Amex 1010 - Polímeros termoplásticos, elastómeros y aditivos

mexpolimeros
info@mexpolimeros.com - tel. 477 7350309
info@mexpolimeros.com  - Móvil y Whatsapp +52(562)3758904
Móvil y whatsapp +52(562)3758904
info@mexpolimeros.com
Vaya al Contenido

Amex 1010

Aditivos > ► A > ► Antioxidantes > ► Lista Antioxidantes

Amex 1010


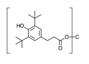
Amex 1010 es un antioxidante fenólico estéricamente impedido: es un estabilizador altamente eficaz que no decolora sustratos orgánicos como plásticos, fibras sintéticas, elastómeros, adhesivos, ceras, aceites y grasas. Protege estos sustratos contra la degradación termo-oxidativa. Amex 1010 es un antioxidante fenólico impedido de alto peso molecular que proporciona un procesamiento excelente y estabilidad térmica a largo plazo en una amplia variedad de sustratos orgánicos como plásticos, fibras sintéticas, elastómeros, adhesivos, ceras, aceites y grasas. Amex 1010 se puede aplicar en poliolefinas, como polipropileno, polietileno, polibuteno y copolímeros de olefina, como copolímeros de etileno-acetato de vinilo, poliacetales, poliamidas y poliuretanos, poliésteres, PVC, homo y copolímeros de estireno, ABS, elastómeros como caucho butílico (IIR), SEBS, EPM y EPDM, SBS, SIS, SEEPS, HSBC.

  • Nombre químico: Pentaeritritol tetrakis (3- (3,5-di-terc-butil-4-hidroxifenil) propionato)
  • Chemical name: Pentaerythritol tetrakis(3-(3,5-di-tert-butyl-4-hydroxyphenyl)propionate)
  • Chemical name: Benzenepropanoic acid, 3,5-bis(1,1-dimethylethyl)-4-hydroxy-,1,1′- [2,2-bis[[3-[3,5-bis(1,1-dimethylethyl)-4-hydroxyphenyl]-1oxopropoxy]methyl]-1,3-propanediyl] ester
  • CAS number: 6683-19-8
  • Forma del producto: sólido
  • Rango de fusión: 110 -125°C
  • Peso molecular: 1177,6 g/mol

Características

Amex 1010 tiene buena compatibilidad, alta resistencia a la extracción y baja volatilidad. Es inodoro e insípido. El producto se puede usar en combinación con otros aditivos tales como coestabilizadores (por ejemplo, tioéteres, fosfitos, fosfonitos), estabilizadores de luz y otros estabilizadores funcionales. La eficacia de las mezclas de Amex 1010 con Amex 168 y DSTDP. Tetrakis [metileno 3-(3,5-di-terc-butil-4-hidroxifenil) propionato] metano, es un antioxidante primario para polímeros orgánicos PE, PP, POM, PA, PET, PBT, PVC y elastómeros. Este producto es eficaz para su uso en el procesamiento de polímeros para reducir el cambio de viscosidad y la formación de gel. Proporciona estabilidad térmica a largo plazo y protege las propiedades físicas durante el uso y almacenamiento del producto final. Exhibe un efecto sinérgico cuando se usa en combinación con Amex 1680 y otros antioxidantes secundarios. Se puede utilizar con benzotriazoles o estabilizadores de luz de amina impedida (HALS) para estabilización térmica y lumínica en exteriores.

  • Proporciona una excelente estabilidad durante el procesamiento a alta temperatura y el envejecimiento por calor a largo plazo
  • Compatible con una amplia gama de sustratos orgánicos
  • No mancha y no se decolora
  • Excelente resistencia a la extracción
  • Inodoro e insípido
  • Baja volatilidad
  • Amplias autorizaciones de la FDA
  • Compatibilidad con otros estabilizantes y aditivos

Pautas de uso

Las concentraciones de carga recomendadas oscilan entre 0,02% y 1% en poliolefinas, entre 0,2% y 1% en adhesivos termofusibles y entre 0,1% y 0,5% en resinas adhesivas sintéticas. Las combinaciones de Amex 1010 con otros antioxidantes como fosfitos y tioéteres muestran a menudo un rendimiento sinérgico. Amex 1010 también es adecuado para su uso en combinación con estabilizadores de luz, incluidos estabilizadores de luz de amina impedida (HALS), absorbentes de UV y benzoatos. La formulación exacta que se utilizará depende del sustrato, los requisitos de rendimiento y otros factores, y el usuario debe determinarla basándose en pruebas para simular las condiciones reales de uso.

Almacenamiento

Este producto puede almacenarse hasta dos años en un recipiente sellado. Los contenedores deben mantenerse bien cerrados cuando no estén en uso y almacenados en un lugar fresco y seco.

Seguridad

Consulte la hoja de datos de seguridad (SDS) antes de manipular o utilizar este producto.

Regulaciones de la FDA

Amex 1010 cuenta con amplias autorizaciones de la FDA, incluso en adhesivos según 21 CFR §175.105; en todos los polímeros, colofonias y derivados de colofonia, resinas de hidrocarburos alicíclicos de petróleo, resinas de terpeno y adhesivos sensibles a la presión según 21 CFR §178.2010; en lubricantes según 21 CFR §178.3570; en lubricantes de superficie utilizados en la fabricación de artículos metálicos según 21 CFR §178.3910; y en muchas otras aplicaciones.

La oxidación térmica del polietileno estabilizado con la mezcla de Amex 1010 y la amina estéricamente impedida Tamex 622 confirmó que la aparición de sinergismo o antagonismo en el efecto de las aminas estéricamente impedidas hacia los antioxidantes depende de la concentración.
,,,ethanol,mulsionner,mulsion,lectrique,lastomère,lastique,lasticit,,jection,jecteur,chantillon,à,ölen,ölbremse,äthanol,zwischen,zweifarbig,zur,zones,zone,zona,yield,work,with,white,well,welding,weld,weight,water,warpage,warm,wall,vuoto,vulkanisiertes,vulkanisierte,vulcanizzato,vulcanized,vulcanis,von,volum,trique,volumique,volumetrische,volumetrica,volumetric,volume,volatili,voie,void,vitesse,vite,vita,viscous,viscosità,viscosity,viscoelasticità,virgin,vinylique,vinylidène,vinylidene,vinyle,vinyl,vinilidene,vinilico,vinile,vie,vide,vicat,vibrazioni,vibrazione,vetro,talco,carbonato,wollastonite,caolino,policarbonato,acrilonitrile butadiene stirene,verniciata,verniciante,verni,vergine,verbrannt,vents,venting,vented,velocità,velocity,vegetale,varnished,variazione,vapore,vapor,vapeur,valvola,valve,vacuum,v,utensili,usin,unter,unten,uno,unlösliches,unitario,unitaire,unit,undercut,under,una,un,umidità,essicatura,deumidificazione,ultrasuoni,ultimate,ugello,type,twotone,tutte,tunnel,tubi,trovaste,trou,trazione,movimento,traverse,travail,trasformazione,trasferimento,transition,transfert,transfer,tramoggia,trafilatura,trafila,sm,tra,tr,torque,torpedo,torch,top,tool,tonnellaggio,tonnage,toggle,break,to,tirata,tirage,tipo,tip,tinto,time,tiebars,tiebarless,tie,rods,tie,bar,ejection,throat,threeplate,thinner,thinwall,thickness,thickener,thermosetting,thermoset,thermoplastischer,thermoplastique,thermoplastic,thermodurcissable,thermocouple,thermische,thermique,thermal,texture,textiles,tessili,terza,terra,termoplastico,termoplastica,termoindurente,termocoppia,termico,termica,terephthalate,tensioni,tensione,tension,tensil,tempo,temperature,temperatura,tecnopolimero,tecnico.,tamis,take off,taglio,tab,s,paration,para,s,gr,gation,synth,tique,synthèse,synthetische,synthetic,svergolamento,surface,sup,rieur,superposition,superficiale,suck,submarine,sub,su,stroke,stresses,stress strain,stress,strength,streak,stratifi,s,stratificanti,strati,strates,strain,stockage,stiffness,sticking,steam,stationary,staticità,statiche,stampo,stampatura,stampato,stampata,stampaggio,staccio,stabilizzante,stabilizer,stabilità,stability,stabili,spurgo,spugnoso,spugna,sprue,spots,spongieux,sponge,spirit,spina,spessore,speed,speck,specifico,spazzola,spazio,spalmatrice,spalmata,spacer,space,sovrastampaggio,sovra,sous,sottosquadro,sottomarina,sotto,sottile,sono,solventi,solvant,soluzione,solution,soluble,solubile,solidificazione,solidificata,solforico,solfati,sm;smorzatore,slug,slate,skin,size,sito,sintetico,sintetica,sink,sieve,sia,shrinkage,shot,short,shoit,shhet,shelf,sheets,shear,sforzo,sformo,sfoghi,sfiati,sf,settore,setola,set,resistenza,invecchiamento,ageing,analisi,e,senza,semicristallino,semicrystalline,segregation,segni,secondo,secco,screw,screpolatura,scorrimento,scolorimento,scelta,scellement,sbiadimento,sandwich,sample,saline,saldatura,s,r,ticulation,r,ticulant,r,sine,r,g,n,r,e,r,glage,rupture,runners,runnerless,runner,rugiada,rubber,rpm,rottura,rotomolding,poltrusione,rotazione,rosin,rod,ritiro,ritardata,ritardanti,risucchio,ristagno,rispetto,riscaldante,riscaldamento,risalita,rinvio,ring,rinforzante,rinfluenzano,rimacinato,rigidità,rigenerata,riferimento,riempitivo,riempimento,richieste,richiede,rib,reversal,return,reticolazione,retard,e,retardants,resinoso,resina,resin bonded,resin,residual,residua,residence,repères,renvoi,renforçante,renforcement,release,relative,relativa,reinforcing,reinforcement,regrind,regenerierte,regenerated,reciprocating,ratio,rate,raschiaolio,rapporto,rapide,ram,rallentata,ralenti,raggrinzimento,raggi,raffreddatore,raffreddamento,racle,raccolta,rabboccatura,questo,qsolo,p,trole,purging,punzonante,punto,punti,puntale,punta,pulv,riser,puller,pudern,pr,formage,protezione,proprietà,processo,processing,pressure,presso,pressione,presse,pressa,press,premiscelati,premiscelate,preghiamo,preforming,preformatura,pozzolanico,pozzolanica,pozzetto,power,powder,povere,pour,poudre,potenza,pot,post ritiro,post moulding,post molding,portata,pond,rale,ponderale,polystyrene,polypropylene,polymère,polymethyl,polymer,polyethylene,polycarbonate,polyamide,poly,methyl,ethylene,polvere,polmonatura,polivinile,polistirolo,polistirene,polishing,polipropilene,polimetilmetacrilato,polimero,polimeri,polietilentereftalato,polietilene,poliammidi,poliammide,poli,metil,point,poe,mah,maleica,plywood,plunger,platens,platen,plateaux,plateau,plate,plastische,plastique,plastificazione,plastificante,plastifiant,plasticizing,plasticizer,plasticating,plastica,plastic,placage,più,piuma,pit,pistone,piston,pin,pigmento,pigment,piastra,piano,piani,ph,nolique,physique,physikalischer,physical,phenolic,phase,pezzo,peso,perte,perno,permittivity,permeabilità,permanenza,permanente,permanent,perdita,percorso,per,pelo,pellicola,pelle,peel,peau;croute,path,passando,passaggio,parting,particolari,parete,par,papier,paper,pad,packing,ph,overmoulding,overmolding,ouverture,ouverte,ottica,ottenuto,osmotiche,orifizio,orifice,orientation,orientamento,organici,orange,or,optische,optique,optical,opening,open,opaque,opaco,omopolimero,oli,oleodinamico,ogni,offene,of,oben,o,nucleazione,nozzle,nostri,normative,non,nitrico,nitrati,nichtelastische,nervatura,nero,nello,necessarie,naturali,natural,n,m,thanol,m,lange,multiples,multiple,multicomponente,multicolore,multicavità,multi gating,multi component,multi colour,multi color,multi cavity,muffa,moving,movable,mousse,moul,mouler,moule,moulding,moulded in,moulded,mould,moulage,motor,monomero,monomer,monocappa,mol,culaire,molto,molti,molecular,molecolare,molding,mold,moisture,modulo,modellabili,mobile,mixed,mit,minerali,mineral,mfr,mfi,allungamento,flessione,metro,metilico,methanol,methacrylate,metering,meteorica,metanolo,metalli,metacrilato,mescolanza,mescola,mento,melting,melt,medie,medicale,mechanical,matière,materozza,materie,materia,shore,durezza,densità,compression,materiale,material,matarozza,masse,maschio,mark,mantenimento,manque,mano,manifold,mancanza,malte,makromolekulare,f,main,magre,maggior,magazzino,macroporosi,macromol,culaire,macromoleculare,macromolecular,machined,machine,macchine,lunghezza,lumière,luce,loss,longueur,locking,localizzato,local,loading,load deflection,load,lin,aire,lino,linguetta,lineare,linear,linea,line,limite,light,life,lichte,les,lente,lengthwise,length,legno,legante,lega,le,lay up,lavoro,lavoazione,laterale,laser,larghezza,largeur,land,lampant,lampade,lamp capping,laminates,laboratori,la,l'applicazione,l'aggiunta,k,rosène,kurz,kunstharzverleimtes,kristallin,knockout,knit,knife,knapp,kerosine,kerosene,kaolin,kalt,kalibermässige,jonc,joints,jig,jauge,jaquette,isotropico,isotropic,inversione,inversion,intrinsic,intrinseca,interne,intalcare,installed,installata,insoluble,insolubile,inserti,inorganici,injection,iniezione,iniettabili,inghisaggio,informazioni,industria,indurimento,indurente,incurvatura,incompleto,incompleta,incollaggio,inching,in,impregnanti,il,igroscopico,idropneumatico,idromeccanica,idrogeno,idrofugate,idrauliche,idraulica,idonei,i,härtbarer,hygroscopic,hydro mechanical,hydraulic,hot setting,hot,hose,hopper,homopolymer,hole,holding,hold,high,height,heating,heater,heat,head,haut,hardness,hand,guaine,belts,automotive,guaina,gruppo,gravit,gravità,gravity,grassi,grasse,granulatore,granulator,gradiente,gomma,goffratura,gocciolamento,goccia,glue,gloss,glass,givrage,giunzione,giuntare,giri/minuto,ginocchiera,gewölbt,geschlossene,gepresster,geformter,gedrängt,gauges,gate,gas,gas assistito,gas assisted,gardner,gamma,fuso,fusione,fuoco,funghi,anti,frozen,frosting,fronte,front,froid,freezing,freddo,freddi,fredda,freccia,frame,fra,forza,forward,forti,formatura,forma,force,forata,for,fontana,fond,foglie,flèche,flusso,flow,flour,flocon,flock,flash,flame,fixture,fixed,fisso,fissaggio,fissa,fisico meccaniche,fisico,fiocchi,finish,filling,fillers,filler,fillpack,fill,filière,filiera,fili,fibres,fibre,fibrate,fiamma,feutre,feuilles,ferro,fermeture,fenolico,fenditura,feltro,felt,feed,fattori,fase,fascia,fading,f;verjüngung,f;charge,extrusion,extendeur,extender,expansion,expanded,excès,ex.,etilico,ethanol,etanolo,et,estrazione,estrattore,estensori,essiccazione,essiccatore,essiccamento,essa,espulsore,espulsione,espanso,espansive,espansa,es.,entr,es,entre,engineering,enduit,en,emulsione,emulsionare,emulsionamento,emulsion,emulsifier,emulsification,emulgieren,empreinte,elongation,elettrostatica,elettriche.eventualmente,elettriche,elettrica,elektrische,electric,elastomero,elastomer,elastische,elasticità,elasticity,elastica,elastic,ejector,eines,einer,einem,eindicken,efflorescenza,efflorescence,edilizia,elettrodomestico,tools,iso6722,r7,r8,r18.e,edile,edge jointing,edge,ed,eccesso,eau,d,t,rioration,d,shydratation,d,pressionen,d,pouille,d,moulage,d,gradation,d,gazage,d,formation,d,composition,d,coloration,duttilità,dur,e,duret,durcissable,durch,durata,ductilit,ductility,du,drying,dryer,dry,drooling,draft;draw,draft,dowel,dovuto,douille,dosaggio,domed,doctor,docteur,di,lectrique,distribuzione,distortion,distanziatore,distance,distacco,distaccante,disque,disposizione,dispositivo,dispositif,dispertion,dispersione,dispersion,disidratazione,discoloration,disco,disc,direzione,diretta,direction,direct,dimère,dimero,dimer,diluente,diluant,dilatazione,dilatation,diffusivit,diffusività,diffusivity,diffusione,diffusion,difetto,dielettrico,dielettrica,dielektrischer,dielectric,die,diaphragme,diaphragm,diagramme,diagramma,diaframma,di,deumidificata,deumidificanti,deteriorazione,deterioration,desiccant,des,der,density,den,dell’impasto,dell’acido,dello,delle,della,dell'ugello,dell'espulsore,dell'ambiente,dell'acqua,del,dei,dehydratation,degradazione,degradation,degradabili,degasaggio,deformazione,deformation,deflection,defect,decompression,decomposizione,decomposition,dead,daylight,dash,damping,dall'alto,dal,da,jection,jecteur,une,un,injection,iniezione,humidit,extrusion,eau,aria,arancio,apporto,apport,alimentazione,alimentation,acqua,cylindre,cylinder,cycle,cushion,cuscino,cuscinetto,curve,curva,cure,culot,culatta,cuisson,cr,sol,crystalline,crosta,crosswise,crosslinking,crosslinking,cristallino,crine,crin,cresolo,cresol,creep,crazing,craze,cratère,cratere,crater,cracking,crack,course,coul,e,couleur,coubre,cottura,cotton,cotto,cotone,coton,costruzioni,costante,costampaggio,cospargere,corsa,corrosione,corrosion,corps,corpo,core,coprente,coppia,copolym,risation,copolym,re,copolymerization,copolymer,copolycondensation,copolimero,copolimerizzazione,copolicondensazione,cooling,contropressione,controllato,contreplaqu,contrainte d,formation,contraibilità,contenimento,contatto,contattare,contact,constant,conservazione,connecting,conicità,conformatrice,conformatore,conformateur,confluenza,conductivit,conductivity,conducibilità,condensazione,condensation,condensa,con,compressione,compound,compoundare,compostabili,compensato,compattamento,compatibilizzante,fibra,compatibilit,compatibilità,compatibility,commutazione,come,column,coltella,colour,colore,colorante,colorant,colophony,colophane,colonne,colonna,colofonia,collier,colletta,colle,collare,collapse,colla,coleur,cold setting,cold,colata,colabili,coiniezione,coestrusione,coated,coagulazione,coagulation,co injection,closing,closed,cloruro,cloruri,cloroprene,cloro acetato,cloridrico,clearance,clay,classe,clamp,circolazione,ciment,cilindro,ciclo,châssis,chlorure,chloroprène,chloroprene,chloride,chlorac,tate,chiusura,chiusa,china,chimique,chimico,chimica,cherosene,chemischer,chemical,che,chaîne,chauffant,chauffage,chaud,chase,chargement,charge,channel,chambre,chamber,chalumeau,chain,centratura,cemento,cement,cellulose,cellulosa,cellule,cellulare,cellular,cellulaire,cellula,cell,cavit,cavità,cavity,cavi,catena,catalyst,catalyseur,catalizzatore,cas,ine,casting,cassa,caseina,casein,casalingo,cartuccia,cartridge,carta,carro,carriage,carotte,carota,carico deformazione,carico,cariche,caricamento,carica,carboxym,thyl,carboxymethyl,carbossimetilcellulosa,capillare,capacit,capacità,capacity,caoutchouc,cannello,canali,canale,canal,campione,camicia,camera,calore,calendering,calender,caldo,caldi,caldana,calda,gesso,calcio,calcestruzzo,calandre,calandratura,calandrage,calandra,but,e,butyrate,butyral,butirrale,bushing,bush,buse,burned,burn,bulle,buccia,bubbler,bubble,brûl,brunitura,bruciatura,bruciato,bristle,brinatura,brillantezza,brillance,breathing,breaker,bozza,bowl,boudineuse,bottom,bottle,bossage,boss,bomb,bombato,bolster,bolla,body,boccola,bocchettone,bocca,bob,blueing,bloom,blocs,blocking,blockcopolymerization,blockcopolymer,block,blocco,bloc,bleuissement,blend,bleibende,blau,blanket,blanc,black,biniezione,bicolore,between,beschichtetes,benzyl,benzine,benzilcellulosa,profili,beim,bearbeiteter,bavure;toile,bava,bastone,bastarde,basso,barrel,barre,barra,bar,band,baguette,bague,baffle,back,bacchetta,a,rohydraulique,avvallamento,avec,automatisches,automatischer,automatique,automatico,automatica,automatic,au,attrito,attrezzati,attraverso,attenuazione,atmosferici,atattico,ataktisch,atactique,atactic,assorbimento,assistito,assistita,ascendente,asbestos,aria,ardoise,ardesia,appui,apprêt,appretto,apparente,apertura,aperta,antistatico,antiritiro,antioxydant,antioxidant,antiossidante,anticarbonatazione,antiadesivo,antistatique,antistatic,antiadh,rent,anistropy,anistropie,anistropia,anisotropico,anisotropic,anima,angolo,angle,anello,and,anchor,anche,analysis,analyse,an,ampoules,amortisseur,amortissement,amorphous,amorphe,amorph;gestaltlos;nicht,amorfo,ammortizzatore,ammortizzamento,ammonio,amminoplasto,aminoplastic,aminoplaste,amianto,amiante,al,sage,alv,ole,alveolo,altri,alto,alpha cellulose,alpha,allungante,alluminoso,alloy,allongement,allo,alla,all'idrolisi,all'abrasione,alimentazione,alimentation,alimentare,alginato,alginate,alfa,alesaggio,alcool,alcohol,al,air hydraulic,air,ai,agli,agg,agente,agent,affaissement,aeree,adjuvant,adh,sivit,adh,sif,adh,rence,adhesiveness,adhesive;glue,adhesive,adesivo,adesività,adesiva,adesione,aderenza,additivo,additivi,additive,addensare,addensante,ad,ac,to butyrate,ac,tate,ac,tal,acrylonitrile butadiene stirene,acqueo,acquaragia,aceto butirrato,acetato,acetate,acetale,acetal,acc,l,rateur,accumulatore,accumulator,accumulateur,accostamento,accelerator,accelerante,absorption,abrasione,abrasion,abrasimetro,copoliestere,copes,compatibilizzanti,gomme,copoliammide,vinylbutyral,vinylalkohol,vinylacetat,vinylacetal,vichy,ventilato,vdo,v/p,uretano,uv,usp,tpa,astm,iec,ul,sae,fda,eec,turapori,trementina,traspirante,transfer,tixotropia,termoigrometro,termocappotto,tempera,tampone,tpc,tg,teee,t4,supporto,sughero,substrato,stucco,streuung,streichmesser,streckmittel,stratificazione,staggiatura,stab,squamatura,spruzzo,spolveratura,spessimetro,sperrholz,spazzolatura,spannungs,solvente,sollevamento,solidi,solfato,smalto,siliconi,silicone,silice,silicati,sigillante,scagliola,sbiancamento,sanguinamento,sali,sale,sabbie,sabbiatura,sabbia,rückdrückstift,rullo,ruggine,rubb out,rivestimento,ritenzione,ripristino,rinzaffo,rigature,richtvorrichtung,rialcalinizzante,retinamento,resine,residuo,resa,repellenza,reoplastica,reologia,reissfestigkeit,reazione,rasatura,rasante,rahmen,querrichtung,querhaupt,puntinatura,promotori,prodotto,primer,pozzolana,potere,pot life,portland,porosità,pore,polimerizzazione,polimerico,platten,plastificanti,plasticità,pittura,pistola,piombo,pigmenti,pigmentato,pietrischi,piana,phenol,ktw,statico,batterico,funghicida,hard,soft,segment,martindale,isolante,intumescenza,intonaco,intonaci,iniettabile,inibitore,ingiallimento,inerti,inerte,impolmonimento,impermeabilizzante,immersione,igroscopicità,ignifugo,idrosabbiatura,idrorepellenza,idropulitura,idropittura,idrofugazione,idrocarburi,iso,härtung,härte,gesso,formazione,folien,floating,finitura,filzscheibe,filmazione,film,fibrorinforzato,fessure,fessurazioni,evaporazione,essiccante,espansivo,epossidica,entlüften,entformungsmittel,emulsionstyp,emulsionsbildung,emulgierarbeit,elastomerica,elastomeri,termoplastici,tpo,tpv,sebs,sbs,tpu,tpee,tpe a,pvc,tpc et,tpe o,tpe s,tps,tpe v,tpe,elastomere,dispersore,dimere,diluenti,costretti,corporatura,copolymerisation,copolymerisat,copolykondensation,copertura,controspinta,consolidante,conglomerato,composti,colpi,colatura,coesione,coefficiente,cocciopesto,coating,cloro,caucciù,chroma,chloropren,chassis,cere,celluloseacetobutyrat,celluloseacetat,cavillature,caucciù,catrame,catalisi,carteggiatura,carbossimethylcellulose,carbonatazione,carbon,capocchie,capillari,buchse,bruch,bremszylinder,borste,bohrung,blockpolymerisat,blockmischpolymerisation,blocken,blase,benzylcellulose,azione,autolivellante,assorbitori,asfalto,asbest,argilla,appretur,applicabilità,appiccicosità,antyoxidans,antivegetativa,antistatikum,antischiuma,antiruggine,antimuffa,antiacido/a,anschnitt,anlaufen,angusszieher,angussverteiler,angussbuchse,anguss,ancoraggio,ammide,aminoplast,alginat,alchidica,airless,airmix,aggregato,agenti,affresco,aerosol,aerografo,acrilico,acetone,2k,estrusione,pom,pe,pipe,oxo,lama,l'allungamento,l'impatto,charpy,izod,bio,alle,ttir,din,dsc,vischiosa,superficie,ali,resistenza,potenziale,abs,acrilonitrilo,butadieno,estireno,cm,cauchos,polietileno,clorado,acm,elastómero,ster,acrílico,cloroetilvini,ter,cmg,carboxi,metilcelulosa,acs,polietilenoclorado,cn,nitrocelulosa,aes,acrílonítnlo,etilpropileno,co,epiclorhidrina,polímeros,amida,imida,cp,propionato,celulosa,amma,metilo,cpe,anm,copolímero,cpvc,policloruro,vinilo,arp,plástico,reforzado,cr,cloropreno,asa,cs,caseína,poliuretano,poli,ster,csm,dorosulfonado,biir,isobutileno,isopropeno,bromado,csr,bk,baquelita,ctfe,políclorotrifluoro,etileno,br,eco,epjclorhidrina,brp,boro,eea,acrilato,etilo,ca,ep,propileno,cab,acetobutirato,epoxi,cap,acetopropionato,epd,terpolímero,dieno,car,carbono,epdm,cel,celuloide,epe,ester,epoxídico,cf,formaldehído,epfv,vidrio,cfm,cloruro,trifluoretileno,epm,cfrp,epr,chr,eps,poliestireno,expandible,acrónimos,ept,terpolimero,polisulfuro,mdpe,media,densidad,etfe,tetrafluoroetileno,mf,melamina,eu,caucho,poli,teres,mfrp,metálica,eva,mpf,metamina,fenol,eval,vinílico,mwrp,whiskers,nbr,fep,hexafluoropropileno,ncr,fpm,fluoruro,vinilideno,y,hexafluoruro,nir,isopreno,fsi,silicona,grupos,fluorados,nr,elastómero,isopreno,gpps,cristal,opp,polipropileno,orientado,tg,opvc,osa,modificado,olefina,grp,pa,poliamida,pa11,polímero,ácido,amino,11,undecanóico,hdpe,alta,pa12,dodecanolactama,hips,impacto,εcaprolactama,iir,pa6/12,6,im,poliisobutileno,pa610,hexametilendiamina,sebácico,ir,sint,tico,pa612,dodecanóico,lcp,liquido,trimetil,tereftálico,lope,baja,adípico,lldpe,lineal,pa66/610,ácidos,mbs,paa,ácido,acrílico,pai,petg,politereftalato,pan,poliacrilonitrilo,pf,papi,polifenil,isocianato,polimetileno,pfep,polifluoroetilenpropileno,parfv,reforzada,pi,poliimida,pb,polibuteno,pib,polibutadieno,pir,isocianurato,pban,pmi,polimetacrilamida,pbi,polibecimidazol,pmma,metacrilato,metilo,pbr,piridina,pmp,metil,4,penteno,1,butileno,óxido,propileno,polioximetileno,poliformaldehído,poliacetal,pctfe,policlorotrifluoroetileno,pdap,ftalato,dialilo,ppc,ppo,óxido,fenileno,pead,ppox,polipropileno,pebd,pprfv,pec,polísulfuro,peek,polieteretercetona,ppso,polifenisulfona,pei,polieterimida,ppsu,fenil,n,sulfon,peo,etileno,prfv,peox,etileno,ps,pep,psgp,pes,ter,pshi,pet,psbr,pse,sl,siliconas,psi,si,psu,polisulfona,sir,pife,politetrafluoroetileno,sma,anhídrido,maleico,pu,sms,pur,sp,saturado,pvac,poliacetato,tfe,politrifluoromocloroefileno,pval,alcohol,vinílico,termoplástico,pvb,butirato,vinilo,tpx,metilpenteno,pvcc,dorado,uf,urea,pvdc,vinilideno,uhmwpe,ultra,pvdf,fluoruro,up,insaturado,plástico,uretano,pvf,vce,pvfm,vinil,formaldehído,vcema,pvk,polivinilcarbazo,vceva,pvp,polivinil,pirrolidona,vcma,rf,resorcina,vcmma,san,vcoa,octilo,sb,vcvac,sbr,vcvdc,vpe,reticulado,scr,fenílicos,vinílicos,sfrp,sint,tica,vsi,r18,abr,acrilicobutadieno, ácidos grasos, índice de refracción, índice tixotrópico, ,ster de celulosa, ópticas, óxido de zinc, 1.2 polibutadieno sindiotattico, sanitary ,standards, 5g, aba, ablación, abrasión del tpu, abrasion, abreviaturas plasticos, abrillantador ópticos, abrillantador de elastomeros, abs sma, abs tpu, abs, absorción de agua en 24 horas (24 h), absorción de agua por saturación, absorción de humedad, absorción de sonido, abs pbt, abs pest, abs pet, abs pvc, acabado del molde, aceite de cardanol, aceite de linaza epoxidado, aceite de ricino, aceite de soja, aceite vegetales, aceite, aceites, aceleradores para cauchos, aceleradores, acetal, aclararante, acm, acms, acondicionadores de aire, acoplamientos de inserción flexible, acoplante, acrónimos, acrilatos, acrilonitrilo butadieno estireno, acrilonitrilo, acs, adhesión a subestarto, adhesión de elastómeros, adhesión mecanica, adhesión, adhesion a los metales, adhesion al corte, adhesion corte, adhesivo, aditivos de curado de peróxido, aditivos, admin adyuvantes, aem, aes, agente antireversión, agente compostable, agente de acoplo, agente espumante, agente pro degradante, agentes antibloqueo, agentes antiempa¤antes, agentes de homogeneización, agentes de pegajosidad, agentes desgasificadores, agentes homogeneizantes, agentes humectantes, agentes matizante, agentes nucleantes, agrietamiento por tensión, agrietamiento, agua, alabeo, alambre, aleación, aletas, alfa olefinas lineales, alloy, almidón, almohadilla, almohadillas, alto grip, amarillamiento, amida en bloque, amida, amorfos, anelasticidad, anhídrido maleico estireno, anillo y bola, anillos rascadores, anisotropía, annealing, anti huella, anti olor, anti scratch, anti squeak, anti uv, antiadherentes, antiaglomerantes, anti bacterial, antibloqueantes, antidegradantes, antideslizante, anti estático permanente, antiestatico, antioxidantes, anti ozonante, anti slip, anti stick, antivaho, antivibración, apantallamiento electromagn,tico, apet, aplicaciónes biopolímeros, aplicaciones industriales, aplicaciones, ara¤azos, aretes de ganado, aretes de ganados, arizona uv, arquitecturas de bloques, arquitecturas de polímeros, as 9100, asa transparente, asa, asa pvc, asesoramiento, asiento de seguridad, asiento retr ctil, asientos de estadio, aspect ratio, aspecto tpe, astm d2000, astm d790 , iso 178, astm, aumentar fluidez sbs, aumentar fluidez sebs, aumentar fluidez seeps, autoignición, automotriz, autooxidación, ayudas de proceso, ball pressure test, bam, banda de tigres, bandas pu para el transporte, baquelita, barrera y permeación, batería, bellows, bentonita, betún modificado, bgvv, bi inyección, biir, bio pa, bio pc, bio pe, bio pet, bio plastificantes, bio pp, bio pta, bio ptt, bio pvc, biodegradabilidad, biomasa, biopolímeros, biosolventes, birrefringencia, blends mezclas, blindaje emi, blog blog, blooming, bloque, bloques, blow molding, bmc, bmi, bolas, bolsa de aire, bolsas de pl stico, bolso, bolsos, bombas de engranajes, boquillas de aire, bota de esquí, botas de granjero, botas de lluvia transparentes, botas de seguridad, botas no pvc, botas, br, bracket, br polibutadieno, bs6920, burbujas, burletes, c,sped artificial, cómo definirías el concepto de polimero, ca, cable segmento t4 150, cable, cables en espiral, cafe, caking, calidad, calorímetro de cono, calzado deportivo, canal de cables, caolín, caprolactama, captcha caravanas, carbon black, carbonato de propileno, carbonatos de calcio, carboxilación, carcasa del filtro, carcasa para palanca de cambios, carga y renfuerzos, cargas, cargas minerales, cart cas number, caseinato, catalizador, caucho de estireno, caucho sintetico, caucho, cauchos de halobutilo, cbt, cenizas, cepillo de dientes, cera de polietileno, cera montanica, ceras, chaleco antibalas, charpy vs izod, charpy, chiller, chopped strands, ciir, cilindros hidr ulicos, cinturón de seguridad, cizallamiento, clasificación de los biopolímeros, clasificación de los elastómeros, clasificación de los electrodom,sticos, clasificación de los polímeros, clasificación de polimeros, clasificacion del butadieno estireno, climatización, cm, co2 equivalente, coc, codigos de reciclaje, coeficiente de expansión lineal, coeficientes de fricción, co extrusión, cof, colada fría, colectores de aspiración, colectores solares, coloración, combustión, compatibilizar, componentes de coches el,ctricos, componentes el,ctricos, componentes sillas, comportamiento a la flama, composites, compostable versus reciclable, compound, compression set, compuestos alta densidad, concentracion y orientacion, condiciones de inyección del pa6, condiciones de inyección del pbt, conductividad t,rmica, congo test, consejos de formulacion, consejos de procesos, constante diel,ctrica, contactos, contrafuerte, conversión entre unidad de misura, conversione impacto, conversione modulus, conversione temperatura, cookies, copes, copolímero de bloque estir,nico, copolímero de bloques, copolímeros acrílicos, copolímeros de acrilo, copolímeros de bloque de estireno, copolímeros de bloque de estireno butadieno, copolímeros de bloque olefínicos, copolímeros de estireno, copolímeros de etileno, copolímeros de etileno alfa olefina, copolímeros de polietileno, copolímeros del estireno, copolímeros, copoli,steres arom ticos alif ticos, copoliamidas semi arom ticas, copolimerización de etileno, copolimero de etileno y acetato de vinilo, copoliŠster transparent, copoliŠster, corcho sintetico, core back, corona vs. plasma, corona, cortafuegos, cortar en cubitos, corte termico, covid 19, cowl grille, cp, cpe, cpk, cr, crazing, cristalinidad, cristalinos o amorfos, cristalización, cross linked density, csm, cti, ctle, cu les son las poliamidas, cu les son los diferentes tipos de tpe, cuarteadura, cubierta de motor, cubiertas de balancines, cumarona, cvj bota, cvj botas, damping, dap, dardo, de mattia flex, decoracion en molde imd, dedos desplumadores, defectos de moldeo, defectos en los polímeros, definiciones que se aplican específicamente a los pl sticos, deformación, degradación mec nica, degradación química, degradación, degradacion termica del poliestireno, degradante para polimeros, delaminación de capas, densidad aparente, densidad compactada, densidad del fundido, densidad reticulacion, densidad, densificador, desactivadores de metales, desarrollo de nuevo polímeros, descarga electrost tica, desgarre, desgarro, desgaste, deslizamiento, desplumadores, deta, devanado de filamentos, devulcanización, dióxido de cloro, dióxido de titanio, die drool, die swell, die swelling, diferencia entre eva y sbs espumado, diferencia entre hdpe y el ldpe, diferencia entre ldpe y el hdpe, diferencia entre pa6 y pa66, diferencia entre sbs y eva espumado, diferencia entre sbs y sbr, diferencia entre sbs y sebs, diferencia entre tpe y epdm, diferencia entre tpv y tpe, diferencia entre tpv y tpo, diferencias entre pa y pi, diferencias entre pa6 y pa6, diferencias entre tpe y pvc, diferencias entre tpe y silicona, diferencias entre tpe y tpu, difrencia entre pvc vs sebs, difrencia entre sbr y sbc, difrencia entre sebs vs. seeps, din, dis, dmso, dmta, dryer, dsc, ductos, dureza, dvgw, e&e, ebs, efecto disco, efecto gough joule, efecto invernadero, efecto jetting, efecto madreperla, elastómero lineal, elastómero radiales, elastómero ramificado, elastómeros estrella, elastómeros biodegradables, elastómeros de aramida, elastómeros de pp etileno, elastómeros termopl…sticos, elastómeros y aceites, elastómeros y gases, elasticidad, elastomero, elastomero lineal, elastomeros, elastomeros de aramida, Elenco.txt elf, emblanquecimiento, emisiones (voc), empaques para puertas de equipos de refrigeración, empaques, encapsulación, encogimiento, encogimientos, endurecedores, enfriamiento vs pared, engranajes, enlace químico, enlaces químicos, ensayo piel de tiburón, ensayo tensión superficial, ensayos de resistencia a líquidos, ensayos mec nicos, entrecruzados, entresuela, envases, envejecimiento acelerado uv, envejecimiento por calor, envejecimiento, ep(d)m, epdm sulfonado, epdm, epp, epr, eps, erosión ao, escotilla de puerta, espejos exteriores, espuma de poliuretano, espumado, espumas, estabilidad dimensional, estabilizadores, estereoisomería, estereolitogr fico, esterilización, estir,nico de alto calor, estirenicos transparentes, estirenicos, estireno acrilonitrilo, estireno butileno estireno, estireno etileno butileno estireno, estireno butileno estireno, estireno etileno butileno estireno, estructura elastómero, estructura polímeros, etfe, etileno vinil acetato, etilvinilacetato, etpv, e tpv, eva foamed, eva, evaluación de la degradación, evaluación sensorial, evoh, extensores de cadena, exterior vehículo, extrusión reactiva, extrusion pvc, extrusion, factores estructurales, falla por fatiga, falta de resistencia, fanales, faro delantero, faro trasero, fase gaseosa, fda, fem, fender, fibra de raquis, fibra larga lftr, fibras de carbono, fibras de vidrio cortas, fibras de vidrio largas, fibras de vidrio, fibras vegetales, files film casting, fkm, flash point, flexómetro, floración, florida uv, fluidez, flujo de los polímeros, fluoración, fluoropolímeros, fmvss 302, fmvss302, foaming agent, fogging test, fogging, folifosfacenos, formulario de contacto, forum, foto oxidación, fotocat lisis bactericida, fotodegradación, fractura de los polímeros, fricción, front end2, ftir, fuelles neum ticos, fuerza de desgarro, fuerza intermolecular, fuerzas intermoleculares, fundición de polímero, fusión, fusion, galvanoplastia, gels, geopolim,ros, glass encapsulation, glosario del pl stico, gloss, gmt, goma de silicona líquida, goma eva, gpc, grado de polimerización (dp), grafeno, grafting, granulación, granuladora de anillo de agua, granuladoras espagueti, granuladoras, granuladores subacu ticos, grieta y fisura, grip, grupo m, grupo o, grupo q, grupo r, grupo u, grupo z, guía de inyección de polipropileno, guantes, guardabarros, gutapercha, gwt, hai, halogenación, hardness, haze, hdl, hdpe, hdt, herramientas manuales, hidrólisis, hidróxidos met licos, hidrogeles, hidrogenación, higroscópico, hilo incandescente, hilo para impresion 3d, hinchazón, hips, hist,resis, historia de los elastómeros, historia de los polimeros, hnbr, home, hopkinson bar, hormas, hot runner, hpa, hule, hules, humedad en la poliamida, humedades, hwi, icp ms, iir, images imd, imemail imiv, imlogin, impacto de gardner, impacto, impresion 3d, improve abrasion tpu, improve hot air and oil swelling resistance in tpv, improve melt flow index, imsearch, imsitemap, incoterms, index, indice de amarillamiento, inhibidores de prevulcanización, inserto met lico, in shell lining process, interior vehículo, inyección multicomponente, inyeccion asistida con gas, inyeccion de proyectiles, inyeccion, ionómeros, ir, iso 1629, iso 9001, iso, iso75, isomería en polímeros, isotropía, izod iso 180 astm d256, izod, jungle test, juntas magn,ticas, kalahari uv, kink, ktw, l tex natural, línea de plata, línea de soldadura, líneas de combustible, líneas de tigre, laboratorio, latex, lavadora carga superior, lavadora, lavadoras, lcp, ldpe, lfi, libreria, lignina, linea de soldadura, litografía, litopón, lldpe, loderas, loi, los compuestos de fibra larga, los elastómeros, los pl sticos para vehículos el,ctricos, los pl sticos, los polimeros difusores, los polimeros, los primeros polimeros, lubricantes, luminiscencia, luz de cortesía, lvavajillas, m,todos para evaluar la degradación, m,xico, mabs, macromol,culas lineales y ramificadas, maleta, mamparas, manguera hidraulica, manguera, mangueras para rodillos, mangueras, maquiladora de bolsos, maquiladora de calzado, marcado laser, marcas de flujo, marcas de quemaduras, marcas de rechupe, masterbatch, master batch, material frío, materiales para suelas, materiales plasticós en el automotriz, materiales plasticos, materias primas de base bio, mb de silicona, mbs, mdpe, mecanismo char, mecanismo de fase gaseosa, mecanismo de goteo, mecanismo de intumescencia, mecanizado de pl stico, medición humedad, medidas de biodegradación, mejoras de formulacion, melt fracture, menu metacrilato butadiene estireno, metalización de pl sticos, metaloceno, metamerismo, meteorización acelerada, meteorización, mex, mexpol, mezclas acrílicas, mezclas con cpe, mezclas, mfi, mfr, mica, microesferas de vidrio, microesferas huecas, micropercusión, migración, mms, modificador de impacto, modificador de reologia, modulo a flexion, modulo de traccion, molde, moldeo de insertos met licos, moldeo por compresión de goma, moldeo por inyección de espuma, moldeo por inyección de pared delgada, moldeo por soplado, moldeo por succión, moldeo por transferencia, moldeo rotacional, moldeo científico, molienda criog,nica, molinos, mooney, morfología de tpe, mpr, muelles neum ticos, mvr, número abbe, naftenicos, nanocarga laminados, nanocelulosa, nanocompuestos, nanofillers laminados carbono, nanotecnología, nanotubos, natura de los biopolímeros, nbr, necking, negro de humo, neum tico, neutralización de olores, nigrosina, nmr, no polares, noise, nomenclatura de polimeros, nonwovens, norme, nsf 51, nsf 61, oem, off spec, oil swelling, oit, olor de los polímeros, orientación, origen de los polímeros, otr, otras, overmolding, oxidación termica, oxo degradable, ozono, p.v., pa 4.i, pa 4t, pa 5t, pa 6 aniónica, pa 6 ramificado, pa 6, pa 6.i, pa 6.t 6.6, pa 6t, pa 9t, pa m5t, pa mxd6, pa, pa1010, pa1012, pa10t, pa11, pa11 10t, pa12 macm, pa12, pa1212, pa12t, pa3, pa4.10, pa4, pa412, pa46, pa48, pa49, pa5, pa56, pa6, pa610, pa612, pa63, pa66, pa68, pa69, pa abs, paas, pa asa, packaging, pae, paes, pai, pam, pan, pantone, pa pp, papxd10, par, para, parachoques, parison sag, parrillas, partitioning agent, pa san, pb 1, pbat, pbe, pbe polimero base etileno, pbi, pbit, pbn, pbs, pbt asa, pbt, pc abs, pc asa, pc, pcd, pcl, pcm, pc pbt, pc pp, pc san, pcss pct, pc tpu, pdms, pea, peba, pe ba, pedal box, peek, peeling, pegamentos, pegar el pl stico, pei, película, películas sopladas, pen, pentóxido de antimonio, pep, peptizantes, peque¤a llama, peque¤os electrodom,sticos, perfil dados, perfil de tornillos, permeabilidad, pes, peso especifico, peso molecular vs, pet g, pet pe, pet, pex, pga, ph, pha, phvb, pib, piel de naranja, piel de tiburón, piezas incompletas, piezoelectricidad, pigmentos, pintado de pl stico, pinturas, pirólisis, piritiona de zinc, pit, plástico que se calienta en el microondas, plástico, plásticos commodities, plásticos detectables rayos x, plásticos reciclados, plásticos, pla, placa caliente, plantilla, plasma, plasticos de ingenieria mexico, plasticos resistentes a radiacion uv, plastificante, pmbl, pmi, pmma abs, pmma, pmp, pmvk, pnr, poe, poisson's ratio, polímeros conductores el,ctricos, polímeros de base biológica, polímeros difusores, polímeros electroactivos, polímeros expandido, polímeros funcionales, polímeros inorg nicos, polímeros org nicos, polímeros super absorbentes, polímeros, polmeros, polares, polaridad, poli (p xilileno) ppx, poliímida, poli,ster insaturado, poli,steres arom ticos, poli,steres alif ticos, poli,steres, poli,ter amida en bloque, poli,teres arom ticos, poliamida amorfa, poliamida termofija, poliamidas alifaticas, poliamidas arom ticas, poliamidas semi aromaticas, poliamidas, polibutadieno sindiotattico, polibutadieno, policarbodiimida, policarbonato, policarbonatos, policetonas arom ticos, policetonas alif ticas, policloruro de vinilo, polidimetilsiloxano, polielectrolito, poliepiclorhidrina, poliestannanos, poliestireno, poliestirenos, polietileno clorado, polietileno de alta densidad, polietileno de baja densidad, polietileno, polietilenoctene, polietilenos modificados, polietilenos, polifosfacenos, poligermanos, polimerización, polimeros conductores, poliolefinas, polioles de aceites vegetales, polirreacción, poliŠster, poliŠtere alif ticos, poliŠteres alif ticos, poliŠteres, polisulfonas, poliuretano a base de policarbonato, poliuretano en zapatos, poliuretano espumado, poliuretano termopl stico, poliuretano, poliuretanos, polypedia, pom, porta fusibles, portafusibles, portal mparas, portavasos, poss, post polimerización, power tools, pp fv, pp cargado, pp con carga, pp con fibra, pp e ppk, pp epdm vulcanizado, pp gf, pp, ppa, ppap, p pap, ppdo, ppe, ppo pa, ppo pp, ppo ps, pp poe vulcanizado, pp poe curado, pps, ppsu, ppx, presión volumen temperatura, probetas iso 527, proceso de vulcanización, proceso en fase slurry, proceso en solución, procesos esteticos, propiedades ópticas, propiedades acústicas, propiedades de los polímeros, propiedades de superficie, propiedades eléctricas, propiedades físicas, propiedades químicas, proposición de ley, protección de peatones, prube de intemperismo, prueba de agrietamiento, prueba de beilstein, prueba de fluencia lenta, prueba de flujo en espiral, prueba de lapiz, prueba de llama, pruebas de vibración, pruebas termicas, ps, psr, psu, ptfe, ptt, pu, puertas de inyección, pultrusion, punteras, purgas, procedimiento, pvc, pvc c, pvc pmma, pvc tpu, pvdc, pvdf, pvk, pvoh, pvt, qu, elastómero ofrece la mejor resistencia a la abrasión, qu, elastómero ofrece la mejor resistencia a la flexión, qu, elastómero ofrece la mejor resistencia a la intemperie, qu, elastómero ofrece la mejor resistencia al aceite y al combustible, compression set, es el material tpu, qu, es el moldeo cientifico, qu, es el poli,ster, qu, es la hist,resis, qu, es un elastomero termoplastico, qu, son los monómeros, qu, son los pl sticos biodegradable, qu, son los pl sticos biodegradables, qu, son los pl sticos, qu, son los polímeros y cómo se clasifican, qu, son los polímeros, qu, son los termopl sticos, qu, tipo de material es tpe, que es el tpe, quitosano, r fagas, radiación electromagn,tica, radiación ionizante, radiopaco, rafia, rail pad, ral, raporto l/d, rastrillo de afeitar, rayados, rebabas, reciclaje, reciclar el pl stico, recocido, recubrimientos ruedas, reemplazando a los metales, reemplazo de metales, reflejo de sonido, reforzado con fibra de vidrio, refrigeradores, regulaciones nacionales y de la ue, regulaciones y la legislación automóviles, relación l d, relacion de aspecto l d, relajación de estr,s, res resbalo, resiliencia, resina epoxica, resinas arom ticas y alif ticas c5 y c9, resinas de amina, resinas de hidrocarburo, resinas de poli,ster, resinas fenólicas, resinas novolak, resinas sbc en selladores, resinas, resistencia a la abrasión, resistencia a la flexión, resistencia a la punción, resistencia al aceite y al calor tpe, resistencia al arco, resistencia al desgaste, resistencia al fundido, resistencia al impacto de caída de peso, resistencia al ozono, resistencia de rebote, resistencia quimica, resistentes a radiacion, resistividad de volumen, resistividad superficial, resonador de conducto turbo, retardante de flama, retardante de llama eps, retardante de llama eps y xps, retardantes, reticulación de biopolímeros, reticulación, revestimiento de resina, revestimiento por extrusión, rigidez diel,ctrica, rim, rines de plastico, robots.txt roscas, rosin resina, r rim, rtm, ruido de los automóviles, sílice pirog,nica, sílice precipitada, sílice, súperpolímeros, sales de plata, sams, saturación, saturados e insaturados, sbbs, sbbs, sbc rígido, sbc, sbr caucho, sbr, sbs estireno butileno estireno, sbs, sb s, sbs, scratch, sebs alta resistencia termica, sebs alto brillo, sebs alto termo, sebs ers, sebs m,dico, sebs overmolding, 2k, sebs tpu, sebs transparente, sebs, seb s, s e b s, sebs, sebs ers, sebs transparente, secado, secadora, seeps, se ep s, s eep s, seeps, segmentos automotriz, semi cristalinos, seps, serigrafía, servicios inyección, shear rate, shear, shelf life, shrinkage, shrinkages, shroud, sibs, s i b s, sibs, silanos, silicona, sillas de jardin, sillas operativas, sillas sala de espera, sillas, sinterización, sinterizado l ser, sis, sis162602, sis, sistema de asientos, sitemap.xml slush molding, sma, smanh, smc, smma, sms, sobremolde, sociedad, soldadura de gas caliente, soldadura de p,ndulo, soldadura l ser, soldadura por aire caliente, soldadura por fricción (rotacional), soldadura por inducción, soldadura por infrarojos, soldadura por microonda, soldadura por vibración, soldadura ultrasónica, soldadura, soldadura por alta frecuencia, solubilidad polímeros, soplado, soporte bateria, soporte palanca de cambios, spheripol process, s rim, srp, staining, steering boots, stress cracking resistance, stress relaxation, stress relaxations, stress strain, style styrenic block copolymers tps, sublimación 3d, suela goma natural, suela tpr, suelas espumadas, suelas tpu mas ligero, suela tr, suitecase, sujetadores, sulfato de bario, sulfonación, surfactantes, swelling, tabla polímeros transparentes, tablero de instrumentos, tablero, tackifer, tacon, tacticidad, talón de gel, talco, tama¤o de partícula, tampilla de combustible, tampografía, taninos, tanque de expansion, tanques de combustible, tanques de gasolina, tapetes, tasa de transmisión de vapor mvtr, tear strength, tecnopolímeros, teee, telerruptor, temperatura de fragilidad, temperatura m xima de servicio, temperatura mínima de servicio, temperaturas de autoignición, tensión superficial, tensile set, termoendurecibles frente a termopl sticos, termoestable, termoformado al vacío, termopl stico estir,nico elastómeros, termopl sticos vulcanizados, termopl sticos, termo plastico, termoplasticos vs tpes, termosellado, test di robinson, texturizado, tfe, tfe p, tg, tga, thermoplastic polyurethane (tpu), thermoplastic vulcanizates (tpvs), tiempo ciclo de inyección, tiempo de residencia, tier, tinas de pl stico, tipos de procesos, tnr goma natural termoplastico, todt, tornillos autorroscantes, tornillos, tpc et, tpc, tpc es, tpc et propiedades, tpcet, tpc et, tpc et, tpe generacióntpe o, tpe v, tpe, t p e, tpee, tpe e, tpe o, tpes, tpe s, tpe u, tpev, tpe v, tpi, tpo, tpu fundas y protección, tpu, tpv alto termo, tpv generación, tpv nueva generación de polímeros termopl sticos, tpv, tr sbs, tr, transmitancia, trasparentes, tratamiento de llama, tratamiento de plasticos, tratamientos de modificación de superficie, trióxido de antimonio, troubleshooting, tubos corrugados, tubos de freno de vacío, tubos termopl sticos, tvi, uhmwpe, uhmw pe, ul94, ultrasonido, umts, under the hood, unión adhesiva, urea formaldehído, usp, variaciones de brillo, vehículos el,ctricos, ventajas del moldeo por inyección para aplicaciones automotrices, vicat, vidrio molido, vinilo, virus, viscoelasticidad polim,rica, viscosidad absoluta, viscosidad aparente, viscosidad intrínseca, viscosidad relativa, viscosidad, vitrificación, vldpe, vulcanización con óxido de metal, vulcanización con azufre, vulcanización con peróxido, vulcanización con radiación, vulcanización con silanos, vulcanización de caucho, vulcanización de uretano, vulcanización din mica, vulcanización fenólica, vulcanización iónica, vulcanización inducida por luz ultravioleta, vulcanización platinica, vulcanización, vulcanizacion tpv, warpage, water injection assisted, what is tpc et, wheel arch, wollastonite, xdur pbt, xnbr, xsbr, zapato, zapatos de seguridad, zeolitas, ziegler, natta,5g
 

 

Histats.com © 2005-2014 Privacy Policy - Terms Of Use - Check/do opt-out - Powered By Histats
Dirección

León GTO - México
Teléfono

+52 (562) 37.589.04


Todas las marcas registradas ( ® - © - ™ ) son propiedad de sus respectivos propietarios y se utilizan únicamente con fines de información, de conformidad con las disposiciones vigentes sobre derechos de autor. Las letras son propiedad de sus respectivos autores y les damos las gracias por la oportunidad que nos brindan para conocer sus textos libres para fines ilustrativos y educativos. Si usted es el autor del texto que interesa y solicitar que se elimine el texto o la inclusión de otra información enviar un e-mail info@mexpolimeros.com después de controles apropiados vamos a satisfacer su solicitud tan pronto como sea posible. Los datos e ilustraciones en esta publicación no son vinculantes y pueden ser cambiados como resultado de cambios y / o mejoras que se consideren necesarias por el fabricante. Los resultados anteriormente mencionados cuidadosamente con el objetivo se llevaron a cabo para dar instrucciones al usuario final con respecto al uso de los productos en diversas etapas de su uso. Como hay diferentes condiciones de uso, el almacenamiento y la firma de la preservación mexpolimeros no se hace responsable de los daños causados al cliente y /o tercero.
Todas las marcas registradas ( ® - © - ™ ) son propiedad de sus respectivos propietarios y se utilizan únicamente con fines de información, de conformidad con las disposiciones vigentes sobre derechos de autor. Las letras son propiedad de sus respectivos autores y les damos las gracias por la oportunidad que nos brindan para conocer sus textos libres para fines ilustrativos y educativos. Si usted es el autor del texto que interesa y solicitar que se elimine el texto o la inclusión de otra información enviar un e-mail info@mexpolimeros.com después de controles apropiados vamos a satisfacer su solicitud tan pronto como sea posible. Los datos e ilustraciones en esta publicación no son vinculantes y pueden ser cambiados como resultado de cambios y / o mejoras que se consideren necesarias por el fabricante. Los resultados anteriormente mencionados cuidadosamente con el objetivo se llevaron a cabo para dar instrucciones al usuario final con respecto al uso de los productos en diversas etapas de su uso. Como hay diferentes condiciones de uso, el almacenamiento y la firma de la preservación mexpolimeros no se hace responsable de los daños causados al cliente y /o tercero.
Todas las marcas registradas ( ® - © - ™ ) son propiedad de sus respectivos propietarios y se utilizan únicamente con fines de información, de conformidad con las disposiciones vigentes sobre derechos de autor. Las letras son propiedad de sus respectivos autores y les damos las gracias por la oportunidad que nos brindan para conocer sus textos libres para fines ilustrativos y educativos. Si usted es el autor del texto que interesa y solicitar que se elimine el texto o la inclusión de otra información enviar un e-mail info@mexpolimeros.com después de controles apropiados vamos a satisfacer su solicitud tan pronto como sea posible. Los datos e ilustraciones en esta publicación no son vinculantes y pueden ser cambiados como resultado de cambios y / o mejoras que se consideren necesarias por el fabricante. Los resultados anteriormente mencionados cuidadosamente con el objetivo se llevaron a cabo para dar instrucciones al usuario final con respecto al uso de los productos en diversas etapas de su uso. Como hay diferentes condiciones de uso, el almacenamiento y la firma de la preservación mexpolimeros no se hace responsable de los daños causados al cliente y /o tercero.
Regreso al contenido