de,ésta,el,material,está,fundido,y,antes,de,ella,presenta,rigidez,semejante,al,vidrio,
TEMPERATURA,VICAT
Punto,en,el,que,la,punta,de,una,aguja,penetra,en,un,plástico,bajo,condiciones,estandarizadas,
TENSOACTIVO
Nombre,de,cualquier,substancia,que,altera,la,tensión,superficial,de,un,líquido,Esta,ultima,permite,que,los,fluidos,mojen,las,partículas,inmersas,en,ellos,
TENSOFISURACION
Agrietamiento,por,tensión,
TERMOFIJO
Polímero,que,solidifica,irreversiblemente,cuando,se,calienta,por,primera,vez,debido,al,entrecruzamiento,de,las,cadenas,que,lo,constituyen,La,pieza,moldeada,no,fundirá,al,calentarse,de,nuevo,si,la,temperatura,resulta,excesiva,el,plástico,se,carbonizará,antes,de,fundir,
TERMOFORMADO
Formar,por,temperatura,Moldear,por,calor,una,lámina,termoplástica,utilizando,presión,o,vacío,de,manera,auxiliar,
TERMOFUNDIBLE
Que,se,vuelve,líquido,con,el,calor,
TERMOFUSION
Volver,líquido,a,un,sólido,por,efecto,de,la,temperatura,
TERMOGRAMA
Conjunto,de,líneas,que,permiten,identificar,un,plástico,y,su,comportamiento,frente,a,la,temperatura,
TERMOPAR
Elemento,de,medición,de,la,temperatura,que,consta,de,un,par,de,metales,que,al,dilatarse,por,efecto,del,calor,envían,una,señal,eléctrica,proporcional,a,la,temperatura,a,la,que,se,encuentren,
TERMOPLASTICO
Plástico,capaz,de,ser,moldeado,en,repetidas,ocasiones,ya,que,puede,fundir,y,enfriarse,Los,miembros,típicos,de,esta,familia,son,los,polímeros,estirénicos,acrílicos,vinílicos,olefínicos,entre,otros,
TERPOLIMERO
Un,sistema,polimérico,que,contiene,tres,unidades,monoméricas,por,ejemplo,el,terpolímero,ABS,acrilonitrilo,butadieno,y,estireno,
TETRACLOROISOINDO,LINONAS
Pigmentos,amarillos,y,naranjas,que,se,caracterizan,por,tener,una,molécula,simétrica,con,dos,anillos,bencénicos,que,a,su,vez,poseen,cuatro,átomos,de,cloro,
TETRACLORURO,DE,CARBONO
Líquido,incoloro,de,olor,característico,no,es,combustible,ni,disuelve,en,agua,Es,utilizado,como,solvente,,agente,de,refrigeración,en,aplicaciones,industriales,
TETRAHIDROFURANO
Conocido,por,las,siglas,THF,es,un,líquido,blanco,parecido,al,agua,de,olor,etéreo,flamable,que,incendia,a,321°C,Es,utilizado,como,solvente,de,varias,resinas,tintas,o,adhesivos,
TIEMPO,DE,TACK
Período,de,tiempo,en,el,que,un,material,es,pegajoso,este,término,se,aplica,en,adhesivos,
TIERRAS,DIATOMACEAS
Material,con,alto,contenido,de,silicio,proviene,de,los,fósiles,de,algas,se,disuelve,en,la,sosa,o,potasa,por,ser,álcalis,fuertes,Tiene,varios,usos,en,diferentes,actividades,industriales,
TIODIPROPIONICO,ACIDO
Aditivo,aprobado,por,la,FDA,para,alimentos,y,envases,alimentarios,se,utiliza,también,como,antioxidante,en,grasas,aceites,y,productos,farmacéuticos,
TIODIPROPIONICO,ACIDO
Sustancia,empleada,como,conservador,de,alimentos,envasados,su,estructura,es,S(CH2CH2CO2H)2,,aprobada,por,la,FDA,su,uso,está,restringido,al,0,02%,del,contenido,en,grasa,
TIOGLICOLATO,ISOOCTOL
Tioglicolato,de,isooctilo,líquido,transparente,tóxico,con,débil,olor,a,frutas,empleado,en,antioxidantes,,fungicidas,plastificantes,estabilizadores,y,modificadores,de,la,polimerización,
TITANATO
Elemento,que,genera,puentes,moleculares,entre,una,carga,inorgánica,y,el,polímero,aunque,su,alcance,no,se,limite,a,esta,aplicación,forma,capas,reactivas,compatibles,sobre,la,superficie,orgánica,
TITULACION
Es,un,método,químico,conocido,también,como,“valoración”,empleado,para,determinar,la,cantidad,de,una,sustancia,en,solución,haciéndola,reaccionar,con,otra,de,concentración,conocida,con,exactitud,
TIXOTROPICO
Es,aquél,material,que,aumenta,su,fluidez,cuando,se,agita,ejerciendo,esfuerzo,cortante,entre,las,capas,del,mismo,Cuando,la,agitación,termina,el,fluido,recobra,su,viscosidad,inicial,
TOBERA
Sinónimo,de,orificio,o,abertura,
TRANSDUCTOR
Término,empleado,para,cualquier,aparato,que,se,active,mediante,una,señal,transformando,un,tipo,de,energía,a,otra,Por,ejemplo,la,energía,eléctrica,en,mecánica,
TRANSESTERIFICACION
Reacción,química,que,consiste,en,la,formación,de,un,éster,a,partir,de,otros,dos,
TRANSLUCIDO
Cuerpo,o,superficie,que,permite,el,paso,de,la,luz,pero,no,se,puede,ver,a,través,de,él,
TREPANAR
Sinónimo,de,taladrar,(2),Perforar,un,hueso,con,fines,médicinales,
TRICLOROETILENO
Líquido,estable,incoloro,que,reacciona,con,la,luz,no,es,flamable,ni,ataca,los,metales,aún,con,la,presencia,de,humedad,Tiene,olor,semejante,al,cloroformo,Se,emplea,como,desengrasante,diluyente,de,pinturas,y,adhesivos,
TRIETANOLAMINA
Presente,como,líquido,incoloro,que,hierve,a,335°C,es,higroscópico,con,aroma,de,amoniaco,usado,como,plastificante,y,supresor,de,humo,La,estructura,química,de,éste,compuesto,consta,de,un,átomo,de,nitrógeno,unido,a,tres,radicales,etóxicos,N(CH2,CH2,OH)3
TRIGLICERIDO
Nombre,que,recibe,una,familia,de,compuestos,que,forman,grasas,y,aceites,Son,ésteres,naturales,de,los,ácidos,grasos,y,la,glicerina,
TRIOXANO
Molécula,que,consta,de,ocho,o,más,unidades,del,formaldehído,se,conoce,también,como,triformol,o,meta,,formaldehído,Forma,cristales,blancos,que,funden,a,62°C,solubles,en,agua,alcohol,y,éter,Sus,usos,principales,son,las,reacciones,químicas,y,como,desinfectantes,
U
U,M,A,
Siglas,de,Unidades,de,Masa,Atómica,
UREA
Polvo,blanco,que,se,descompone,antes,de,hervir,presente,en,la,orina,y,otros,fluidos,del,organismo,,Aplicado,como,intermediario,químico,fertilizante,adhesivos,y,usado,en,algunos,medicamentos,
V
VELOCIDAD,DE,CIZALLA
Es,la,velocidad,requerida,por,una,capa,de,polímero,fundido,para,cruzar,las,paredes,de,un,canal,con,flujo,laminar,
VINIL,TOLUENO
Compuesto,ligeramente,tóxico,flamable,se,disuelve,en,éter,y,difícilmente,en,agua,Es,un,líquido,incoloro,conocido,como,metilestireno,
VISCOELASTICO
Denominación,que,recibe,un,material,que,tiene,un,comportamiento,intermedio,entre,un,líquido,viscoso,y,un,sólido,elástico,Esta,conducta,es,característica,de,todos,los,plásticos,en,mayor,o,menor,grado,
VISCOSIDAD
Resistencia,que,presenta,un,líquido,a,fluir,gen
VULCANIZACION
Reacción,química,que,cambia,las,propiedades,físicas,de,un,hule,ó,plástico,haciendo,reaccionar,azufre,peroxido,epoxide,calor,y,material,polimérico,Los,cambios,incluyen,disminución,del,flujo,plástico,reducción,de,dureza,superficial,,solubilidad,incremento,en,la,elasticidad,y,resistencia,a,la,tensión,
W
WOLLASTONITA
Silicato,natural,que,se,encuentra,en,algunas,rocas,Se,utiliza,para,fabricar,pinturas,caucho,papel,refuerzo,de,fibras,para,algunos,plásticos,
X
XANTOFILA
Materia,orgánica,que,se,encuentra,en,las,hojas,vegetales,acompañada,de,clorofila,(véase),
XILOGRAFO
Aparato,que,emplea,tipos,de,madera,para,imprimir,
Z
ZEOLITA
Sal,inorgánica,que,contiene,óxido,de,aluminio,sodio,silicio,y,agua,asociados,usada,en,el,tratamiento,de,aguas,residuales,porque,facilitan,el,intercambio,de,iones,Existen,zeolitas,naturales,y,sintéticas,
ZIEGLER,NATTA
Familia,de,catalizadores,esteroespecíficos,que,deben,su,nombre,a,los,científicos,que,los,desarrollaron,Karl,Ziegler,y,Giulio,Natta,Básicamente,son,grupos,alquil,aluminio,o,compuestos,de,titanio,el,trietilaluminio,,tetracloruro,de,titanio,son,ejemplos,de,estos,catalizadores,Ziegler,y,Natta,recibieron,el,premio,Nobel,de,Química,en,1963,por,su,descubrimiento,
ZIRCOALUMINATOS
Complejos,organometálicos,de,aluminio,y,zirconio,que,modifican,la,superficie,inorgánica,incrementando,los,niveles,permitidos,de,carga,o,fibras,en,plásticos,y,resinas,Son,análogos,a,los,silanos,
ZONA,DE,MEZCLADO
Sección,del,husillo,donde,el,plástico,se,somete,a,esfuerzos,mediante,un,maquinado,especial,existen,diversos,diseños,de,estas,zonas,de,acuerdo,a,las,necesidades,del,material,a,procesar,y,del,producto,
sf cotone in fiocchi, sm cottura, sf cratere, sm cresolo, sm crine, sm; setola, sf crosta, sf; pelle, sf culatta d'iniezione, sf curva carico-deformazione per flessione, sf cuscinetto dell'espulsore, sm cuscinetto di rinvio dell'espulsore, sm decomposizione termica, sf deformazione a caldo, sf deformazione elastica, sf deformazione non elastica, sf deformazione ottica, sf deformazione per flessione o per incurvatura, sf; freccia, sf deformazione permanente, sf deformazione plastica sf deformazione relativa, sf deformazione sotto carico, sf degradazione, sf degradazione di colore, sf densità apparente della polvere, sf deteriorazione, sf diaframma, sm diagramma carico-deformazione, sm dielettrico, agg difetto superficiale dovuto a mancanza di materiale nello stampaggio, sm diffusione, sf diffusione della luce, sf diffusività termica, sf dilatazione lineare, sf dilatazione termica, sf diluente, sm dimero, sm direzione della larghezza, sf direzione della lunghezza, sf disco di feltro, sm disidratazione, sf dispersione, sf dispersione macromoleculare, sf dispositivo di tirata, sm dispositivo per preformatura, sm disposizione a strati, sf distacco (difetto), sm distanziatore, sm durata a magazzino, sf durata di conservazione a magazzino, sf durezza, sf duttilità, sf eccesso localizzato di resina, sm efflorescenza, sf elasticità, sf elasticità ritardata (vischiosa), sf; visco-elasticità, sf elastomero, sm elastomero cellulare, sm; gomma cellulare, sf elastomero espanso, sm; gomma piuma, sf elastomero, sm; gomma, sf elastomero sintetico, sm elastomero spugnoso, sm; gomma spugna, sf elastomero (gomma) vulcanizzato, sm emulsionamento, sm emulsionamento, lavoro di, sm emulsionare, v tr emulsione, sf emulsione adesiva, sf emulsione, inversione del tipo, sf emulsione, tipo di, sm
espulsione, sf espulsione a mano, sf espulsione automatica, sf espulsione dal basso, sf espulsione dall'alto, sf espulsione di gas, sf; polmonatura, sf espulsione, sf; piastra dell'espulsore, sf espulsione, sf; pistone di espulsione, sm espulsore, sm abrasion accélérateur accumulateur aérohydraulique vinyl acétal acétate de cellulose vinyl acétate acéto-butyrate de cellulose solvant blanc épaississant épaissir (donner du corps) adjuvant pour colle adhérence de contact (entre feuilles) adhésivité adhésif extendeur agent anti-statique agent de condensation réticulant éthanol méthanol alcool vinylique alésage alpha cellulose alginate alimentation entrées multiples alimentation, buse du pot d'- alimentation, orifice d'- alimentation pondérale alimentation volumétrique allongement à la rupture allongement entre repères allongement unitaire haut polymère alvéole renforcement amiante aminoplaste amortissement (mécanique) amortisseur amorphe analyse au tamis bague de fermeture collier chauffant angle de dépouille angle de phase angle de perte angle de dépouille anistropie des stratifiés agent de démoulage; agent anti-adhérent antioxydant ouverture (distance entre les plateaux d'une presse) apprêt apprêt (pour textiles, papier) ardoise ardoise, poudre d'- absorption d'eau absorption d'eau, vitesse d'- absorption d'humidité absorption de vapeur d'eau atactique décoloration; dégradation de couleur dépressionen en surface baguette d'apport barre d'éjecteur; traverse d'éjecteur jonc jonc usiné jonc moulé bavure;toile benzyl cellulose bicolore filière multiple de séparation filière de boudineuse buse d'extrusion pour feuilles buse buse du pot d'alimentation douille buse de carotte bulle bulle ouverte bombé bossage brillance givrage brûlé bleuissement butyral de vinyle calandre calandrage chambre de chargement pot de transfert jaquette électrique échantillon canal d'injection voie à eau voie à vapeur chalumeau kaolin capacité d'injection carboxyméthyl cellulose charge (de matière à mouler) charge d'injection charge (matière de charge) charge renforçante tension de rupture papier enduit (encollé) papier verni caséine châssis catalyseur catalyseur chimique catalyseur physique chaîne (lineaire) moléculaire cavité trou alvéole cellule cellulose cellulose régénérée ciment ciment phénolique ciment de scellement pour ampoules ciment pour vide ciment synthétique pétrole lampant; kérosène fermeture par gravité appui (d'un moule) ralenti de fermeture d'un moule cycle automatique cycle de moulage cylindre cylindre de calandre pot d'injection pot de chauffage pot de transfert vinyl chloracétate chloroprène vinyl chlorure vinylidène chlorure coagulation coulée colle colle de mélange colle durcissable à chaud colle durcissable à froid colle en poudre colle en solution colle de contact colle pour joints colle de placage collier chauffant colle synthétique colle thermodurcissable colle thermoplastique colophane colonne (p. ex. de presse) colorant colorant insoluble; pigment colorant soluble colorant insoluble; pigment racle (lame docteur) compatibilité (p. ex. d'un plastifiant et d'une résine) contreplaqué contreplaqué à la résine force du piston condensation conductivité thermique conformateur jauge conformatrice dépouille affaissement copolycondensation copolymérisation copolymérisation en blocs copolymérisation avec réticulation copolymére copolymére bloc presse, corps de; plateau supérieur (corps de presse) corrosion course pulvériser costante diélectrique coton, flocon de- cuisson cratère crésol crin peau;croute culot d'injection coubre charge-flèche butée d'éjecteur butée de renvoi d'éjecteur décomposition thermique déformation à chaud déformation élastique déformation non élastique déformation optique flèche déformation permanente déformation plastique déformation relative déformation sous charge dégradation dégradation de coleur masse volumique apparente détérioration diaphragme diagramme contrainte-déformation diélectrique manque de matière au moulage diffusion diffusion de la lumière diffusivité thermique dilatation linéaire dilatation thermique diluant dimère direction de la largeur direction de la longueur disque de feutre déshydratation dispersion dispersion macromoléculaire dispositif de tirage empreinte de préformage superposition des strates ségrégation butée réglage vie en pot durée limite de stockage dureté ductilité excès local de résine efflorescence élasticité élasticité retardée élastomère
caoutchouc cellulaire caoutchouc mousse caoutchouc élastomère de synthèse caoutchouc spongieux caoutchouc vulcanisé émulsionnnement émulsionnnement, travail d'- émulsionner émulsion colle en émulsion émulsion, inversion du type d' émulsion, type d' éjection éjection à la main éjection automatique éjection par le fond éjection par le haut dégazage plateau d'éjection; plateau éjecteur piston d'éjection éjecteur abrasion accelerator air accumulator; air bottle; air-hydraulic accumulator vinyl acetal cellulose acetate vinyl acetate cellulose acetate butyrate white spirit thickener body, to additive for adhesive blocking (of sheets) adhesiveness adhesive;glue extender anti-static agent condensation agent crosslinking agent ethanol methanol vinyl alcohol dowel hole alpha-cellulose alginate feed multi-gating feed bush feed orifice weight feed volumetric feed elongation to-break elongation between gauges unit elongation high polymer cell asbestos reinforcement aminoplastic damping (mechanical) dash pot amorphous sieve analysis locking ring heater band draft angle dielectric phase angle; phase angle dielectric loss angle draft angle anistropy of laminates release agent antioxidant daylight (distance between platens of a press) glass finish size (for textiles, paper) slate slate flour water absorption speed of water absorption moisture absorption water vapor absorption atactic colour fading sink mark filler rod ejection tie-bar,ejection connecting bar rod machined rod moulded rod flash benzyl cellulose two-tone breaker plate extrusion die shhet die bush feed bush dowel bush sprue bush bubble open bubble domed boss gloss frosting burned blueing vinyl butyral calender calendering loading chamber transfer pot electric blanket sample runner water channel steam channel welding torch kaolin, china clay shoit capacity carboxymethyl cellulose charge shot filler reinforcing filler ultimate tensil strength coated paper varnished paper casein chase; frame; bolster catalyst chemical catalyst physical catalyst linear molecular chain cavity pit cell closed cell cellulose regenerated cellulose cement phenolic cement lamp-capping cement vacuum cement synthetic resin cement kerosene; kerosine gravity closing land (of a mould) inching automatic cycle moulding cycle cylinder bowl (of a calender) injection cylinder heating cylinder transfer pot vinyl chloride acetate chloroprene vinyl chloride vinylidene chloride coagulation casting adhesive; glue mixed adhesive hot-setting adhesive cold-setting adhesive powder adhesive solution adhesive contact adhesive edge-jointing adhesive plywood adhesive heater band synthetic resin adhesive thermosetting adhesive thermoplastic adhesive rosin; colophony column (e.g. of a press) colorant insoluble colorant; pigment soluble colorant insoluble colorant; pigment doctor knife compatibility (e.g. of a plasticizer and a resin) plywood resin-bonded plywood ram force condensation thermal conductivity shrinkage block or jig cooling jig; cooling fixture draft;draw collapse copolycondensation copolymerization blockcopolymerization copolymerization with cross-linking copolymer blockcopolymer main head corrosion stroke powder, to dielectric constant; permittivity cotton flock cure crater cresol bristle skin anchor; sprue puller load-deflection curve ejector pad ejector plate return pin thermal decomposition heat distortion elastic deformation plastic yield optical distortion deflection permanent set plastic deformation strain deformation under load degradation colour fading powder density deterioration baffle stress-strain curve dielectric short (a defect) diffusion diffusion of light thermal diffusivity linear expansion thermal expansion thinner dimer crosswise lengthwise bob; felt polishing disc dehydratation dispersion
macromolecular dispertion take-off preforming tool lay-up segregation (a defect) spacer pot life shelf life hardness ductility resin streak bloom elasticity viscous elasticity elastomer cellular rubber expanded rubber natural rubber synthetic rubber sponge rubber vulcanized rubber emulsification emulsification work emulsifier emulsion emulsion adhesive phase reversal of emulsion type of emulsion ejection hand ejection automatic ejection bottom ejection top ejection breathing ejection plate ejection ram ejector Abrieb, m Beschleuniger, m Druckluft-Akkumulator,m (für Hydraulik); Druckluftbehälter (Windkessel), m Vinylacetal, n Celluloseacetat, n Vinylacetat, n Celluloseacetobutyrat, n Lackbenzin (Testbenzin), n Eindickungsmittel, n eindicken (von Ölen) Leim-Zusatzstoff, m Blocken von Folien, n Klebvermögen, s Klebstoff, m; Leim, m Streckmittel, n Antistatikum, n Kondensationsmittel, n Vernetzungsmittel, n Äthanol, n Methanol, n Vinylalkohol, m Führungsbohrung, f Alpha-Cellulose, f Alginat, n Beschickung, f; Materialzufuhr, f Mehrangussfüller, m Angussbuchse, f Anschnitt der Materialzufhur, m Gewichtszuführung, f volumetrische Zuführung, f Dehnung beim Bruch, f Dehnung zwischen Messmarken, f Dehnung, f Hochpolymere, n Pore, f; Zelle, f Asbest, m; Verstärkungsfüllmittel, n Aminoplast, m Dämpfung, f Ölbremse, f; Dämpfungsvorrichtung, f; Bremszylinder, m amorph;gestaltlos;nicht kristallin Siebeanalyse, f Schliessring, m Bandheizkörper (Heizband), m Neigungswinkel, m; Winkel der Konizität, m Phasenwinkel, m Fehlwinkel, m; Fehlwinkel, dielektrischer, m Neigungswinkel, m; Winkel der Konizität, m Anistropie von Schichtstoffen, f Entformungsmittel, n Antyoxidans Einbauhöhe, lichte (zwischen den Platten einer Presse), f Leim, m; Schlichte, f Appretur, m; Schlichte, f Schiefer, m Schiefermehl, n Wasseraufnahme, f Geschwindigkeit der Wasseraufnahme, f Feuchtigkeitsabsorption, f Absorption von Wasserdampf, f ataktisch Nachlassen, n; Verbleichen der Farbe, n Einfallstelle an der Oberflächeeines Formteils, f Schweisstab, m Ausdrücker-Verbindungsstange, f; Ausdrütraverse, f Stab, m Stab, bearbeiteter, m Stab, geformter (z.B. gepresster), m Abquetschgrat (beim Pressen), m; Grat (z.B. Pressgrat), m Schwimmhaut (beim Spritzgiessen), f Benzylcellulose, f zweifarbig Lochscheibe, f; Stauscheibe, f Strangspressen-Mundstück, n Folienspritzform, f Buchse, f Angussbuchse, f Bohrung, kalibermässige, f; Führungsbuchse, f Anguss (in der Angussbuchse), m Blase, f Blase, offene (an der Oberfläche), f gewölbt Wulst, m Glanz, m Eisblumenbildung, f verbrannt Anlaufen, blau, n Vinylbutyral, n Kalander, m Kalandrieren, n Füllraum (beim Presswerkzeug), m Transfer-Druckkammer, f Heizdecke, elektrische, f Muster, n Angussverteiler, m Wasserfkanal, m Dampfkanal, m Schweissbrenner, m Kaolin, m Spritzvolumen, n Carbossimethylcellulose, f Ladung, f;Charge, f Schussgewicht (beim Spritzgiessen), n Füllstoff, m Füllstoff, m;Verstärkungsfüllmittel, m Reissfestigkeit, f Papier, beschichtetes, n Lackpapier, n Kasein, n Chassis, n; Rahmen, m Katalysator, m Katalysator, chemischer, m Katalysator, physikalischer, m Fadenmolekül, n; Kettenmolekül, n Vertiefung, f Loch, n; Pressfehler, m Zelle, f; Pore, f Zelle, geschlossene, f Cellulose, f Cellulose, regenerierte, f Klebkitt, m Phenolharzkitt, m Lampensockel-Kitt, m Vakuumkitt, m Kunstharz-Kitt, m Kerosin, n; Leuchtpetroleum, n Schliessen durch Schwerkraft, n Abquetschfläche (Abquetschrand) (eines Werkzeuges), f Verlangsamung des Schliessens eines Werkzeuges, f Zyklus, automatischer, m Formungszyklus (z.B. Presszyklus), m; Pressdauer, f Zylinder, m; Walze, f Kalanderwalze, f Massezylinder, m; Spritzzylinder, m Heizzylinder, m; Massezylinder, m Transfer-Druckkammer, f Vinylchloridacetat, n Chloropren, Vinylchlorid, n Vinylidenchlorid, n Coagulation (Koagulation), f Giessen, n Leim, m; Klebstoff, m Mischklebstoff, m; Reaktionsklebstoff, m;Zweikomponentenklebstoff, m Klebstoff, warm abbindender, m Klebstoff, kalt abbindender, m Klebstoffpulver, n Kleblösung, f; Leimlösung, f Kontaktklebstoff, m Klebstoff zur Kantenbindung, m Klebstoff zur Sperrholz, m Bandheizkörper (Heizband), m Kunstharz-Klebstoff, m Klebstoff, warm härtbarer, m Klebstoff, thermoplastischer, m Kolophonium, n Pressen-Säule, f Farbmittel, n Farbmittel, unlösliches, n Farbmittel, lösliches, n Farbmittel, unlösliches, n Streichmesser, n Verträglichkeit (z.B. von einem Weichmacher mit einem Harz), f Sperrholz, n Sperrholz, kunstharzverleimtes, n Kolbenkraft, f Kondensation, f Wärmeleitfähigkeit, f Richtvorrichtung (Schwindvorrichtung), f Abkühlungsvorrichtung (Schwindkern), f Konizität, f;Verjüngung, f Zusammenfaltung, f Copolykondensation, f Copolymerisation (Mischpolymerisation), f Blockmischpolymerisation, f Copolymerisation mit Vernetzung, f Copolymerisat (Mischpolymerisat), n Blockpolymerisat, n Querhaupt (einer Presse), n Korrosion, f Hub,m; Hublänge, f pudern Dielektrizitätskonstante, relative, f Baumwollflocke, f Härtung, f Krater, m Kresol, n Borste, f Haut, f; Schale, f Angusszieher, m Kraftdurchbiegungs-Kurve, f Aushebeboden, m Rückdrückstift, m Zersetzung, thermische, f Warmverformung, f Verformung, elastische, f Verformung, nichtelastische, f Verzerrung, optische, f Durchbiegung, f Verformung, bleibende, f Verformung, plastische, f Verformung (z.B. Dehnung, Stauchung), f
Verformung unter Last, f Degradation, f Nachlassen der Farbe, n; Verbleichen, n Schüttdichte, f; Schüttgewicht, n Verschlechterung, f Drosselscheibe, f; Membran, f Spannungs-Verformungs-Kurve, f Dielektrikum, n kurz, knapp, gedrängt Diffusion, f Lichtdiffusion, f Diffusionsvermögen, n Ausdehnung, lineare, f Wärmeausdehnung, f Verdünnungsmittel, n Dimere, f Querrichtung, f Längsrichtung, f Filzscheibe, f Dehydratisierung, f Streuung, f Dispersion, makromolekulare,f Abziehvorrichtung, f Vorformwerkzeug, n Schichtverlegung, f Pressfehler, m Zwischentaste f, Abstandhaltung, f Topfzeit, f Lagerfähigkeit, f Härte, f Duktilität, f Harzschliere, f Effloreszenz, f Elastizität, f Visco-Elastizität, f Elastomere, f Zellgummi, n Schaumgummi, n Naturkautschuk, m Elastomere, synthetische, f Schwammgummi, n Gummi, vulkanisiertes; vulkanisierte Kautschukmischung Emulsionsbildung, f Emulgierarbeit, f emulgieren Emulsion, f Klebemulsion, f Phasenvertauschbarkeit einer Emulsion, f Emulsionstyp, m Ausdrücken (auch: Ausstossen, Auswerfen), n Ausdrücken von Hand, n Ausdrücken, automatisches, n Ausdrücken von unten, n Abdrücken von oben, n Entlüften (des Werkzeuges), n Ausdrückplatte, f; Drückplatte, f Ausdrückkolben, m Ausdrücker, m; Ausstosser, m; Auswerfer, stampo, del processo, stampaggio, ad iniezione , costampaggio, sovra,stampaggio, biniezione, 2K,estrusione, coestrusione, rotomolding,poltrusione, formatura, saldatura laser ,TTIR ,lama calda, ultrasuoni, vibrazione e delle normative richieste, ASTM ,DIN,EN, IEC,ISO,SAE,UL, presso i nostri laboratori attrezzati per durezza,shore A e D , modulo a flessione e modulo a trazione ,l'allungamento,l'impatto,charpy,izod, punto di fusione o melting point, TG ,(DSC), vicat , HDT, compression, set,e proprietà elettriche.Eventualmente non trovaste tutte le informazioni necessarie in questo sito Vi preghiamo di contattare un Nostro tecnico. Ci sono molti fattori che rinfluenzano la scelta del polimeri , non qsolo le proprietà fisico-meccaniche ed il processo , ma anche l'applicazione , sia essa per tubi ,pipe, hose, cavi, classe T4 , fili, guaine, raschiaolio, belts,profili,tools,e secondo il settore , automotive, edile, costruzioni, casalingo, industria, protezione, oleodinamico, trazione,movimento terra , ogni settore richiede particolari proprietà, resistenza all'abrasione, al calore, all'idrolisi , alla fiamma, chimica agli oli , ai grassi ,alle benzine, ai solventi, conducibilità sia termica che elettrica, anti staticità, basso attrito, nucleazione, compatibilità, adesione ad altri polimeri o metalli, come inserti , stabilità alla luce , anti, UV, polimeri stabili ai raggi gamma , o con l'aggiunta di additivi, anti funghi,anti muffa, idonei al contatto alimentare FDA, EEC, VDO, KTW, WRAS, NSF,61, 2002/72 per il settore medicale USP ,classe, VI , o passando attraverso polimeri ,bio degradabili ,oxo degradabili , compostabili per un maggior rispetto dell'ambiente in cui viviamo. ACETALDEHIDO Líquido incoloro de aroma a frutas, derivado de la oxidación del etileno. Es flamable, narcótico y presenta riesgo de explosión. Su utilización está centrada en la fabricación de varios compuestos químicos y saborizantes artificiales. ACETATO DE VINILO Es un líquido incoloro, que se emplea para obtener resinas vinílicas, es flamable y se vende con inhibidores para evitar la polimerización prematura. ACETILACION Adición de un radical acetilo (CH3-CO-) en la molécula de una substancia orgánica. ACRILAMINA Cristales incoloros sin aroma, que funden a 84°C y hierven a 125°C. Son insolubles en benceno, estables a temperatura ambiente pero pueden polimerizar violentamente al fundir. La fabricación de tintes, papel y adhesivos son algunas de sus aplicaciones, aunque también funge como agente de entrecruzamiento. ACRILATO DE ALILO Líquido que hierve entre 122 y 134°C. Sirve como un monómero para resinas ACRILATOS Monómeros usados para resinas termofijas, pinturas y acabados de papel. ACRILONITRILO Líquido incoloro de olor débil, flamable, explosivo en el aire, se absorbe por la piel y es tóxico por inhalación. Parcialmente miscible en agua se disuelve en cualquier solvente orgánico, es usado en la manufactura de fibras sintéticas, copolímeros y diversas síntesis orgánicas. ACRILONITRILO Un monómero con la estructura (CH2=CH-CN). Este copolímero con butadieno es un hule nitrilo, y existen algunos copolímeros con estireno que son tan duros como el poliestireno. Este homopolímero es algunas veces usado como fibra sintética. ACRONIMO Conjunto de siglas que abrevian el nombre de un plástico. ACUMULADOR Extrusor auxiliar utilizado para proporcionar una distribución extremadamente rápida del párison en el moldeo por soplado. El cilindro acumulador es cargado con material plastificado del extrusor que se distribuye entre el párison o “disparo” y el almacenado o “acumulado” en el cilindro requerido para el próximo párison. ADIPICO, ACIDO Se conoce también como "ácido hexanodióico" es un sólido, cristalino, blanco, derivado de la oxidación de la ciclohexanona con ácido nítrico. Empleado en la síntesis de poliamidas y espuma de poliuretano. ADITIVO Substancia que modifica las propiedades del plástico en diferentes formas. ADSORCION Adherencia de átomos o iones de una substancia a la superficie de otra llamada adsorbente bajo condiciones favorables, los materiales finamente divididos tienen mayor superficie activa. Este proceso se emplea en la eliminación de olores y colores en aceites, grasas o sustancias semejantes. ADUCTO Asociación de dos moléculas que no presentan enlaces reales. También llamado "complejo de inclusión". AGENTE ENTRECRUZANTE Se denomina así a los compuestos que son agregados a las resinas reactivas para solidificarlas. AGENTE NUCLEANTE Nombre que recibe cualquier substancia que favorece la formación de núcleos moleculares en un material. Por lo general limitan la transparencia de los plásticos a excepción del Polipropileno. ALABEO Falla en una pieza que se deforma después de moldearse, la forma original se tuerce de manera curva, esto es debido a los esfuerzos residuales en el material transformado. ALCANOLAMINA Compuesto que tiene un átomo de nitrógeno unido a un alcohol lineal, como la trietanolamina. ALCOHOL ISOPROPILICO Conocido como isopropanol, es un líquido flamable que incendia a 453°C. Es un solvente para la preparación de aceites esenciales, alcaloides, resinas y gomas. También se emplea en los procesos de extracción y como desnaturalizante. ALCOHOL POLIVINILICO Polímero sintético hidrosoluble, que se presenta como polvo blanco con peso molecular entre 35000 y 250000 gramos por mol. Las propiedades del material dependerán del grado de polimerización presente. ALCOHOLES SUPERIORES Término empleado para los alcoholes de alto peso molecular. ALCOHOLISIS Rompimiento de una molécula debido a la acción de un alcohol, análogo a la hidrólisis donde el rompimiento se efectúa mediante agua. ALDEHIDOS Compuesto orgánico que tiene como estructura básica RCHO, donde R puede ser cualquier radical. Los aldehídos forman una familia de compuestos que se obtienen de la deshidrogenación de alcoholes. ALFA-METIL ESTIRENO Entre sus propiedades se encuentra la de polimerizar con el calor o un catalizador, por esta razón se vende con un inhibidor. Es un líquido combustible que incendia a 573°C. ALFA-OLEFINA Olefina particularmente reactiva que contiene doble enlace en el primer carbono. ALICICLICO Sustancias orgánicas que se caracterizan por tener un anillo cerrado en su estructura, el anillo no debe confundirse con el bencénico. La mayoría de estos compùestos provienen del petróleo aún cuando pueden sintetizarse en los laboratorios. ALQUIDALICA Recubrimiento sintético de naturaleza termofija, semejante a un poliéster, útil en la formulación de pinturas exteriores o marítimas. También conocidos como alquídicos se moldean para encapsular componentes electrónicos. ALUMINA Nombre de un compuesto que consta de sales hidratadas de aluminio, se obtiene a partir de minerales de éste metal. No es combustible y comercialmente se encuentra como polvo. AMIDA Nombre genérico de los compuestos nitrogenados que se derivan del amoniaco, pueden ser orgánicos o inorgánicos como la amida de sodio y la formamida, respectivamente. AMINA Material orgánico con nitrógeno en su composición. Puede considerarse derivado del amoniaco, todas las aminas son alcalinas. AMORFO Característica de algunos materiales plásticos, cuyas cadenas están desordenadas en el espacio, permitiendo el paso de la luz. Este concepto es contrario a la cristalinidad. ANATASA Forma natural de los cristales del dióxido de titanio. ANHIDRIDO MALEICO Sólido incoloro en forma de agujas que disuelven en acetona, agua y alcohol. Se obtiene al oxidar benceno, sirve para sintetizar resinas plásticas y pinturas. ANHIDRIDOS Substancias que provienen de un ácido carboxílico al que se ha retirado agua, el ácido ftálico produce anhídrido ftálico. ANIDRIDO FTALICO Cristales blancos que funden a 131°C se disuelven en alcohol o disulfuro de carbono. Se emplea en síntesis orgánicas, tintas e insecticidas. ANISOTROPIA Efecto que se presenta cuando alguna substancia cambia de color, de acuerdo con la luz. ANTIESPUMANTES En el caso del silicón, son agentes que tienen la función de eliminar las espumas que se forman en diferentes procesos y reacciones. ANTIESTATICO (1) Método o substancia que evita la estática. (2) Agentes adicionados a una formulación para evitar que se acumulen cargas estáticas sobre la pieza terminada. ANTRAQUINONICOS Serie de colorantes que se derivan de la antraquinona, son muy usados en la industria textil y poseen baja toxicidad. ATACTICO Arreglo molecular, en el que la cadena principal tiene grupos metilo que cuelgan aleatoriamente de ella. AUTOEMULGENTES Líquidos con elevada solubilidad, que forman una emulsión por sí mismos. No requieren de un emulsificante. AUTOEXTINGUIBLE Característica que poseen algunos materiales plásticos, su estructura evita la propagación de la flama cuando éstos se queman. Una vez que la fuente de calor es retirada, el polímero extingue la flama. AUTOIGNICION Característica de algunas substancias que producen flama o explosión bajo ciertas condiciones de temperatura y presión. AZO Prefijo con el que se designa a los compuestos que tienen un doble enlace nitrógeno-nitrógeno (N=N). Este enlace origina una gran variedad de substancias. AZODICARBONAMIDA Polvo amarillo que sirve como agente de soplado. Se descompone a altas temperaturas en dióxido de carbono, amoniaco y nitrógeno. AZOICO Que tiene grupos azo. B BANBURY Aparato para la combinación de materiales, que consta de un par de rotores que mezclan los componentes en forma homogénea. BEBEDERO Orificio del molde que entra en contacto con la boquilla de la inyectora. El bebedero recibe el material plastificado y lo transporta a las ramificaciones del molde o bien a la cavidad del mismo. BEHENAMIDA Amida derivada del ácido behénico, que a su vez se encuentra en el aceite de cacahuate o del nabo silvestre en bajas cantidades. BENCENO Compuesto químico de gran importancia comercial que posee 6 átomos de carbono en su molécula enlazados a 6 hidrógenos mediante un anillo hexagonal. Es cancerígeno, flamable y se emplea en la fabricación del etil benceno que a su vez es el monómero del estireno. BENZALDEHIDO Es un aceite volátil con un color variable entre amarillo y transparente, su estructura es C6H5CHO, presenta un olor característico semejante al de las almendras amargas. Se emplea principalmente en síntesis orgánicas de colorantes, resinas, perfumes, productos de secado, fotografía y jabones. BENZOFENONA Presenta diversos usos además de ser absorbedor de luz ultravioleta, también inhibe la polimerización del estireno permitiendo almacenarlo y sirve como fijador de aromas en fragancias comerciales o jabones. El compuesto puro forma cristales blancos de aroma dulce, semejante al de las rosas, hierve a 305°C es combustible e insoluble al agua. BENZOFENONAS Diversos compuestos derivados de la difenilcetona, se usan como agentes de curado para resinas epóxicas y absorbedores UV. BENZOICO, ACIDO Sólido blanco combustible, en forma de escamas o agujas cristalinas. Sublima a 100°C insoluble en agua, soluble en alcohol, éter, cloroformo y benceno. Se usa para producir benzoatos, plastificantes, aromas, dentífricos y germicidas. BENZOTRIAZOLES Sales metálicas derivadas de un compuesto llamado bencenoazimida, se usan principalmente como absorbedores ultravioleta. Solubles en alcohol y benceno. BIAXIAL Referente a dos ejes. Cuando una película se estira biaxialmente, a lo largo y ancho. BIODEGRADABLE Que se descompone bajo la acción de agentes biológicos, como insectos o microorganismos. BIOPOLIMERO Polímero soluble en agua generado por la acción de una bacteria sobre un hidrocarburo, la viscosidad del compuesto es semejante a la del agua pero puede incrementarse añadiendo un ión de cromo. BIORIENTACION Arreglo que toman las moléculas de un plástico cuando son forzadas a estirarse biaxialmente. BISFENOL-A Nombre común del isopropilén difenol, forma escamas blancas no solubles en agua, pero disuelven en alcohol y álcalis diluidos como la sosa o potasa. Sus principales usos son la síntesis de resinas como la epóxica y policarbonato. BLISTER PACK Voz inglesa que designa empaques termoformados. BLOW-FILL-SEAL Particularidad de la extrusión-soplo en la que un envase plástico es moldeado, se llena con el líquido a contener y finalmente se sella sin necesidad de una tapa adicional. Soplar, llenar y sellar. BONDEADO Procedimiento para unir material textil con lámina de poliuretano. BOQUILLA Pieza de la unidad de inyección, que aglomera al material donde termina el cilindro, para ser enviado al molde. BUMPER Pieza automotriz que funge como defensa. BUSHING En la extrusión, es el anillo externo del dado que moldea la superficie externa de un tubo. En inyección, es un cilindro en las contrapartes de los pernos y tornillos. BUTANO Gas incoloro estable en el aire, no reacciona con la humedad ni corroe los metales. Producto de la destilación del petróleo explota al contacto con el aire en porcentajes de 1.9 a 8.5 % de gas. Tiene efectos narcóticos cuando se presenta en altas concentraciones. BUTILBENCILFTALATO Fluido aceitoso claro, combustible, usado como intermedio químico en algunas reacciones y plastificante de resinas vinílicas y celulósicas. C CABEZAL Sección final de un extrusor, donde el polímero fundido toma la forma del producto por formar. CABRESTANTE Torno vertical que tira de un cable. CAJA DE PETRI Plato de vidrio con tapa, empleado para el cultivo de bacterias con fines médicos o de investigación biológica. CALANDREADO Producto obtenido por el proceso de calandreo. CALANDREO Proceso para generar láminas o películas plásticas por medio de una serie de rodillos calientes colocados adecuadamente. CAMBIAMALLAS Dispositivo mecánico o hidráulico que permite cambiar una malla cuando ésta se satura de contaminantes. CAPACIDAD CALORIFICA Es la cantidad de calor, que se requiere para incrementar la temperatura en 1°C. CARBONILO Grupo formado por un átomo de carbono unido a uno de oxígeno por un doble enlace, (C=O) es característico en varios compuestos químcos como las cetonas. CARBOXILATO En general, cualquier sal derivada de una amplia serie de ácidos orgánicos que se distinguen entre sí por el número de átomos de carbono existentes en la cadena, que puede ir desde 1 hasta 26. CARBOXILICO, ACIDO Nombre genérico que reciben diversos compuestos que terminan con un radical carboxilo (COOH) son la base de los carboxilatos. CARGA Elemento inerte, barato, adicionado al plástico para hacerlo menos costoso mejorando las propiedades mecánicas, en particular dureza y resistencia al impacto. Generalmente las partículas de cargas son pequeñas a diferencia de los refuerzos. CATALIZADOR Cualquier sustancia que en pequeñas cantidades, aumenta la velocidad de una reacción sin intervenir directamente en la misma, por lo que no se consume. Un catalizador puede ser sólido, líquido o gaseoso, su tiempo de vida media varía entre 1,000 o 10,000 horas después de las cuales debe ser reemplazado o regenerado. CENTIPOISE Submúltiplo del poise, unidad de viscosidad que equivale a una dina por segundo por centímetro cuadrado. CETONAS Familia de compuestos orgánicos que tienen un grupo carbonilo (C=O) entre dos átomos de carbono, las cetonas son usadas como solventes en lacas, pintura y manufactura textil. CIANHIDRICO, ACIDO Posee la estructura HCN, originalmente es un gas que se disuelve en agua para ser comercializado. La solución resultante puede llegar hasta el 97% de pureza. Es un ácido corrosivo y tóxico, por esta razón debe manejarse con precaución, se emplea en la fabricación de acrilatos. CIANOACRILATO Base de adhesivos acrílicos, se vende con inhibidores porque polimeriza al contacto con el aire, el más popular es el cianoacrilato de metilo. CIANURICO, ACIDO También llamado "ácido triciánico", se presenta en forma de cristales blancos carentes de aroma, muy tóxico por ingestión e inhalación. Se utiliza en síntesis orgánicas. CICLOHEXANO Líquido incoloro de olor característico, formado por seis átomos de carbono unidos a 12 de hidrógeno. Es ligeramente tóxico por inhalación y contacto con la piel, se disuelve en acetona, alcohol o benceno. CICLOHEXANOL Líquido incoloro oleoso miscible con muchos solventes orgánicos y aceites, es combustible e incendia a 300°C. Es la fuente del ácido adípico para las poliamidas CICLOHEXANONA Líquido de color blanco a amarillento, combustible soluble al agua. Incendia a 420°C es tóxico por inhalación y se emplea en la producción de varios materiales sintéticos, entre ellos el PVC y sus copolímeros. CICLOOCTADIENO Existen dos compuestos con este nombre, el primero de ellos es 1,3-ciclooctadieno es un intermedio en la producción de otros compuestos. El segundo es 1,5-ciclooctadieno, líquido obtenido al producir resinas que destila a 151°C. CICLOOLEFINA Hidrocarburo alicíclico con dos o más enlaces dobles, como el ciclopentadieno o el ciclooctadieno. CIZALLAMIENTO Cortadura, esfuerzo cortante. CLOROBENCENO También llamado cloruro de fenilo, es un líquido que se evapora en el aire tiene su origen en la reacción entre el benceno y una corriente seca de gas cloro. Básicamente se emplea como disolvente. CLOROFILA Substancia presente en la mayoría de los vegetales, es responsable de la coloración verde de los mismos. No es tóxica, forma una cera de tonos verdes según el tipo de clorofila que se trate, se conocen tres variedades. CLOROPRENO Se presenta como un líquido incoloro que hierve a 59°C, es soluble en alcohol y ligeramente soluble al agua. Su aplicación principal radica en la elaboración de neopreno. CLORURO DE METILENO Líquido volátil, de olor penetrante semejante al éter, no es flamable pero es narcótico y carcinógeno, también conocido como dicloro metano Es útil como desengrasante, agente de soplado y removedor de pinturas. CLORURO DE VINILO Gas de olor etéreo, monómero del PVC. Puede explotar al contacto con el aire, por eso se maneja en forma líquida en las plantas de polimerización mediante sistemas a presión. COEXTRUSION Técnica en extrusión que permite unir dos o más capas de plástico recién salidas del extrusor, cuando aún no son totalmente sólidas, en ocasiones se utiliza una capa intermedia de material como adhesivo. COLADA En un molde de inyección ó transferencia, el canal usualmente circular, que conecta la esprea con la compuerta de la cavidad del molde. COLAPSAMIENTO Contracción de un mecanismo por reducción de fuerza. COMMODITE Voz inglesa. Nombre que reciben los materiales de alto consumo. COMONOMERO Monómero alterno que se adiciona al reactor de polimerización con objeto de modificar las características del producto obtenido COMPATIBILIZAR Facilitar la unión de dos o más polímeros que inicialmente son dificiles de incorporar debido a su naturaleza. Generalmente la compatibilización requiere de una sustancia que trabaje como intermedio entre los materiales a unir. COMPOSITE Recibe este nombre todo el plástico que está reforzado con fibra de vidrio o de carbono. COMPOSTA Mezcla de basura orgánica que se deja fermentar. CONTRAFLUJO En inyección, se denomina así al flujo de material plástico que intenta regresar al cañón de la máquina. COPOLIMERO Si en la reacción de obtención de un polímero, intervienen dos monómeros, se obtiene un copolímero. Los hules termoplásticos son ejemplos de copolímeros, como el EPDM copolímero de etileno-propileno. COPOLIMERO RANDOM Copolímero etileno-propileno. El término random se debe a que el etileno se inserta al azar en la cadena del polipropileno CRAQUEO Efecto que se presenta cuando una molécula de polímero se rompe. CRESOL Líquido amarillento o rosáceo con olor fenólico que hierve entre 191 y 203°C. Es irritante, ataca la piel que puede absorberlo cuando está en el aire, se emplea como desinfectante, intermedio en diversas reacciones, manufactura de resinas sintéticas y herbicidas. CRIOGENIA Rama de la ciencia que estudia la materia por debajo de los 200°C, como el oxígeno líquido. CRISOLITA Silicato de hierro y magnesio que se encuentra en forma mineral en algunas rocas, meteoritos y escoria de altos hornos. Su importancia radica en la manufactura de cementos y refractarios. CRISTALINIDAD Arreglo estructural, donde las cadenas de un polímero se acercan unas a otras formando "zonas cristalinas" que impiden el paso de la luz. CROMATOGRAFIA Procedimiento de laboratorio empleado en la sepaaración e identificación de sustancias presentes en una muestra que se somete al análisis. Existen varios métodos cromatográficos, sobre papel, en fase gaseosa o líquida. CROMOFOROS Grupo funcional que imparte color en algún compuesto aromático, en ocasiones, los colorantes se clasifican de acuerdo al cromóforo. CUMENO Soluble en alcohol, éter y benceno. Insoluble en agua, es combustible por lo que presenta riesgo de incendio. Se emplea en la producción de acetona, fenol, -metil estireno y como solvente. CURADO Cambio de fase en un material, que pasa de líquido a sólido por efecto de una reacción de polimerización o entrecruzamiento. CHILLER Equipo de enfriamiento que mantiene los fluidos de refrigeración a determinada temperatura. Su funcionamiento se basa en un depósito y una bomba. D DECAPADO Procedimiento para eliminar la capa superficial de alguna superficie gracias a la acción de ácidos minerales como el sulfúrico o fosfórico. La concentración y la temperatura del ácido determinan la profundidad del decapado. DEGRADACION Deterioro en las propiedades del polímero, pérdida de transparencia, amarillamiento, alteración del peso molecular por la acción de solventes, decremento de las propiedades mecánicas por fatiga, oxidación por calor excesivo y degradación biológica. DEHUMIDIFICACION Retirar el vapor de agua (humedad) presente en el aire. DEPOLIMERIZACION Degradación de un material plástico o polimérico en el que las cadenas moleculares rompen sus enlaces. DESHIDROGENACION Proceso donde químicamente se retira hidrógeno de un compuesto. DESMOLDANTE Película de alguna substancia que facilita la extracción de la pieza. Usualmente se esprea desmoldante de silicón sobre la cavidad del molde. DESMOLDEO Etapa de un proceso como inyección o termoformado, donde la pieza se retira del molde después de tomar la forma deseada. DESORCION Operación contraria a la adsorción, que elimina los átomos de una substancia enlazados a otra. Puede efectuarse elevando la temperatura, bajando la presión o por la presencia de una sustancia adsorbida con mayor intensidad. DEVOLATILIZACION Eliminación de materiales volátiles en algún proceso, generalmente extrusión donde se permite que los oligómeros y otros gases sean eliminados mediante adaptaciones en los equipos. DIAMINA Compuesto químico que tiene dos radicales amino en su estructura molecular. DIATOMACEA Material con 88% de sílice, obtenido de fósiles de algas. Soluble en ácido clorhídrico y álcalis fuertes como la sosa. Tiene propiedades clarificantes, decolorantes y filtrantes, además de ser un agente espesante para plásticos y caucho. DIAZOMETANO También llamado “Azilmetileno”, es un gas amarillo que puede explotar al agitarse o al contactar metales alcalinos, presenta una toxicidad elevada. Su estructura es CH2=N=N DIAZOTACION Reacción química entre una amina aromática con ácido nitroso para obtener un compuesto diazóico. DIBUTILFTALATO Líquido oleoso, incoloro, sin olor, insoluble en agua. Se obtiene al hacer reaccionar alcohol butílico con anhídrido ftálico. Flamable, incendia a 398°C empleado en la fabricación de adhesivos, tintas, también como plastificante y agente lubricante DICARBOXILICO Denominación para algún compuesto orgánico que tiene dos radicales COOH en su estructura, éste término se emplea comúnmente para los ácidos orgánicos como el ortoftálico. DICER Voz inglesa que designa una herramienta de corte empleada en la producción de pellets. DICICLOPENTADIENO Sustancia empleada en pinturas, resinas, barnices y compuestos del ferroceno, soluble en alcohol. Es inflamable con riesgo de incendio. DICLOROETILENO Líquido incoloro que se descompone lentamente al entrar en contacto con el aire, la luz y la humedad. Es flamable, tóxico e irritante, generalmente se emplea como solvente en la extracción de tintes, polimerizaciones u otras reacciones químicas. DICLORURO DE ETILO Es un líquido incoloro también conocido como dicloroetano, de aroma semejante al cloroformo. No es corrosivo y puede mezclarse con diversos solventes orgánicos, ligeramente soluble en agua es usado en la producción de cloruro de vinilo, pinturas, barnices y desengrasante de metales entre otros usos. DIE LAND Labios de la boquilla en una máquina de inyección. DIENO Compuesto que tiene dos dobles enlaces, el más conocido es el butadieno. DIHIDROXIBENCENO Compuesto que presenta un anillo bencénico con dos radicales hidroxilo, se forman tres isómeros, que tienen diferentes usos. Entre ellos destaca el resorcinol y la hidroquinona. DIISOCIANATO Nombre genérico de los compuestos que tienen dos grupos isocianato (-NCO) en su estructura, se generan a partir de diaminas. Principalmente se usan para producir espumas de poliuretano y elastómeros. DILATANTE Material que disminuye su fluidez al agitarse, incrementando su viscosidad. Este comportamiento es contrario al concepto de pseudoplástico. DILUCION Disminuir la concentración de un compuesto en otro, agregando más solvente. DIMERO Molécula donde la unidad estructural, llamada monómero se repite dos veces. Puede considerarse un oligómero. DIMETIL FORMAMIDA Solvente miscible con agua y otros diluyentes orgánicos, se conoce con las siglas DMF es un fuerte irritante a la piel. DISULFURO DE MOLIBDENO Polvo negro cristalino, su estructura lleva un átomo de molibdeno por dos de azufre (MoS2) soluble en ácidos fuertes como el agua regia y el ácido sulfúrico, se usa en lubricantes y dispersiones grasas. DUREZA La resistencia de un material plástico a la compresión y al mellado. Los métodos de prueba más importantes para ésta propiedad son: Brinell, Rockwell y Shore. DUREZA BRINELL Prueba de dureza, en la que una esfera se presiona contra una superficie bajo condiciones conocidas, para medir el diámetro de la impresión. DUREZA ROCKWELL Un método común de prueba de materiales plásticos para resistencia al mellado en el cual un diamante o bola de acero, bajo presión es usada para penetrar el espécimen de prueba. La carga usada es expresada en kilogramos y el peso de 10 Kg. DUREZA SHORE Prueba aplicada a los materiales para determinar su dureza mendiante un aparato llamado durómetro. E EFLUORESCENCIA (Chalking). Residuo de polvo que aparece en la superficie de un material, generalmente a consecuencia de la degradación ELASTOMERICO Parecido a un elastómero, que recobra su forma después de estirarse. ELASTOMERO Son materiales capaces de recuperar su forma después de someterse a un esfuerzo o tensión, generalmente son hules. ELECTROLISIS Fragmentar una substancia en iones a través de una corriente eléctrica. Los iones producidos se depositan en los electrodos utilizados. ELONGACION Incremento en la longitud de una muestra debido a una tensión que se aplica sobre ella. Generalmente se expresa como un porcentaje de la longitud original. EMPAQUETAMIENTO Llenar la cavidad del molde con plástico fundido. EMULSIFICANTE Agente que genera una emulsión, mezcla entre substancias que no se incorporan sin éste elemento. La característica de una emulsión es la formación de microesferas. Sinónimo emulgente. ENDOTERMICO El término se aplica a las reacciones o procesos que absorben calor del ambiente que los rodea. (2) Que absorbe calor del medio que lo rodea, cuando en el reactor se está efectuando una reacción endotérmica, éste se enfría. ENTALPIA Cantidad de calor que se calcula al sumar la energía interna y el producto de la presión por el volúmen de un sistema donde se ha efectuado un calentamiento, es decir: H=U + PV donde H es la entalpía. ENTRECRUZAMIENTO Es una característica de las estructuras químicas de los plásticos, reconocida por la formación de enlaces entre las cadenas moleculares. La estructura entrecruzada impide al plástico fundir, particularidad de los termofijos. ENTROPIA Cantidad de energía no disponible en un sistema, es una medida del desorden existente entre las moléculas de una substancia. EPDM Abreviatura inglesa de los elastómeros obtenidos del etil-propildieno. (Ethylene-Propylene Diene Monomer) EPOXICO Basado en óxido de etileno, las resinas epóxicas son derivados de la condensación del bistenol A y la epiclorhidrina. EPR Siglas del hule etileno-propileno (Ethylene-Propylene Rubber) ERUCAMIDA Sólido combustible que funde entre 75 y 80°C se disuelve en alcohol isopropílico y se emplea para disolver resinas y ceras. Es un agente antibloqueo para las películas de Polietileno. ESCR Siglas en inglés para Enviromental Stress Cracking Resitance, es la resistencia a las fisuras causadas por un medio químico, sobre un cuerpo bajo tensión. ESFERULITAS Están presentes en la mayoría de los plásticos cristalinos y son aglomeraciones esféricas de cristales, su diámetro varía desde algunas decenas de micrómetro hasta varios milímetros. ESPECTRO Gráfica obtenida mediante instrumentos de análisis, se genera por la vibración de los radicales de una substancia, la imagen producida permite identificar o diferenciar componentes. ESPINERETA Tipo de dado de extrusión, consiste en un plato metálico con múltiples orificios por donde pasa el material plástico. Con éste dado se producen filamentos. ESTEARATO Sal derivada del ácido esteárico, generalmente metálica, usada como lubricante. ESTEARICO, ACIDO También llamado ácido n-octadecanóico, no tiene olor, ceroso al tacto, soluble en alcohol, éter, cloroformo, insoluble en agua. Combustible, no tóxico. ESTER Nombre que reciben los compuestos con un grupo funcional (-COO-) Se obtienen a partir de un ácido carboxílico y un alcohol siendo el metanol el mas usado por producir ésteres de metilo que son destilados fácilmente. ESTEREOESPECIFICO Característica de un polímero, que se da cuando diversos grupos de átomos, tienen un orden fijo y definido en el espacio con respecto a otros. Un catalizador estereoespecífico es aquél que favorece la formación de estos materiales. ESTEREOLITOGRAFIA Proceso para crear piezas plásticas tridimensionales a partir de los datos provenientes del diseño asistido por computadora y un láser que reacciona químicamente sobre un polímero sensible a él. Esta tecnología permite obtener prototipos con mayor rapidez que los procedimientos artesanales. ESTEREOQUIMICA Rama de la química que estudia el arreglo de las moléculas en el espacio tridimensional. ESTERES MONTANICOS Compuestos oxigenados derivados de la cera montana de origen mineral, con diversos usos: pastas adhesivas, cera para muebles y calzado. ESTERICO Efecto que confiere un arreglo a las moléculas en el espacio o impide la reacción con otra molécula. ETILENO Gas explosivo que al polimerizar produce polietileno bajo condiciones de presión y temperatura. EXOTERMICO Que desprende calor. Es un comportamiento característico de ciertas reacciones químicas, que al mezclarse para formar un compuesto nuevo calientan el recipiente donde se efectúa la reacción. EXTINGUIDOR Equipo utilizado para detener un incendio. EXTINTOR Sustancia contenida en un extinguidor para sofocar el fuego. EXTRUSION Método de transformación donde un plástico es forzado a pasar a través de una abertura con forma definida, previa fusión del mismo. EXTRUSOR RAM Tipo de extrusión, en el que se empleaba un pistón reciprocante para materiales con muy bajo índice de fluidez, actualmente en desuso. EYECTOR Cualquier pieza o elemento que facilite la expulsión de algo. En inyección existen pernos que empujan al producto fuera del molde, son llamados botadores. F FADOMETRO Equipo donde se efectúan pruebas de envejecimiento acelerado, empleando luz ultravioleta y agua. Se conoce también como "weatherometer". FENOL Cristales blancos que cambian a color rojo o rosa bajo la influencia de la luz o impurezas. Se torna líquido cuando absorbe agua del aire ambiente, es tóxico por ingestión e irritante a la piel, funciona como biocida, desinfectante y en la fabricación de materias primas para diversas resinas plásticas. FERROCENO Complejo de hierro y dos moléculas de ciclopentadieno, sólido anaranjado tóxico al calentarse, insoluble al agua. Se utiliza como recubrimiento en satélites y cohetes, aditivo en aceites de combustión para minimizar el humo generado. FIBRA DE ARAMIDA Tejido de Poliamida que se distingue por soportar altas temperaturas, algunas de estas fibras soportan impactos balísticos. FLASH Voz inglesa, usada para referirse a las rebabas. FLUJO NEWTONIANO Corresponde a un líquido que no cambia su viscosidad cuando es agitado, por ejemplo, el agua responde uniformemente a la fuerza aplicada sin cambiar su viscosidad. FLUJO NO NEWTONIANO Fluido que altera su viscosidad al agitarse, ya sea para aumentar o disminuir, según la naturaleza del líquido. Los plásticos son fluidos no newtonianos porque su viscosidad baja al agitarse en estado fundido. FLUOROCARBONO Nombre genérico que designa a los hidrocarburos que tienen átomos de flúor en vez de hidrógeno. Aunque no son flamables, reaccionan violentamente con bario, sodio y potasio, su uso radica en los solventes, refrigerantes y extinguidores. También se emplean como agentes de soplado. FLUOROELASTOMERO Polímeros de naturaleza elastomérica que contienen flúor, pueden ser homopolímeros o copolímeros. Son amorfos, estables al calor, resisten el ataque de solventes y substancias químicas. FORMALDEHIDO Gas conocido como metanal, es el primero del grupo de los aldehídos, se presenta comercialmente en solución de agua y alcohol. Encuentra aplicaciones en las resinas uréicas, melamínicas, fenólicas y acetálicas. FORMAMIDA Líquido oleoso higroscópico, por lo que se disuelve en agua o alcohol. Además de emplearse como absorbedor de luz ultravioleta, sirve como solvente e intermediario en síntesis orgánicas. FORMICO, ACIDO También llamado ácido metanóico, es el primero de la serie de ácidos orgánicos, es un líquido incoloro de olor penetrante que ataca la piel. Se emplea en el teñido textil, fabricación de insecticidas, además de plastificante de materiales vinílicos. FOSFATO DE TRICRESILO Líquido estable incoloro, hierve a 420°C y cristaliza a -35°C, también es combustible e incendia a 410°C. Sirve como plastificante y retardante a la flama, es tóxico por ingestión o absorción cutánea. FOSGENO Puede presentarse como líquido o gas, de incoloro a ligeramente amarillo, es muy tóxico por inhalación e irritante a los ojos. Sus aplicaciones principales son las reacciones químicas y la síntesis de resinas poliuretano, policarbonato e isocianato. FOTOPOLIMERO Material polimérico sensible a la luz, de manera que reacciona al ser expuesto a ella. Se emplean en placas litográficas y de imprenta. FOTOQUIMICA Rama de la química que estudia las reacciones que tienen lugar bajo el efecto de la luz, además de la influencia de ésta en el comportamiento de diversas sustancias. FOTOSENSIBLE Que reacciona o cambia por efecto de la luz, formando nuevas substancias o modificando su estado de sólido a líquido. FRACTURA DEL MELT Inestabilidad en el flujo, que se manifiesta con la formación de estrías superficiales en el extruído. FREON Nombre comercial de varios productos refrigerantes fluorocarbonados, su uso ha disminuido por dañar la capa de ozono. Se emplean como aerosoles, equipo contra incendios y agentes de soplado. FTALICO, ACIDO Es un ácido orgánico que tiene dos radicales carboxilo unidos a un anillo bencénico, forma cristales blancos que disuelven en alcohol, empleados en reacciones de laboratorio y farmacéutica. FTALOCIANINA Pigmento verde o azul, la molécula es muy simétrica y lleva un átomo de cobre en el centro. FTALOFCIANINAS Nombre genérico de los compuestos que pigmentan materiales de color verde o azul. FUMARATO Sal derivada del ácido fumárico, véase. FURANO También conocido como tetrol o furfurano, es un líquido soluble en éter o alcohol su color puede cambiar de transparente a pardo al paso del tiempo. Es tóxico, inflamable y forma peróxidos con el aire del ambiente, se emplea en síntesis orgánicas. G GASKETS Perfil plástico que puede o no reforzarse, sirve como sello para fuga de fluidos líquidos o gases. GAYLORD Voz inglesa empleada para designar un recipiente donde se contiene plástico, usualmente con un volúmen aproximado de un metro cúbico. El contenedor consta de una bolsa donde el material reside y una caja que a su vez soporta la bolsa. GEL COAT Voz inglesa, que implica una preparación de resina poliéster insaturada que se aplica sobre el molde, endurece y se adiciona el material reforzado, para conformar una pieza. La capa de gel coat formará parte del producto final, por esta razón suele ir pigmentado. GELAR Estado intermedio de la fase líquida a sólida, que se presenta en diversos materiales plásticos cuando están polimerizando o entrecruzando sus cadenas moleculares. GEOMEMBRANA Recubrimiento empleado en los rellenos sanitarios para evitar la permeación de los contaminantes al suelo, formando una barrera protectora. GLICERINA Alcohol formado por tres grupos OH, sinónimo de propanotriol, es un subproducto de la preparación de jabones y tiene múltiples aplicaciones. GLICEROL Subproducto de la formación del jabón, también llamado “propanotriol”, líquido claro soluble en agua y alcohol. Sirve para fabricar resinas alquidálicas, gomas, humectantes y explosivos. GLICOL Compuesto orgánico semejante a un alcohol, se diferencía de éste por tener dos grupos hidroxilo en vez de uno. GLICOLISIS Romper una molécula mediante la acción de un glicol. GLICOLISIS Degradación mediante azucares que no requiere de aire para efectuarse. GRANULOMETRIA Medición del tamaño de un gránulo o partícula. H HALOGENACION Reacción química mediante la cual, se adiciona un átomo de halógeno a un compuesto generalmente orgánico, siendo dichos átomos de cloro, bromo, yodo y flúor. HALOGENO Cualquiera de los elementos químicos del grupo VII A de la tabla periódica: Cloro, bromo, yodo, flúor y astato. La halogenación implica incorporar alguno de ellos en otra substancia. HDT Siglas empleadas para designar la temperatura de deflexión bajo carga. HETEROCICLICO Característica de varias substancias que tienen un anillo, usualmente con uno o más atomos distintos al carbono. HIDRACINA Líquido transparente que desprende vapores, arde a 52Oc. Obtenido mediante la reacción de sosa, cloro y amoniaco. Interviene en la fabricación de drogas contra la hipertensión, como catalizador y agente de soplado. Peligro de incendio al calentarse. Muy tóxico por inhalación e irritante a la piel. HIDROCARBURO Substancia química compuesta sólo de átomos de hidrógeno y carbono, de ahí su nombre. Se considera al petróleo como la mayor fuente actual de estos compuestos. HIDROCARBURO SATURADO Se llama así al compuesto que sólo tiene enlaces simples en su conformación. HIDROCARBUROS ALIFATICOS Son substancias saturadas, porque no tienen dobles enlaces ni anillos bencénicos. La gasolina y el propano son buenos ejemplos de estos materiales. HIDROCARBUROS AROMATICOS Denominación común que reciben las cadenas hidrocarbonadas que presentan uno o más anillos bencénicos en su estructura. Un compuesto de 6 átomos de carbono con 6 de hidrógeno. HIDROCLORICO, ACIDO El término es un sinónimo para el ácido clorhídrico, formado por un átomo de hidrógeno y otro de cloro, este producto es un gas que se disuelve en agua para manejarlo con mayor facilidad. Cuando se encuentra en fase gaseosa se denomina cloruro de hidrógeno. Comercialmente es un líquido transparente o ligeramente amarillo. HIDROFILICO Que tiene afinidad al agua. HIDROFOBICO Compuesto o substancia repelente al agua, incompatible con ésta, característica de las aceites, grasas, resinas y algunos polvos. Contrario a hidrofílico. HIDROFOBO Que repele el agua o la evita. HIDROQUINONA Cristales blancos solubles en alcohol, agua y éter, funden a 170°C y son combustibles. Se usan como revelador fotográfico, inhibidor de algunas polimerizaciones, estabilizante de pinturas y barnices. HIDROSULFURO DE SODIO También llamado bisulfuro de sodio, es un compuesto soluble en agua, éter y alcohol. Se presenta bajo la forma de agujas con color variable, transparentes, verdes o amarillas, formando vapores tóxicos al contacto con ácidos. Los cristales funden a 55°C encontrando uso en la fabricación de papel además de textiles. 2-HIDROXIBENZOFENONA Sólido que hierve a 41°C y hierve a 210°C, insoluble en agua es un absorbedor de luz ultravioleta. HIDROXILO Radical compuesto por un átomo de oxígeno y otro de hidrógeno, es característico de los alcoholes. También llamado oxhidrilo. HIGROSCOPICO Material que absorbe agua. HIPOACUSIA Término empleado para describir a la sordera causada por las actividades laborales de una persona. HOMOPOLIMERO Un polímero consistente de sólo una especie monomérica. HOT MELT Adhesivo termoplástico, sólido a temperatura ambiente. Cuando se calienta funde y puede ser aplicado. HOT STAMPING Técnica de decorado que se basa en una impresión sobre el plástico, mediante calor y presión. No requiere de solventes, secado o tratamientos preliminares, se denomina estampado en caliente. HTV Elastómeros de silicón que requieren calor para vulcanizar. HUSILLO Elemento metálico de geometría helicoidal que plastifica los polímeros girando en un cilindro hueco llamado barril o cañón. Los diseños empleados en los husillos varían en función de los requerimientos del material plástico y del proceso de transformación. HUSILLO DEVOLATILIZADOR Variante del husillo convencional de proceso, basa su funcionamiento en una sección del tornillo que presenta un diámetro menor. De esta forma no hay presión sobre el plástico fundido y se permite la salida de materia volátil del proceso. HUSILLO RECIPROCANTE Un sistema de extrusor donde el husillo es empujado hacia delante por el polímero fundido. Cuando se ha acumulado suficiente material fundido, el husillo se mueve hacia atrás. I IMPREGNANTE Agente adhesivo para unir películas de diferentes materiales. INHIBIDOR Cualquier substancia que impide o retarda una reacción, generalmente usada para evitar la polimerización prematura de alguna resina reactiva. INICIADOR Agente que promueve la polimerización de un monómero, a diferencia de un catalizador el iniciador se consume en la reacción. Los peróxidos y otros compuestos similares se usan a menudo para formar radicales libres. INOCUIDAD Inocuo, producto que no reacciona o hace daño INSATURACIONES Un polímero puede tener dobles enlaces en sus cadenas después de haber polimerizado, a esos materiales se les conoce como insaturados y las insaturaciones reaccionan, al momento de transformar al plástico, volviendose enlaces simples. Una estructura insaturada genera polímeros termofijos. INTEMPERISMO Exposición a la intemperie o sus efectos, por determinado tiempo. INYECCION Técnica de moldeo en la que se pueden formar piezas plásticas de geometría compleja. El proceso se basa en un husillo que inyecta plástico fundido dentro de un molde, donde el material toma la forma deseada. ION Se denomina así al átomo o grupo de átomos que se carga eléctricamente al perder o ganar, uno o más electrones. IONIZABLE Significa que las moléculas se pueden separar en iones. Esto sucede en algunas sales al disolverlas en agua. IONIZADOR Instrumento que despide partículas con carga eléctrica, llamadas iones para neutralizar la electricidad estática. IONOMERO Resina polimérica en la que los enlaces son iónicos (ver ion) son transparentes y elásticos. Ningún solvente común puede disolverlos totalmente, resisten la ruptura, por esto se emplean en películas o envases. ISOBUTILENO Llamado también isobuteno, proviene de la destilación de gas de petróleo razón por la cual es muy volátil. Altamente flamable y explosivo al aire sirve para producir gasolina de alto octanaje, copolímeros y resinas acrílicas ISOCIANATO Denominación empleada sobre los compuestos que presenten la estructura ( - N = C = O) y por consecuencia, también para las resinas obtenidas al reaccionar con alcoholes ( - OH). Los reactivos se unen mediante enlaces tipo uretano ( - N – C – O -) y de ahí que a ese campo de la tecnología es conocido como química del uretano. ISOCRONICO Proceso donde no hay variaciones del tiempo, es decir a tiempo constante. ISOTACTICO Denominación que reciben los plásticos y en general todos los polímeros donde los grupos de átomos que no forman parte de la cadena principal están situados por encima o por debajo de dicha cadena. IZOD Valor que representa la resistencia al impacto de un plástico. Es una prueba que se efectúa bajo condiciones controladas. J JETTING Voz inglesa, defecto superficial en las piezas inyectadas, característica de flujo turbulento en el plástico fundido. Se conoce como “cola de cometa” L LACTAMA Amina cíclica que procede de la deshidratación de aminoácidos. LAURATO Producto derivado del ácido láurico presente en el aceite de laurel, nuez y coco. LAURICO, ACIDO Acido graso presente en muchas grasas vegetales, especialmente en el laurel. También se conoce como ácido dodecanóico por tener 12 átomos de carbono en su molécula que termina con el radical carboxilo. LIGANTE Ingrediente de un esmalte que cubre las partículas sólidas y las une al sustrato por recubrir. LITHOLES Grupo de pigmentos de sodio, bario y calcio, baja resistencia a la intemperie. LSR Acrónimo del hule de silicón en fase líquida, por su nombre en inglés “Líquid Silicone Rubber”. M MALEATOS Sales del ácido maléico, maleato de sodio, maleato de etilo. MALEICO, ACIDO Cristales incoloros de aroma débil, solubles en agua, alcohol y acetona. Sirve como conservador para aceites o grasas y teñido de algodón. MALLA Filtro colocado en las máquinas de extrusión para retener las impurezas presentes en el material plastificado. MANDRIL Núcleo usado en procesos de extrusión para formar tubería, película o perfiles. MANIFOLD Anglicismo correspondiente a distribuidor. MANITOL Alcohol de seis radicales (-OH) que forma cristales blancos que sirve como base para tabletas y endulzante dietético. MASTER BATCH Compuesto de plástico con alta concentración de uno o varios aditivos, está diseñado para usar las cantidades apropiadas del aditivo sobre la resina base, los master batch de color son ampliamente usados para varios plásticos como método para obtener tonos uniformes de color. MAZAROTA Sinónimo de colada. Material plástico excedente resultado del recorrido del mismo por las ramificaciones y bebedero del molde. MEDIA Término estadístico que significa el promedio de una serie de datos o mediciones. Un promedio se obtiene al sumar las mediciones y dividir el resultado entre la cantidad de lecturas tomadas. MELT Voz inglesa, denominación común del plástico fundido. MELT INDEX Vocablo inglés del índice de fluidez, que expresa la cantidad de un material que fluye cada diez minutos a través de un reómetro. MEMORIA TERMICA Alteración de la estructura molecular de un plástico por efecto de la temperatura, consecuencia de cualquier proceso de transformación. MERCAPTAENOL Líquido de color blanco, de olor desagradable moderadamente tóxico por ingestión. Empleado en disolventes, insecticidas, colorantes, plastificantes y reactivo bioquímico. MERCAPTANOS Grupo de compuestos que contienen azufre en su estructura, flamables y tóxicos por inhalación. Se aplican como aromatizantes debido a su aroma particularmente desagradable para detectar fugas del gas doméstico que carece de olor. MESH Número de aperturas por pulgada cuadrada de una malla. Es el cuadrado del número de hebras de metal o plástico por pulgada lineal. MESOMORFICO Estado intermedio entre cristalino y amorfo. METACRILICO, ACIDO Es la base de las resinas acrílicas, que se emplean como plásticos, pinturas y adhesivos. Es un líquido incoloro que hierve a 162°C soluble en agua, alcohol, éter y solventes orgánicos. Polimeriza con facilidad, es combustible. METALOCENO Catalizador organo-metálico de composición definida, usado en la polimerización de algunos plásticos para cambiar el arreglo de las macromoléculas en el espacio. METIL CELULOSA Polvo grisáceo derivado de la celulosa que se hace reaccionar con cloruro de metilo o metanol. Resiste aceites, grasas y es estable a la luz. M.F.I. Siglas en inglés para el índice de fluidez “Melt Flow Index”. MICROPELLET Se refiere a una presentación del plástico bajo la forma de gránulos pequeños semejantes a polvo. MIRISTICO, ACIDO Sólido cristalino grasoso soluble en alcohol, éter y agua. Se emplea en la elaboración de jabones y en la síntesis de aditivos plásticos. MISCIBLE Que se puede mezclar, formando una combinación homogénea MOHS Escala empírica para conocer la dureza de un mineral, donde se asigna el valor de 1 al talco y 10 al diamante, llamada así en honor de su creador Friederich Mohs. Dada la existencia de materiales sintéticos con una dureza mayor, la escala se ha extendido hasta el valor 15. MOL Cantidad de una substancia pura, igual al peso molecular en gramos. Por ejemplo, el peso molecular del agua es 18, entonces 18 gramos de agua serán una mol. % MOL Unidad de concentración química que permite conocer la cantidad de una substancia en una mezcla o solución. MOLDE STACK Molde cuyas cavidades se acoplan, con objeto de fabricar más piezas en cada ciclo. MONOAXIAL En un solo eje, en dirección vertical u horizontal. MONOFILAMENTO Hilo de material, obtenido a través de la extrusión. MONOMERO Molécula relativamente simple, que contiene carbono e hidrógeno, puede también tener otros elementos como oxígeno, cloro, flúor, y azufre. Al repetirse varias veces, la molécula forma el polímero a través de una reacción conocida como polimerización. Ejemplos de estas moléculas son el cloruro de vinilo y metacrilato de metilo. En general, toda molécula capaz de enlazarse para formar cadenas de alto peso molecular. MWD Iniciales de distribución de peso molecular (Molecular Weight Distribution). N NAFTA Nombre aplicado a diversos productos obtenidos del petróleo, el diluyente nafta es un líquido flamable y tóxico mezcla de varias substancias químicas. NAFTALENO Compuesto obtenido a partir de aceites de alquitrán, se disuelve en benceno y éter. Forma grumos blancos combustibles que se evaporan con facilidad, comercializados como esferas, escamas o polvo. NECK-IN Expresión empleada en extrusión de dado plano para indicar la diferencia de espesor en el material cuando abandona el dado y cuando se enfría. NEFELINA Silicato de sodio obtenido de algunas rocas ígneas, la manufactura del vidrio y la cerámica constituyen el campo de aplicación de este material cuyos colores varían entre el blanco y el gris con tonalidades amarillas. NEOPRENO Hule sintético disponible en forma sólida, flexible o de espuma, las tres presentaciones tienen aplicaciones muy variadas. También se denomina Policloropreno NITROBENCENO Derivado de la nitración del benceno con una mezcla de ácido sulfúrico y nítrico. Puede presentarse bajo la forma de cristales verdes o como líquido amarillo aceitoso. Es un ingrediente de las pastas para pulir metales, también se emplea en la fabricación de anilina. O OLEAMIDA Polvo color marfil ligeramente tóxico, Además de su uso como deslizante también es aditivo para tintas. Funde a 72Oc. OLEFINAS Familia de hidrocarburos caracterizados por tener al menos un doble enlace en su conformación. También se denominan alquenos y son el monómero de diversos materiales plásticos. Por extensión, una poliolefina es un alqueno polimerizado. OLIGOMERO Polímero de bajo peso molecular, se origina debido a la presencia de pocas moléculas unidas en una cadena pequeña, donde la unidad monomérica se repite de dos a diez veces. Los oligómeros se forman cuando un polímero empieza a formarse o degradarse. ORGANOMETALICO Nombre empleado para cualquier substancia que tenga una estructura orgánica como un hidrocarburo y un metal, unidos por enlaces químicos. ORGANOSOL Dispersión de cualquier sustancia insoluble en un líquido orgánico. El vocablo se aplica en la dispersión de una resina sintética y un disolvente volátil en mas del 5% del peso total, sobre un plastificante. OVILLAMIENTO Acción de ovillar, enrollar, plegar, envolver. P PALMITICO, ACIDO También llamado "acido cetílico" es un ácido graso saturado que se presenta en forma de cristales blancos solubles en éter y alcohol caliente. Sirve para sintetizar aditivos, sales y jabones. Presenta 16 átomos de carbono en su molécula. PAPEL KRAFT Papel fabricado a partir de pino, que se trata con hidróxido de sodio y otras sales obteniendo resistencia en el producto. PARISON Tubo de plástico, a partir del cual se soplan contenedores, juguetes o piezas en general. PCR Partes de aditivo a añadir por cada cien partes de resina PELLET Gránulos de plástico con tamaño regular, de forma esférica o cilíndrica, constituyen la presentación comercial del material. PELLETIZAR Proceso en el que se forman pellets, usando un extrusor cuyo dado tiene muchos orificios por donde sale el plástico con las dimensiones requeridas. Esta operación puede efectuarse en frío o caliente. PENTAERITRITOL Polvo blanco insoluble en benceno, sirve en la fabricación de plastificantes, resinas alquidálicas insecticidas, y pinturas. n-PENTANO Liquido hidrocarburo flamable, obtenido del petróleo. Además de su uso como agente de soplado en plásticos se usa como disolvente y pesticida. PERCLOROETILENO Líquido no flamable ni explosivo, presenta cuatro átomos de cloro unidos a dos de carbono. Puede mezclarse con alcohol, éter y aceites, resulta tóxico por ingestión absorción de la piel e inhalación, es buen desengrasante. PERILENO Pigmentos rojos de varios tonos, con 6 anillos bencénicos, 4 grupos carbonilo 2 átomos de nitrógeno y dos substituyentes, en arreglo simétrico. Los tonos varían en función del substituyente. PEROXIDO Elemento con fuertes propiedades oxidante al tener un enlace oxígeno-oxígeno. Pueden incendiarse al entrar en contacto con materiales combustibles. Se usan para iniciar la polimerización. PEROXIDO Substancia orgánica que presenta un enlace oxígeno-oxígeno en su estructura. Por esta razón los peróxidos son altamente oxidantes, generalmente incendian al contacto con combustibles. PEROXIDO DE BENZOILO Sólido blanco granular que se disuelve parcialmente en agua y alcoholes, incendia a 80°C. Puede explotar al secarse cuando presenta menos de 1% de agua, se usa como agente de blanqueo para grasas, aceites y ceras, además es catalizador en las polimerizaciones. PESO MOLECULAR En el caso de los plásticos, es una medida indirecta de la longitud de las cadenas de un polímero. A mayor peso molecular, mayor longitud en la misma. PESO MOLECULAR PROMEDIO EN NUMERO Se define como el peso total de las moléculas de un polímero, dividido entre el número total de ellas. PESO MOLECULAR PROMEDIO EN PESO Es el peso molecular de un polímero, donde las cadenas de mayor tamaño tienen mayor influencia. Ph Valor que indica la alcalinidad o acidez de cualquier substancia generalmente líquida. El agua pura sirve como referencia de éste parámetro con un valor de 7, una lectura menor implica naturaleza ácida mientras que un valor mayor significa que se tiene un álcali o base. PIN MIXING Término que designa una zona de mezclado en un husillo. PINCH OFF Punto del proceso de extrusión soplo en el que las paredes del párison se cierran y cortan cuando éste entra en el molde. PIRAZOLONA El colorante de pirazolona debe sus propiedades a los grupos cromóforos carbono-carbono y nitrógeno- nitrógeno que contiene, es de naturaleza ácida y se emplea en lana, seda y lacas. PIRIDINA Líquido de olor desagradable que presenta color transparente o amarillento, se disuelve en varias substancias entre ellas el agua, el éter y benceno. Hierve a 116°C e incendia a 693°C, resulta útil en la fabricación de vitaminas, fungicidas además de reacciones químicas. PIROMETRO Instrumento que permite medir temperaturas muy elevadas, como las de un horno de fundición. PITCH En un husillo, es la distancia existente entre un álabe y otro. PLASTICO Material formado por largas cadenas hidrocarbonadas, de naturaleza orgánica, susceptibles de ser moldeados. Sus propiedades varían en función de su conformación química y modificaciones de las que pueden ser objeto (mezclas y aditivos). PLASTIFICACION (1) Fundir un material por efecto de esfuerzo cortante o calentamiento, de manera que sea moldeable. (2) Acción de un plastificante sobre la resina, ésta absorbe al primero, de manera que las partículas resbalan unas sobre otras, suavizando el material. PLASTIFICACION Fusión del plástico por efecto de fricción y calentamiento. También se dice que un material está plastificado si tiene aditivos plastificantes, como en el caso del PVC. PLASTIFICANTE Agentes químicos agregados a las composiciones de plástico para proporcionar flujo y procesabilidad y para reducir su rigidez. Esto es alcanzado al bajar su temperatura de transición vítrea. PLASTISOL Dispersión fina de una resina sobre un plastificante. Comúnmente 50 partes de plastificante por cada 100 de resina forman una pasta que gelatiniza al calentarse a 150ºC. Los plastisoles se usan para moldear resinas termoplásticas, especialmente PVC. PLATE-OUT Mancha originada en las piezas o equipo de proceso debido a la migración de aditivos. POLAR Cualquier sustancia o radical que puede presentar carga eléctrica, las moléculas polares se ionizan en solución e imparten conductividad eléctrica a la solución formada. El ácido sulfúrico, el agua y el alcohol son de naturaleza polar, en tanto que la mayoría de los hidrocarburos no. POLIADICION Reacción de polimeerización donde los monómeros se enlazan sin que se presente la condensación de un subproducto, la poliadición se distingue entre las reacciones de poliomerización porque cada etapa de la reacción procede independientemente de la etapa previa. La migración de un átomo de hidrógeno en cada etapa es la base de la poliadición. POLIBUTADIENO Termoplástico obtenido al polimerizar 1,3-butadieno generándose dos isómeros, el cis y el trans. El primero de ellos se emplea en neumáticos por su resistencia a la abrasión, el segundo tiene menor utilidad comercial. POLICONDENSACION Reacción de polimerización donde se obtienen compuestos de moléculas pequeñas que condensan cuando se verifica el cambio químico. La obtención de Poliésteres se basa en una policondensación al igual que las Poliamidas, en el primer caso se hace reaccionar un diol con un diácido carboxílico para obtener agua como subproducto condensado y un éster como producto principal. Si la condensación se repite cada vez que se une otra unidad a la cadena se produce la “poli condensación”. El suproducto condensado depende de los reactivos utilizados en la reacción, en algunos casos es agua y en otros un alcohol. POLIETER Polímero en que la unidad repetitiva contiene el grupo (C=O). POLIGLICOLES Polímeros del etilenglicol con peso molecular variable entre 200 y 6000 como mínimo. Al variar esta propiedad cambian las demás, pueden ser líquidos densos o sólidos grasosos, son estables al calor, son aplicados como intermediarios químicos, plastificantes, lubricantes y en productos farmacéuticos. POLIMERO Palabra derivada del latín poli = muchos y meros = partes; utilizada para designar materiales formados por la unión de monómeros. Los polímeros pueden ser naturales (lana, algodón) o sintéticos. POLIOL Alcohol que tiene tres o más grupos hidróxido (OH), como los glicéridos y los alcoholes de azúcar POLISACARIDO Polímeros de azúcar formados por más de nueve estructuras sacáridas. POSTCLORADO Denominación que recibe un material que al tener cloro en su molécula, es sometido a un tratamiento secundario para adicionarle más cloro, el PVC puede postclorarse. ppm Abreviación de "Partes por millón" unidad de concentración para soluciones muy diluidas. PREFORMA Forma previa que se le da al plástico antes de moldearlo en forma definitiva. PREPOLIMERO Ver oligómero. PRESURIZACION Someter un recipiente a presión, aumentar la presión existente en un sistema. PSEUDOPLASTICO Materiales que aumentan su fluidez al agitarse, los polímeros de alto peso molecular se comportan de esta manera. Q QUELATO Material que contiene un átomo central metálico en su estructura molecular. Forma enlaces con otras substancias generando anillos, el agente quelante mas común es el EDTA. Los quelatos se usan médicamente contra las bacterias. QUERATINA Proteína localizada en el cabello humano, pezuñas y cuernos animales, no es tóxica pero es insoluble y combustible. QUINACRIDONAS Son pigmentos rojos, magentas y violetas con forma cristalina. Tienen alto costo y tienden al plate out. R RADICAL Conjunto de átomos que pueden unirse a otros modificando sus características químicas, también conocidos como grupos funcionales. El radical -OH está presente en alcoholes mientras que el -COOH concierne a los ácidos carboxílicos. RAFAGA Defecto de una pieza moldeada, donde se forman rayas de varios tonos en la superficie de la misma. REACTIVIDAD Capacidad que presenta un ingrediente o substancia de interactuar con otra, para formar uno o más compuestos diferentes a los iniciales. REBABA Exceso de plástico presente en una pieza a lo largo de la línea de partición. RECHUPE Hueco en un producto inyectado, pieza incompleta. REFRACCION Cambio de la dirección de la luz, al pasar de un medio a otro. Cuando un haz de luz incide sobre la superficie del agua, se refracta. REFUERZO Material fuerte e inerte, unido al plástico para darle fuerza, rigidez y resistencia al impacto. Los refuerzos son usualmente largas fibras de vidrio, aramídicas o de carbón. Para ser efectivo, el refuerzo debe adherirse fuertemente a la resina. REGRANULADO Nombre que recibe el plástico cuando se fragmenta por molienda, después de ser moldeado por algún proceso de transformación. También es conocido por remolido, material de reproceso. REOLOGIA Estudio del flujo de la materia en relación con el esfuerzo y la deformación, debe ser considerada en el moldeo de plásticos porque al fundir se transforman en líquidos viscosos. REOMETRO Equipo empleado para medir la viscosidad de los plásticos fundidos, es el aparato más empleado para determinar el comportamiento reológico de un plástico. El material es fundido en un cilindro provisto de un termómetro y resistencias eléctricas, después se hace pasar por un orificio gracias a la acción de un peso, también es llamado "plastómetro". REOPEXIA Propiedad de un material, que aumenta su viscosidad cuando se agita constantemente. Este comportamiento es opuesto a la tixotropía. Véase tixotrópico. REPROCESO Procesar por segunda vez. Usar el material excedente, rebabas, piezas defectuosas, y coladas, para moldear otros productos aprovechando la cualidad termoplástica de muchos polímeros. RESILENCIA Propiedad de un material, generalmente espumado, de recobrar su forma original después de someterse a cualquier distorsión. RESINA Fluido polimérico denso, viscoso, natural o sintético con alto peso molecular. RESINA REACTIVA Toda aquella resina que requiere de un agente externo para endurecer mientras toma forma en un molde. Entre estas resinas pueden mencionarse poliésteres insaturados, poliuretanos y sistemas epóxicos. RESISTIVIDAD Habilidad de un material para resistir el paso de corriente eléctrica a través de su volumen o superficie. La unidad de resistividad volumétrica es de ohm – cm o de resistividad superficial de ohm. RESORCINOL Cristales blancos que cambian a color rosa cuando tienen impurezas. Producto ligeramente soluble en cloroformo, es un agente de entrecruzamiento para el neopreno, base de algunos adhesivos. RETICULACION Reacción entre las moléculas de un plástico, mediante la cual se forma una estructura tipo red que confiere características definidas al material. RICINOLEATO Compuesto derivado del ácido ricinoléico que a su vez proviene del aceite de ricino, el ácido se usa para acabados textiles y jabones. ROLADO Procedimiento mecánico para dar forma cilíndrica a una lámina plana. Las placas adquieren la forma de un cilíndro incompleto para después ensamblarse y formar un tanque. ROTOMOLDEO Formación de una pieza mediante un molde rotatorio, que gira para distribuir material plastificado sobre sus paredes. RTV 1 Elastómero de silicón que vulcaniza a temperatura ambiente con un componente. El acrónimo se refiere a la notación ". RTV 2 A diferencia del RTV 1, éste elastómero requiere de dos componentes que le permiten vulcanizar a temperatura ambiente. RUTILO Forma natural del dióxido de titanio, con un color rojizo o negro por contener hasta un 10% de hierro. Se utiliza en pinturas, esmaltes y para retirar el óxido del acero. S SACAROSA Azúcar comestible bajo la forma de cristales blancos o terrones, llamada sucrosa sirve como edulcorante, también es importante en las reacciones químicas. SANDBLAST Tratamiento superficial que se fundamenta en el soplado de granos de arena en las cavidades de un molde. Confiere un acabado especial a los productos. SANGRADO Migración de un pigmento o colorante hacia la superficie de la pieza plástica. SCRAP Sobrante del moldeo que no forma parte de la pieza final como rebabas, coladas, piezas defectuosas, en los procesos de extrusión o inyección éste excedente es molido e incorporado al proceso como material remolido. SEBASICO, ACIDO Se presenta en forma sólida, que funden a 133°C solubles en alcohol y éter, el producto se vende con calidad técnica y laboratorio. Además de ser plastificante también es importante en la elaboración de varias resinas sintéticas. SELLADO ULTRASONICO Un método de sellado basado en vibraciones ultrasónicas, la frecuencia ultrasónica (20 a 90 kc). La energía eléctrica es convertida en vibraciones a través del uso de algún transductor magnético ó pieza eléctrica. La presión vibratoria en la interfase del área de sellado desarrolla calor que funde las superficies plásticas efectuando el sellado. SEMICRISTALINO Material polimérico que presenta zonas amorfas y cristalinas en su estructura. SILANOS Compuestos de silicio e hidrógeno, análogos a los hidrocarburos saturados. El más simple de ellos se denomina silano, hidruro de silicio (SiH4). Son flamables muy tóxicos y se emplean como agentes de acoplamiento. SILICATO Substancia que contiene silicio, oxígeno y por lo menos un metal. SILICO, ACIDO Gel de sílice (óxido de silicio hidratado) que se obtiene al acidular una solución de silicato sódico. Se usa como reactivo de laboratorio y como refuerzo del caucho. SILOXANO Compuesto que presenta una cadena de silicio y oxígeno, semejante a los hidrocarburos lineales porque el silicio tiene cuatro enlaces igual que el carbono. De esta forma, cada átomo de silicio está unido a cuatro átomos de oxígeno. SINDIOTACTICO Un polímero vinílico en el cual la estructura lateral está alternada regularmente arriba y abajo del plano del bloque. SINERGISMO Término aplicado a la obtención de óptimos resultados al unir dos compuestos. Alcanzando mejores características que las esperadas de la suma de tales substancias. SINTERIZACION Proceso donde se forma una pieza a través de la unión de polvo plástico o metálico que de difunde en algún medio. SLURRY Suspensión acuosa ligera, como la que se alimenta a un filtro-prensa. SOCLO Perfil plástico usualmente de PVC empleado en construcción, sobre pisos y paredes. SOLUTO Nombre que recibe cualquier componente sólido que se puede disolver en algún líquido. SOLVATAR Acción de los plastificantes sobre las dispersiones de resina, donde el plastificante se adhiere a las partículas dispersándolas. SOLVOLISIS Reacción de un solvente con una substancia para formar otra nueva. SOPLADO Proceso de transformación que genera productos huecos mediante la expansión de plástico reblandecido contra las paredes de un molde. Se clasifica en dos formas: La inyección soplo, que utiliza una preforma apoyada en un perno metálico y la extrusión soplo, que emplea un parison. SORBITOL El nombre de sorbita es sinónimo para éste compuesto, es un alcohol sólido formado por cristales blancos que no tienen olor. Tiene baja toxicidad y está presente en varios frutos. Sirve como plastificante y estabilizador. SULFATO DE HIDRACINA Polvo blanco que puede disolverse en agua caliente pero no en alcohol. Se emplea como catalizador de las fibras acetálica, adhesivo y reactivo de laboratorio. T TACTICIDAD Alineación regular de la estructura de algún polímero en el espacio. TEMPERATURA DE FUSION Es la temperatura, en la cual un material cambia del estado sólido al líquido. TEMPERATURA DE TRANSICION VITREA Conocida como Tg, es el punto en el que un plástico se vuelve semilíquido. Por encima de ésta, el material está fundido y antes de ella presenta rigidez, semejante al vidrio. TEMPERATURA VICAT Punto en el que, la punta de una aguja penetra en un plástico, bajo condiciones estandarizadas. TENSOACTIVO Nombre de cualquier substancia que altera la tensión superficial de un líquido. Esta ultima permite que los fluidos mojen las partículas inmersas en ellos. TENSOFISURACION Agrietamiento por tensión. TERMOFIJO Polímero que solidifica irreversiblemente cuando se calienta por primera vez debido al entrecruzamiento de las cadenas que lo constituyen. La pieza moldeada no fundirá al calentarse de nuevo, si la temperatura resulta excesiva, el plástico se carbonizará antes de fundir. TERMOFORMADO Formar por temperatura. Moldear por calor una lámina termoplástica utilizando presión o vacío de manera auxiliar. TERMOFUNDIBLE Que se vuelve líquido con el calor. TERMOFUSION Volver líquido a un sólido por efecto de la temperatura. TERMOGRAMA Conjunto de líneas que permiten identificar un plástico y su comportamiento frente a la temperatura. TERMOPAR Elemento de medición de la temperatura, que consta de un par de metales que al dilatarse por efecto del calor, envían una señal eléctrica proporcional a la temperatura a la que se encuentren. TERMOPLASTICO Plástico capaz de ser moldeado en repetidas ocasiones, ya que puede fundir y enfriarse. Los miembros típicos de esta familia son los polímeros estirénicos, acrílicos, vinílicos, olefínicos, entre otros. TERPOLIMERO Un sistema polimérico que contiene tres unidades monoméricas, por ejemplo el terpolímero ABS acrilonitrilo butadieno y estireno. TETRACLOROISOINDO-LINONAS Pigmentos amarillos y naranjas que se caracterizan por tener una molécula simétrica con dos anillos bencénicos que a su vez poseen cuatro átomos de cloro. TETRACLORURO DE CARBONO Líquido incoloro de olor característico, no es combustible ni disuelve en agua. Es utilizado como solvente, agente de refrigeración en aplicaciones industriales. TETRAHIDROFURANO Conocido por las siglas THF, es un líquido blanco parecido al agua, de olor etéreo, flamable, que incendia a 321°C. Es utilizado como solvente de varias resinas, tintas o adhesivos. TIEMPO DE TACK Período de tiempo en el que un material es pegajoso, este término se aplica en adhesivos. TIERRAS DIATOMACEAS Material con alto contenido de silicio, proviene de los fósiles de algas, se disuelve en la sosa o potasa por ser álcalis fuertes. Tiene varios usos en diferentes actividades industriales. TIODIPROPIONICO, ACIDO Aditivo aprobado por la FDA para alimentos y envases alimentarios, se utiliza también como antioxidante en grasas, aceites y productos farmacéuticos. TIODIPROPIONICO, ACIDO Sustancia empleada como conservador de alimentos envasados su estructura es S(CH2CH2CO2H)2, aprobada por la FDA, su uso está restringido al 0.02% del contenido en grasa. TIOGLICOLATO ISOOCTOL Tioglicolato de isooctilo, líquido transparente tóxico con débil olor a frutas, empleado en antioxidantes, fungicidas, plastificantes, estabilizadores y modificadores de la polimerización. TITANATO Elemento que genera puentes moleculares entre una carga inorgánica y el polímero, aunque su alcance no se limite a esta aplicación, forma capas reactivas compatibles sobre la superficie orgánica. TITULACION Es un método químico conocido también como “valoración”, empleado para determinar la cantidad de una sustancia en solución haciéndola reaccionar con otra de concentración conocida con exactitud. TIXOTROPICO Es aquél material que aumenta su fluidez cuando se agita, ejerciendo esfuerzo cortante entre las capas del mismo. Cuando la agitación termina, el fluido recobra su viscosidad inicial. TOBERA Sinónimo de orificio o abertura. TRANSDUCTOR Término empleado para cualquier aparato que se active mediante una señal transformando un tipo de energía a otra. Por ejemplo, la energía eléctrica en mecánica. TRANSESTERIFICACION Reacción química que consiste en la formación de un éster a partir de otros dos. TRANSLUCIDO Cuerpo o superficie que permite el paso de la luz, pero no se puede ver a través de él. TREPANAR Sinónimo de taladrar. (2) Perforar un hueso con fines médicinales. TRICLOROETILENO Líquido estable incoloro que reacciona con la luz, no es flamable ni ataca los metales, aún con la presencia de humedad. Tiene olor semejante al cloroformo. Se emplea como desengrasante, diluyente de pinturas y adhesivos. TRIETANOLAMINA Presente como líquido incoloro que hierve a 335°C es higroscópico con aroma de amoniaco, usado como plastificante y supresor de humo. La estructura química de éste compuesto consta de un átomo de nitrógeno unido a tres radicales etóxicos N(CH2 CH2 OH)3 TRIGLICERIDO Nombre que recibe una familia de compuestos que forman grasas y aceites. Son ésteres naturales de los ácidos grasos y la glicerina. TRIOXANO Molécula que consta de ocho o más unidades del formaldehído, se conoce también como triformol o metaformaldehído. Forma cristales blancos que funden a 62°C solubles en agua, alcohol y éter. Sus usos principales son las reacciones químicas y como desinfectantes. U U.M.A. Siglas de Unidades de Masa Atómica. UREA Polvo blanco que se descompone antes de hervir, presente en la orina y otros fluidos del organismo. Aplicado como intermediario químico, fertilizante, adhesivos y usado en algunos medicamentos. V VELOCIDAD DE CIZALLA Es la velocidad requerida por una capa de polímero fundido para cruzar las paredes de un canal con flujo laminar. VINIL TOLUENO Compuesto ligeramente tóxico flamable, se disuelve en éter y difícilmente en agua. Es un líquido incoloro conocido como metilestireno. VISCOELASTICO Denominación que recibe un material que tiene un comportamiento intermedio entre un líquido viscoso y un sólido elástico. Esta conducta es característica de todos los plásticos en mayor o menor grado. VISCOSIDAD Resistencia que presenta un líquido a fluir, generalmente debido a la fricción entre las moléculas del líquido. VULCANIZACION Reacción química que cambia las propiedades físicas de un hule ó plástico, haciendo reaccionar azufre, calor y material polimérico. Los cambios incluyen disminución del flujo plástico, reducción de dureza superficial, solubilidad, incremento en la elasticidad y resistencia a la tensión. W WOLLASTONITA Silicato natural que se encuentra en algunas rocas. Se utiliza para fabricar pinturas, caucho, papel, refuerzo de fibras para algunos plásticos. X XANTOFILA Materia orgánica que se encuentra en las hojas vegetales, acompañada de clorofila (véase). XILOGRAFO Aparato que emplea tipos de madera para imprimir. Z ZEOLITA Sal inorgánica que contiene óxido de aluminio, sodio, silicio y agua asociados, usada en el tratamiento de aguas residuales porque facilitan el intercambio de iones. Existen zeolitas naturales y sintéticas. ZIEGLER-NATTA Familia de catalizadores esteroespecíficos que deben su nombre a los científicos que los desarrollaron, Karl Ziegler y Giulio Natta. Básicamente son grupos alquil-aluminio o compuestos de titanio, el trietilaluminio, tetracloruro de titanio son ejemplos de estos catalizadores. Ziegler y Natta recibieron el premio Nobel de Química en 1963 por su descubrimiento. ZIRCOALUMINATOS Complejos organometálicos de aluminio y zirconio que modifican la superficie inorgánica, incrementando los niveles permitidos de carga o fibras en plásticos y resinas. Son análogos a los silanos. ZONA DE MEZCLADO Sección del husillo donde el plástico se somete a esfuerzos mediante un maquinado especial, existen diversos diseños de estas zonas de acuerdo a las necesidades del material a procesar y del producto. Acrónimos de Plásticos Acrónimos de los Principales Plástico por Consumo Termoplásticos Comodities PP – Polipropileno PET – Polietilén Teraftalato PEAD – Polietileno de Alta Densidad PEBD – Polietileno de Baja Densidad PELBD – Polietileno Lineal de Alta Densidad mPE – Polietilenos – Metalocenos PVC – Policloruro de Vinilo PS – Poliestireno EPS – Poliestireno Expansible “Unicel” PSI – Poliestireno Impacto EVA – Etil Vinil Acetal Termoplásticos de Ingeniería ABS –Acrilonitrilo Butadieno Estireno PC – Policarbonato PA – Poliamida “Nylon” PMMA – Polimetil Metacrilato “Acrilico” PBT – Polibutilén Tereftalato POM – Polióxido de Metileno “Acetal” SAN – Estireno Acrilonitrilo SB – Copolímero de Estireno Acrilato ASA – Acrilonitrilo Estireno Acrilato PETG – Polietilentereftalato Glicolado Termofijos UP – Resina Poliéster Insaturada SI – Silicón EP – Resina Epóxica PUR – Poliuretano Elastómeros Termoplásticos TPO – Hule Termoplástico Olefínico TPE – Hule Termoplástico Estirénico © Derechos Reservados Instituto Mexicano del Plástico Industrial 2010. .